Номер 1.249, страница 69 - гдз по алгебре 9 класс учебник Арефьева, Пирютко

Алгебра, 9 класс Учебник, авторы: Арефьева Ирина Глебовна, Пирютко Ольга Николаевна, издательство Народная асвета, Минск, 2019, голубого цвета

Авторы: Арефьева И. Г., Пирютко О. Н.

Тип: Учебник

Издательство: Народная асвета

Год издания: 2019 - 2025

Цвет обложки: голубой, синий с графиком

ISBN: 978-985-03-3077-2

Допущено Министерством образования Республики Беларусь

Популярные ГДЗ в 9 классе

Глава 1. Рациональные выражения. Параграф 5. Преобразования рациональных выражений - номер 1.249, страница 69.

№1.249 (с. 69)
Условие. №1.249 (с. 69)
скриншот условия
Алгебра, 9 класс Учебник, авторы: Арефьева Ирина Глебовна, Пирютко Ольга Николаевна, издательство Народная асвета, Минск, 2019, голубого цвета, страница 69, номер 1.249, Условие

1.249. Упростите выражение:

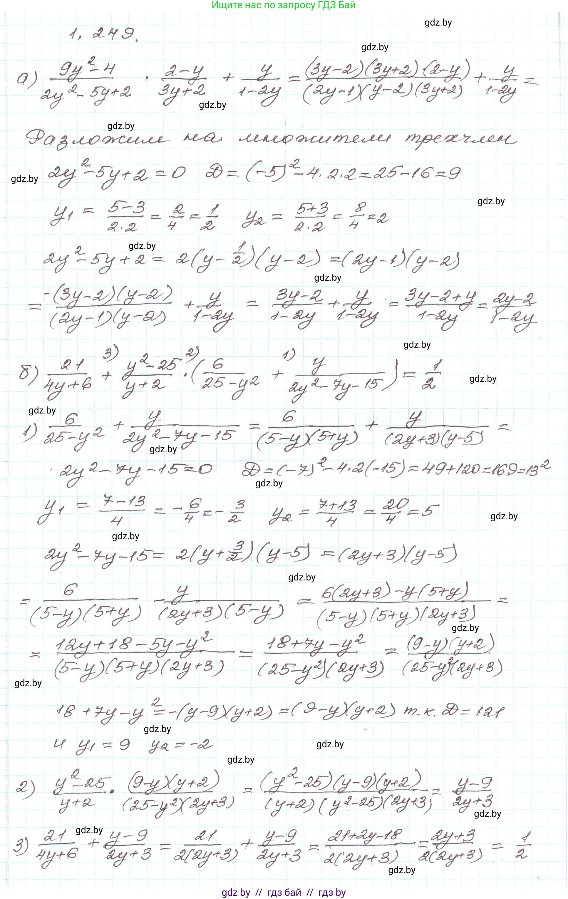
a) $ \frac{9y^2-4}{2y^2-5y+2} \cdot \frac{2-y}{3y+2} + \frac{y}{1-2y} $

б) $ \frac{21}{4y+6} + \frac{y^2-25}{y+2} \cdot \left(\frac{6}{25-y^2} + \frac{y}{2y^2-7y-15}\right) $

Решение. №1.249 (с. 69)
Алгебра, 9 класс Учебник, авторы: Арефьева Ирина Глебовна, Пирютко Ольга Николаевна, издательство Народная асвета, Минск, 2019, голубого цвета, страница 69, номер 1.249, Решение
Решение 2. №1.249 (с. 69)

а) Упростим выражение $ \frac{9y^2-4}{2y^2-5y+2} \cdot \frac{2-y}{3y+2} + \frac{y}{1-2y} $.

1. Первым шагом разложим на множители числители и знаменатели дробей, используя формулу разности квадратов и находя корни квадратных трехчленов.

  • $ 9y^2-4 = (3y)^2 - 2^2 = (3y-2)(3y+2) $
  • Для $ 2y^2-5y+2 $, найдем корни уравнения $ 2y^2-5y+2=0 $.
    Дискриминант $ D = b^2 - 4ac = (-5)^2 - 4 \cdot 2 \cdot 2 = 25 - 16 = 9 = 3^2 $.
    Корни: $ y_1 = \frac{-b + \sqrt{D}}{2a} = \frac{5+3}{4} = 2 $; $ y_2 = \frac{-b - \sqrt{D}}{2a} = \frac{5-3}{4} = \frac{1}{2} $.
    Следовательно, $ 2y^2-5y+2 = 2(y-2)(y-\frac{1}{2}) = (y-2)(2y-1) $.
  • $ 2-y = -(y-2) $
  • $ 1-2y = -(2y-1) $

2. Подставим полученные разложения в исходное выражение и выполним умножение, сокращая одинаковые множители:

$ \frac{(3y-2)(3y+2)}{(y-2)(2y-1)} \cdot \frac{-(y-2)}{3y+2} = \frac{-(3y-2)\cancel{(3y+2)}\cancel{(y-2)}}{\cancel{(y-2)}(2y-1)\cancel{(3y+2)}} = \frac{-(3y-2)}{2y-1} $

3. Теперь прибавим вторую дробь, предварительно преобразовав ее:

$ \frac{y}{1-2y} = \frac{y}{-(2y-1)} = -\frac{y}{2y-1} $

4. Выполним сложение дробей с одинаковым знаменателем:

$ \frac{-(3y-2)}{2y-1} + \left(-\frac{y}{2y-1}\right) = \frac{-3y+2-y}{2y-1} = \frac{-4y+2}{2y-1} $

5. Вынесем общий множитель в числителе и сократим дробь:

$ \frac{-2(2y-1)}{2y-1} = -2 $

Ответ: -2

б) Упростим выражение $ \frac{21}{4y+6} + \frac{y^2-25}{y+2} \cdot \left( \frac{6}{25-y^2} + \frac{y}{2y^2-7y-15} \right) $.

1. Сначала выполним действие в скобках. Разложим знаменатели на множители:

  • $ 25-y^2 = (5-y)(5+y) = -(y-5)(y+5) $
  • Для $ 2y^2-7y-15 $, найдем корни уравнения $ 2y^2-7y-15=0 $.
    Дискриминант $ D = (-7)^2 - 4 \cdot 2 \cdot (-15) = 49 + 120 = 169 = 13^2 $.
    Корни: $ y_1 = \frac{7+13}{4} = 5 $; $ y_2 = \frac{7-13}{4} = -\frac{3}{2} $.
    Следовательно, $ 2y^2-7y-15 = 2(y-5)(y+\frac{3}{2}) = (y-5)(2y+3) $.

2. Приведем дроби в скобках к общему знаменателю $ (y-5)(y+5)(2y+3) $:

$ \frac{6}{-(y-5)(y+5)} + \frac{y}{(y-5)(2y+3)} = \frac{-6(2y+3) + y(y+5)}{(y-5)(y+5)(2y+3)} $

3. Упростим числитель:

$ \frac{-12y-18 + y^2+5y}{(y-5)(y+5)(2y+3)} = \frac{y^2-7y-18}{(y-5)(y+5)(2y+3)} $

4. Разложим числитель $ y^2-7y-18 $ на множители. Корни уравнения $ y^2-7y-18=0 $ это $ y_1=9 $ и $ y_2=-2 $, поэтому $ y^2-7y-18 = (y-9)(y+2) $.

Таким образом, выражение в скобках равно: $ \frac{(y-9)(y+2)}{(y-5)(y+5)(2y+3)} $

5. Теперь вернемся к исходному выражению. Разложим на множители $ y^2-25 = (y-5)(y+5) $ и $ 4y+6 = 2(2y+3) $. Подставим все упрощенные части:

$ \frac{21}{2(2y+3)} + \frac{(y-5)(y+5)}{y+2} \cdot \frac{(y-9)(y+2)}{(y-5)(y+5)(2y+3)} $

6. Выполним умножение, сократив общие множители:

$ \frac{\cancel{(y-5)}\cancel{(y+5)}}{\cancel{y+2}} \cdot \frac{(y-9)\cancel{(y+2)}}{\cancel{(y-5)}\cancel{(y+5)}(2y+3)} = \frac{y-9}{2y+3} $

7. Выполним сложение с оставшейся дробью:

$ \frac{21}{2(2y+3)} + \frac{y-9}{2y+3} = \frac{21}{2(2y+3)} + \frac{2(y-9)}{2(2y+3)} = \frac{21 + 2(y-9)}{2(2y+3)} $

8. Упростим числитель и сократим дробь:

$ \frac{21 + 2y - 18}{2(2y+3)} = \frac{2y+3}{2(2y+3)} = \frac{1}{2} $

Ответ: $ \frac{1}{2} $

Помогло решение? Оставьте отзыв в комментариях ниже.

Присоединяйтесь к Телеграм-группе @gdz_by_belarus

Присоединиться

Мы подготовили для вас ответ c подробным объяснением домашего задания по алгебре за 9 класс, для упражнения номер 1.249 расположенного на странице 69 к учебнику 2019 года издания для учащихся школ и гимназий.

Теперь на нашем сайте ГДЗ.ТОП вы всегда легко и бесплатно найдёте условие с правильным ответом на вопрос «Как решить ДЗ» и «Как сделать» задание по алгебре к упражнению №1.249 (с. 69), авторов: Арефьева (Ирина Глебовна), Пирютко (Ольга Николаевна), учебного пособия издательства Народная асвета.