Номер 1.142, страница 45 - гдз по алгебре 9 класс учебник Арефьева, Пирютко

Алгебра, 9 класс Учебник, авторы: Арефьева Ирина Глебовна, Пирютко Ольга Николаевна, издательство Народная асвета, Минск, 2019, голубого цвета

Авторы: Арефьева И. Г., Пирютко О. Н.

Тип: Учебник

Издательство: Народная асвета

Год издания: 2019 - 2025

Цвет обложки: голубой, синий с графиком

ISBN: 978-985-03-3077-2

Допущено Министерством образования Республики Беларусь

Популярные ГДЗ в 9 классе

Глава 1. Рациональные выражения. Параграф 3. Сложение и вычитание рациональных дробей - номер 1.142, страница 45.

№1.142 (с. 45)
Условие. №1.142 (с. 45)
скриншот условия
Алгебра, 9 класс Учебник, авторы: Арефьева Ирина Глебовна, Пирютко Ольга Николаевна, издательство Народная асвета, Минск, 2019, голубого цвета, страница 45, номер 1.142, Условие

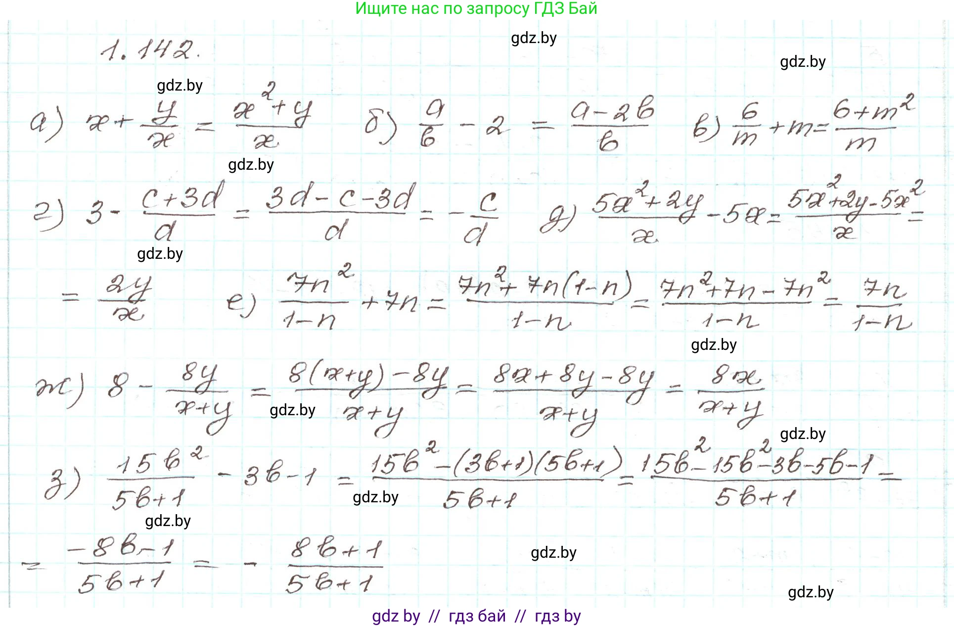
1.142. Представьте выражение в виде дроби:

а) $x + \frac{y}{x}$;

б) $\frac{a}{b} - 2$;

в) $\frac{6}{m} + m$;

г) $3 - \frac{c+3d}{d}$;

д) $\frac{5x^2+2y}{x} - 5x$;

е) $\frac{7n^2}{1-n} + 7n$;

ж) $8 - \frac{8y}{x+y}$;

з) $\frac{15b^2}{5b+1} - 3b - 1$.

Решение. №1.142 (с. 45)
Алгебра, 9 класс Учебник, авторы: Арефьева Ирина Глебовна, Пирютко Ольга Николаевна, издательство Народная асвета, Минск, 2019, голубого цвета, страница 45, номер 1.142, Решение
Решение 2. №1.142 (с. 45)

а) Чтобы представить выражение $x + \frac{y}{x}$ в виде дроби, приведем слагаемые к общему знаменателю $x$. Для этого умножим $x$ на дробь $\frac{x}{x}$.

$x + \frac{y}{x} = \frac{x \cdot x}{x} + \frac{y}{x} = \frac{x^2}{x} + \frac{y}{x} = \frac{x^2 + y}{x}$

Ответ: $\frac{x^2+y}{x}$

б) Чтобы представить выражение $\frac{a}{b} - 2$ в виде дроби, приведем число $2$ к знаменателю $b$. Для этого умножим $2$ на дробь $\frac{b}{b}$.

$\frac{a}{b} - 2 = \frac{a}{b} - \frac{2 \cdot b}{b} = \frac{a - 2b}{b}$

Ответ: $\frac{a-2b}{b}$

в) Чтобы представить выражение $\frac{6}{m} + m$ в виде дроби, приведем слагаемое $m$ к знаменателю $m$.

$\frac{6}{m} + m = \frac{6}{m} + \frac{m \cdot m}{m} = \frac{6 + m^2}{m}$

Ответ: $\frac{m^2+6}{m}$

г) Чтобы представить выражение $3 - \frac{c + 3d}{d}$ в виде дроби, приведем число $3$ к знаменателю $d$. Важно учесть, что знак минус перед дробью относится ко всему числителю $(c + 3d)$.

$3 - \frac{c + 3d}{d} = \frac{3 \cdot d}{d} - \frac{c + 3d}{d} = \frac{3d - (c + 3d)}{d} = \frac{3d - c - 3d}{d} = \frac{-c}{d}$

Ответ: $-\frac{c}{d}$

д) Чтобы представить выражение $\frac{5x^2 + 2y}{x} - 5x$ в виде дроби, приведем слагаемое $5x$ к общему знаменателю $x$.

$\frac{5x^2 + 2y}{x} - 5x = \frac{5x^2 + 2y}{x} - \frac{5x \cdot x}{x} = \frac{5x^2 + 2y - 5x^2}{x} = \frac{2y}{x}$

Ответ: $\frac{2y}{x}$

е) Чтобы представить выражение $\frac{7n^2}{1 - n} + 7n$ в виде дроби, приведем слагаемое $7n$ к общему знаменателю $1 - n$.

$\frac{7n^2}{1 - n} + 7n = \frac{7n^2}{1 - n} + \frac{7n(1 - n)}{1 - n} = \frac{7n^2 + 7n - 7n^2}{1 - n} = \frac{7n}{1 - n}$

Ответ: $\frac{7n}{1-n}$

ж) Чтобы представить выражение $8 - \frac{8y}{x + y}$ в виде дроби, приведем число $8$ к общему знаменателю $x + y$.

$8 - \frac{8y}{x + y} = \frac{8(x + y)}{x + y} - \frac{8y}{x + y} = \frac{8x + 8y - 8y}{x + y} = \frac{8x}{x + y}$

Ответ: $\frac{8x}{x+y}$

з) Чтобы представить выражение $\frac{15b^2}{5b + 1} - 3b - 1$ в виде дроби, приведем выражение $-(3b+1)$ к общему знаменателю $5b + 1$.

$\frac{15b^2}{5b + 1} - (3b + 1) = \frac{15b^2}{5b + 1} - \frac{(3b + 1)(5b + 1)}{5b + 1}$

Раскроем скобки в числителе второй дроби: $(3b + 1)(5b + 1) = 15b^2 + 3b + 5b + 1 = 15b^2 + 8b + 1$.

Подставим и выполним вычитание:

$\frac{15b^2 - (15b^2 + 8b + 1)}{5b + 1} = \frac{15b^2 - 15b^2 - 8b - 1}{5b + 1} = \frac{-8b - 1}{5b + 1}$

Ответ: $\frac{-8b-1}{5b+1}$

Помогло решение? Оставьте отзыв в комментариях ниже.

Присоединяйтесь к Телеграм-группе @gdz_by_belarus

Присоединиться

Мы подготовили для вас ответ c подробным объяснением домашего задания по алгебре за 9 класс, для упражнения номер 1.142 расположенного на странице 45 к учебнику 2019 года издания для учащихся школ и гимназий.

Теперь на нашем сайте ГДЗ.ТОП вы всегда легко и бесплатно найдёте условие с правильным ответом на вопрос «Как решить ДЗ» и «Как сделать» задание по алгебре к упражнению №1.142 (с. 45), авторов: Арефьева (Ирина Глебовна), Пирютко (Ольга Николаевна), учебного пособия издательства Народная асвета.