Номер 1.96, страница 39 - гдз по алгебре 9 класс учебник Арефьева, Пирютко

Алгебра, 9 класс Учебник, авторы: Арефьева Ирина Глебовна, Пирютко Ольга Николаевна, издательство Народная асвета, Минск, 2019, голубого цвета

Авторы: Арефьева И. Г., Пирютко О. Н.

Тип: Учебник

Издательство: Народная асвета

Год издания: 2019 - 2025

Цвет обложки: голубой, синий с графиком

ISBN: 978-985-03-3077-2

Допущено Министерством образования Республики Беларусь

Популярные ГДЗ в 9 классе

Глава 1. Рациональные выражения. Параграф 3. Сложение и вычитание рациональных дробей - номер 1.96, страница 39.

№1.96 (с. 39)
Условие. №1.96 (с. 39)
скриншот условия
Алгебра, 9 класс Учебник, авторы: Арефьева Ирина Глебовна, Пирютко Ольга Николаевна, издательство Народная асвета, Минск, 2019, голубого цвета, страница 39, номер 1.96, Условие

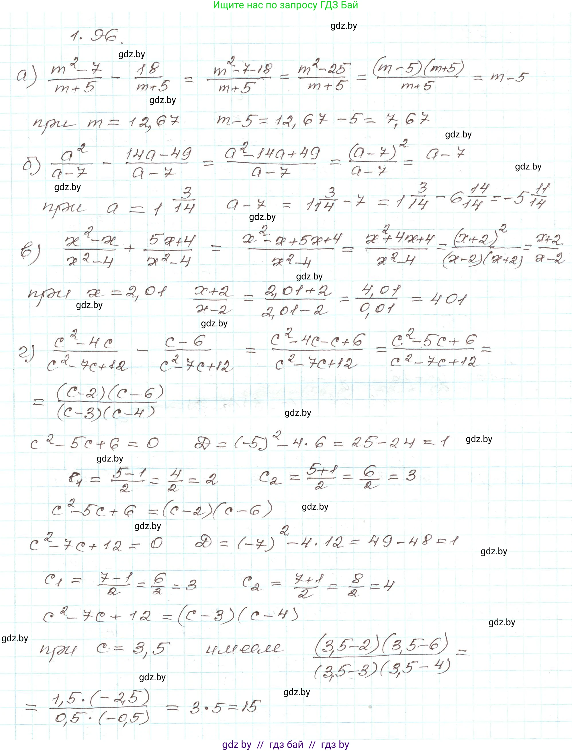
1.96. Найдите значение выражения:

а) $ \frac{m^2 - 7}{m + 5} - \frac{18}{m + 5} $ при $ m = 12,67 $;

б) $ \frac{a^2}{a - 7} - \frac{14a - 49}{a - 7} $ при $ a = 1\frac{3}{14} $;

В) $ \frac{x^2 - x}{x^2 - 4} + \frac{5x + 4}{x^2 - 4} $ при $ x = 2,01 $;

Г) $ \frac{c^2 - 4c}{c^2 - 7c + 12} - \frac{c - 6}{c^2 - 7c + 12} $ при $ c = 3,5 $.

Решение. №1.96 (с. 39)
Алгебра, 9 класс Учебник, авторы: Арефьева Ирина Глебовна, Пирютко Ольга Николаевна, издательство Народная асвета, Минск, 2019, голубого цвета, страница 39, номер 1.96, Решение
Решение 2. №1.96 (с. 39)

а) Сначала упростим выражение. Так как знаменатели дробей одинаковы, мы можем объединить их, выполнив вычитание числителей:
$ \frac{m^2 - 7}{m + 5} - \frac{18}{m + 5} = \frac{m^2 - 7 - 18}{m + 5} = \frac{m^2 - 25}{m + 5} $
Числитель $m^2 - 25$ является разностью квадратов, которую можно разложить на множители по формуле $a^2 - b^2 = (a-b)(a+b)$:
$ \frac{(m-5)(m+5)}{m+5} $
Сократим дробь на общий множитель $(m+5)$, при условии что $m+5 \neq 0$:
$ m-5 $
Теперь подставим в упрощенное выражение значение $m = 12,67$:
$ 12,67 - 5 = 7,67 $
Ответ: 7,67.

б) Упростим выражение, выполнив вычитание дробей с одинаковыми знаменателями:
$ \frac{a^2}{a-7} - \frac{14a-49}{a-7} = \frac{a^2 - (14a-49)}{a-7} = \frac{a^2 - 14a + 49}{a-7} $
Выражение в числителе $a^2 - 14a + 49$ является полным квадратом разности по формуле $(x-y)^2 = x^2 - 2xy + y^2$:
$ \frac{(a-7)^2}{a-7} $
Сократим дробь на $(a-7)$, при условии что $a-7 \neq 0$:
$ a-7 $
Подставим в полученное выражение значение $a = 1\frac{3}{14}$:
$ 1\frac{3}{14} - 7 = 1\frac{3}{14} - 6\frac{14}{14} = -(6\frac{14}{14} - 1\frac{3}{14}) = -5\frac{11}{14} $
Ответ: -5$\frac{11}{14}$.

в) Упростим выражение, выполнив сложение дробей с одинаковыми знаменателями:
$ \frac{x^2 - x}{x^2 - 4} + \frac{5x + 4}{x^2 - 4} = \frac{x^2 - x + 5x + 4}{x^2 - 4} = \frac{x^2 + 4x + 4}{x^2 - 4} $
Числитель $x^2 + 4x + 4$ является полным квадратом суммы $(a+b)^2 = a^2+2ab+b^2$, а знаменатель $x^2 - 4$ — разностью квадратов $a^2-b^2 = (a-b)(a+b)$:
$ \frac{(x+2)^2}{(x-2)(x+2)} $
Сократим дробь на $(x+2)$, при условии что $x+2 \neq 0$:
$ \frac{x+2}{x-2} $
Подставим значение $x = 2,01$:
$ \frac{2,01+2}{2,01-2} = \frac{4,01}{0,01} = 401 $
Ответ: 401.

г) Упростим выражение, выполнив вычитание дробей с одинаковыми знаменателями:
$ \frac{c^2 - 4c}{c^2 - 7c + 12} - \frac{c - 6}{c^2 - 7c + 12} = \frac{c^2 - 4c - (c - 6)}{c^2 - 7c + 12} = \frac{c^2 - 5c + 6}{c^2 - 7c + 12} $
Разложим числитель и знаменатель на множители. Для этого найдем корни соответствующих квадратных трехчленов:
Для числителя $c^2 - 5c + 6 = 0$. По теореме Виета корни $c_1=2, c_2=3$. Таким образом, $c^2 - 5c + 6 = (c-2)(c-3)$.
Для знаменателя $c^2 - 7c + 12 = 0$. По теореме Виета корни $c_1=3, c_2=4$. Таким образом, $c^2 - 7c + 12 = (c-3)(c-4)$.
Выражение принимает вид:
$ \frac{(c-2)(c-3)}{(c-3)(c-4)} $
Сократим дробь на $(c-3)$, при условии что $c-3 \neq 0$:
$ \frac{c-2}{c-4} $
Подставим значение $c = 3,5$:
$ \frac{3,5 - 2}{3,5 - 4} = \frac{1,5}{-0,5} = -3 $
Ответ: -3.

Помогло решение? Оставьте отзыв в комментариях ниже.

Присоединяйтесь к Телеграм-группе @gdz_by_belarus

Присоединиться

Мы подготовили для вас ответ c подробным объяснением домашего задания по алгебре за 9 класс, для упражнения номер 1.96 расположенного на странице 39 к учебнику 2019 года издания для учащихся школ и гимназий.

Теперь на нашем сайте ГДЗ.ТОП вы всегда легко и бесплатно найдёте условие с правильным ответом на вопрос «Как решить ДЗ» и «Как сделать» задание по алгебре к упражнению №1.96 (с. 39), авторов: Арефьева (Ирина Глебовна), Пирютко (Ольга Николаевна), учебного пособия издательства Народная асвета.