Номер 1.242, страница 68 - гдз по алгебре 9 класс учебник Арефьева, Пирютко

Алгебра, 9 класс Учебник, авторы: Арефьева Ирина Глебовна, Пирютко Ольга Николаевна, издательство Народная асвета, Минск, 2019, голубого цвета

Авторы: Арефьева И. Г., Пирютко О. Н.

Тип: Учебник

Издательство: Народная асвета

Год издания: 2019 - 2025

Цвет обложки: голубой, синий с графиком

ISBN: 978-985-03-3077-2

Допущено Министерством образования Республики Беларусь

Популярные ГДЗ в 9 классе

Глава 1. Рациональные выражения. Параграф 5. Преобразования рациональных выражений - номер 1.242, страница 68.

№1.242 (с. 68)
Условие. №1.242 (с. 68)
скриншот условия
Алгебра, 9 класс Учебник, авторы: Арефьева Ирина Глебовна, Пирютко Ольга Николаевна, издательство Народная асвета, Минск, 2019, голубого цвета, страница 68, номер 1.242, Условие

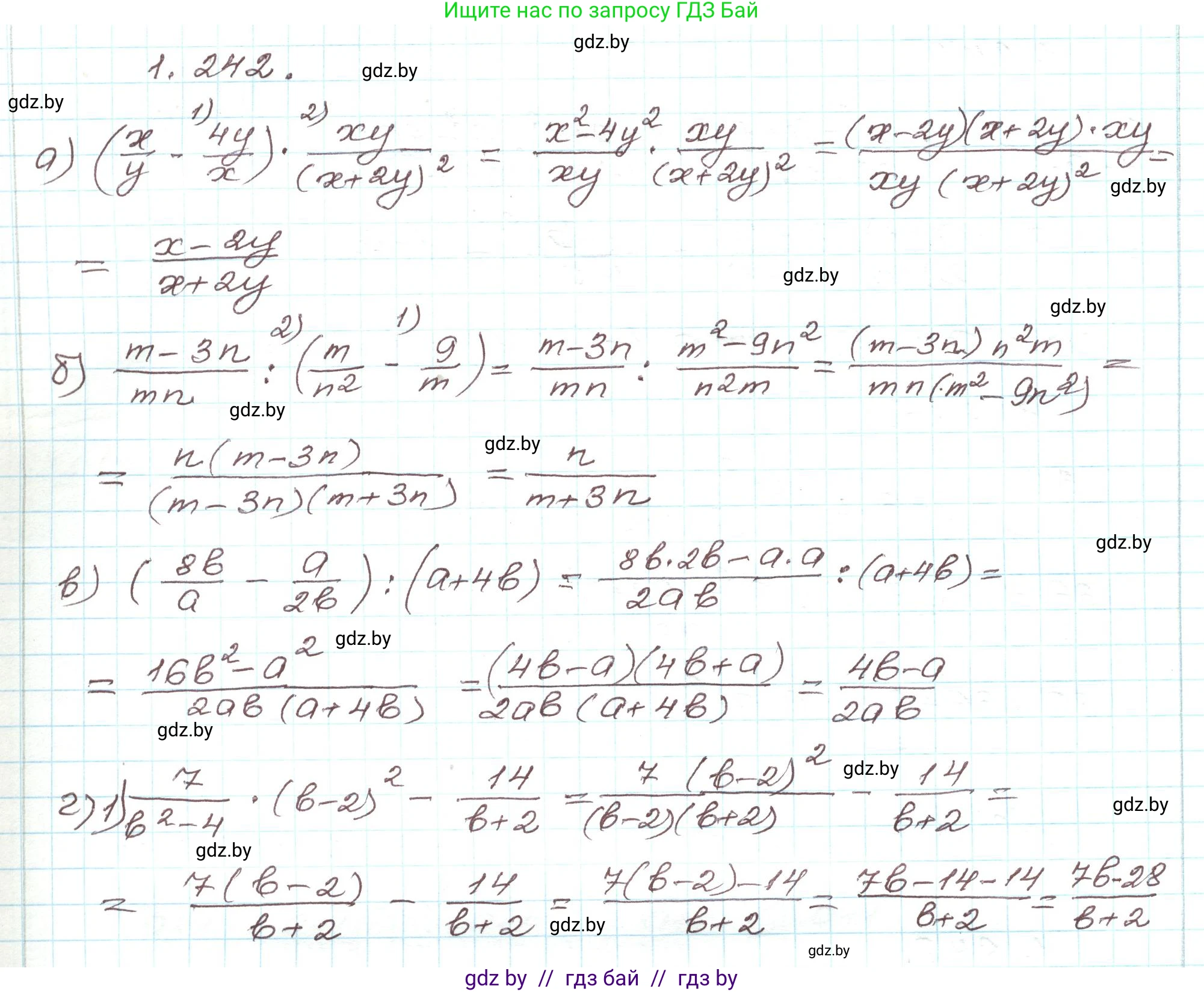
1.242. Установите порядок действий и упростите выражение:

а) $(\frac{x}{y} - \frac{4y}{x}) \cdot \frac{xy}{(x+2y)^2}$;

б) $\frac{m-3n}{mn} : (\frac{m}{n^2} - \frac{9}{m});$

в) $(\frac{8b}{a} - \frac{a}{2b}) : (a+4b);$

г) $\frac{7}{b^2-4} \cdot (b-2)^2 - \frac{14}{b+2}.$

Решение. №1.242 (с. 68)
Алгебра, 9 класс Учебник, авторы: Арефьева Ирина Глебовна, Пирютко Ольга Николаевна, издательство Народная асвета, Минск, 2019, голубого цвета, страница 68, номер 1.242, Решение
Решение 2. №1.242 (с. 68)

а) Упростим выражение по действиям.
1. Сначала выполним вычитание дробей в скобках, приведя их к общему знаменателю $xy$:
$\left(\frac{x}{y} - \frac{4y}{x}\right) = \frac{x \cdot x}{y \cdot x} - \frac{4y \cdot y}{x \cdot y} = \frac{x^2 - 4y^2}{xy}$
2. Разложим числитель по формуле разности квадратов $a^2 - b^2 = (a-b)(a+b)$:
$\frac{x^2 - (2y)^2}{xy} = \frac{(x-2y)(x+2y)}{xy}$
3. Теперь выполним умножение:
$\frac{(x-2y)(x+2y)}{xy} \cdot \frac{xy}{(x+2y)^2}$
4. Сократим общие множители $xy$ и $(x+2y)$:
$\frac{(x-2y)\cancel{(x+2y)}}{\cancel{xy}} \cdot \frac{\cancel{xy}}{(x+2y)^{\cancel{2}}} = \frac{x-2y}{x+2y}$
5. Полученная дробь является неправильной (степень числителя равна степени знаменателя). Выделим целую часть:
$\frac{x-2y}{x+2y} = \frac{(x+2y) - 4y}{x+2y} = \frac{x+2y}{x+2y} - \frac{4y}{x+2y} = 1 - \frac{4y}{x+2y}$
Ответ: $1 - \frac{4y}{x+2y}$

б) Упростим выражение по действиям.
1. Выполним вычитание дробей в скобках, приведя их к общему знаменателю $mn^2$:
$\left(\frac{m}{n^2} - \frac{9}{m}\right) = \frac{m \cdot m}{n^2 \cdot m} - \frac{9 \cdot n^2}{m \cdot n^2} = \frac{m^2 - 9n^2}{mn^2}$
2. Разложим числитель по формуле разности квадратов:
$\frac{m^2 - (3n)^2}{mn^2} = \frac{(m-3n)(m+3n)}{mn^2}$
3. Выполним деление, заменив его умножением на обратную дробь:
$\frac{m-3n}{mn} : \frac{(m-3n)(m+3n)}{mn^2} = \frac{m-3n}{mn} \cdot \frac{mn^2}{(m-3n)(m+3n)}$
4. Сократим общие множители $(m-3n)$ и $mn$:
$\frac{\cancel{m-3n}}{\cancel{mn}} \cdot \frac{\cancel{mn} \cdot n}{(\cancel{m-3n})(m+3n)} = \frac{n}{m+3n}$
Ответ: $\frac{n}{m+3n}$

в) Упростим выражение по действиям.
1. Выполним вычитание дробей в скобках, приведя их к общему знаменателю $2ab$:
$\left(\frac{8b}{a} - \frac{a}{2b}\right) = \frac{8b \cdot 2b}{a \cdot 2b} - \frac{a \cdot a}{2b \cdot a} = \frac{16b^2 - a^2}{2ab}$
2. Разложим числитель по формуле разности квадратов:
$\frac{(4b)^2 - a^2}{2ab} = \frac{(4b-a)(4b+a)}{2ab}$
3. Выполним деление, представив $(a+4b)$ как дробь $\frac{a+4b}{1}$:
$\frac{(4b-a)(4b+a)}{2ab} : \frac{a+4b}{1} = \frac{(4b-a)(a+4b)}{2ab} \cdot \frac{1}{a+4b}$
4. Сократим общий множитель $(a+4b)$:
$\frac{(4b-a)\cancel{(a+4b)}}{2ab} \cdot \frac{1}{\cancel{a+4b}} = \frac{4b-a}{2ab}$
Ответ: $\frac{4b-a}{2ab}$

г) Упростим выражение по действиям. Порядок действий: сначала умножение, затем вычитание.
1. В первом слагаемом разложим знаменатель $b^2-4$ по формуле разности квадратов: $b^2-4=(b-2)(b+2)$.
2. Выполним умножение:
$\frac{7}{(b-2)(b+2)} \cdot (b-2)^2 = \frac{7 \cdot (b-2)^2}{(b-2)(b+2)}$
3. Сократим общий множитель $(b-2)$:
$\frac{7 \cdot (b-2)^{\cancel{2}}}{\cancel{(b-2)}(b+2)} = \frac{7(b-2)}{b+2}$
4. Теперь выполним вычитание:
$\frac{7(b-2)}{b+2} - \frac{14}{b+2}$
5. Так как знаменатели одинаковы, объединим дроби:
$\frac{7(b-2) - 14}{b+2} = \frac{7b - 14 - 14}{b+2} = \frac{7b - 28}{b+2}$
6. Полученная дробь является неправильной. Выделим целую часть:
$\frac{7b - 28}{b+2} = \frac{7b + 14 - 14 - 28}{b+2} = \frac{7(b+2) - 42}{b+2} = \frac{7(b+2)}{b+2} - \frac{42}{b+2} = 7 - \frac{42}{b+2}$
Ответ: $7 - \frac{42}{b+2}$

Помогло решение? Оставьте отзыв в комментариях ниже.

Присоединяйтесь к Телеграм-группе @gdz_by_belarus

Присоединиться

Мы подготовили для вас ответ c подробным объяснением домашего задания по алгебре за 9 класс, для упражнения номер 1.242 расположенного на странице 68 к учебнику 2019 года издания для учащихся школ и гимназий.

Теперь на нашем сайте ГДЗ.ТОП вы всегда легко и бесплатно найдёте условие с правильным ответом на вопрос «Как решить ДЗ» и «Как сделать» задание по алгебре к упражнению №1.242 (с. 68), авторов: Арефьева (Ирина Глебовна), Пирютко (Ольга Николаевна), учебного пособия издательства Народная асвета.