Номер 4.111, страница 229 - гдз по алгебре 9 класс учебник Арефьева, Пирютко

Алгебра, 9 класс Учебник, авторы: Арефьева Ирина Глебовна, Пирютко Ольга Николаевна, издательство Народная асвета, Минск, 2019, голубого цвета

Авторы: Арефьева И. Г., Пирютко О. Н.

Тип: Учебник

Издательство: Народная асвета

Год издания: 2019 - 2025

Цвет обложки: голубой, синий с графиком

ISBN: 978-985-03-3077-2

Допущено Министерством образования Республики Беларусь

Популярные ГДЗ в 9 классе

Глава 4. Прогрессии. Параграф 16. Формула суммы n первых членов арифметической прогрессии - номер 4.111, страница 229.

№4.111 (с. 229)
Условие. №4.111 (с. 229)
скриншот условия
Алгебра, 9 класс Учебник, авторы: Арефьева Ирина Глебовна, Пирютко Ольга Николаевна, издательство Народная асвета, Минск, 2019, голубого цвета, страница 229, номер 4.111, Условие

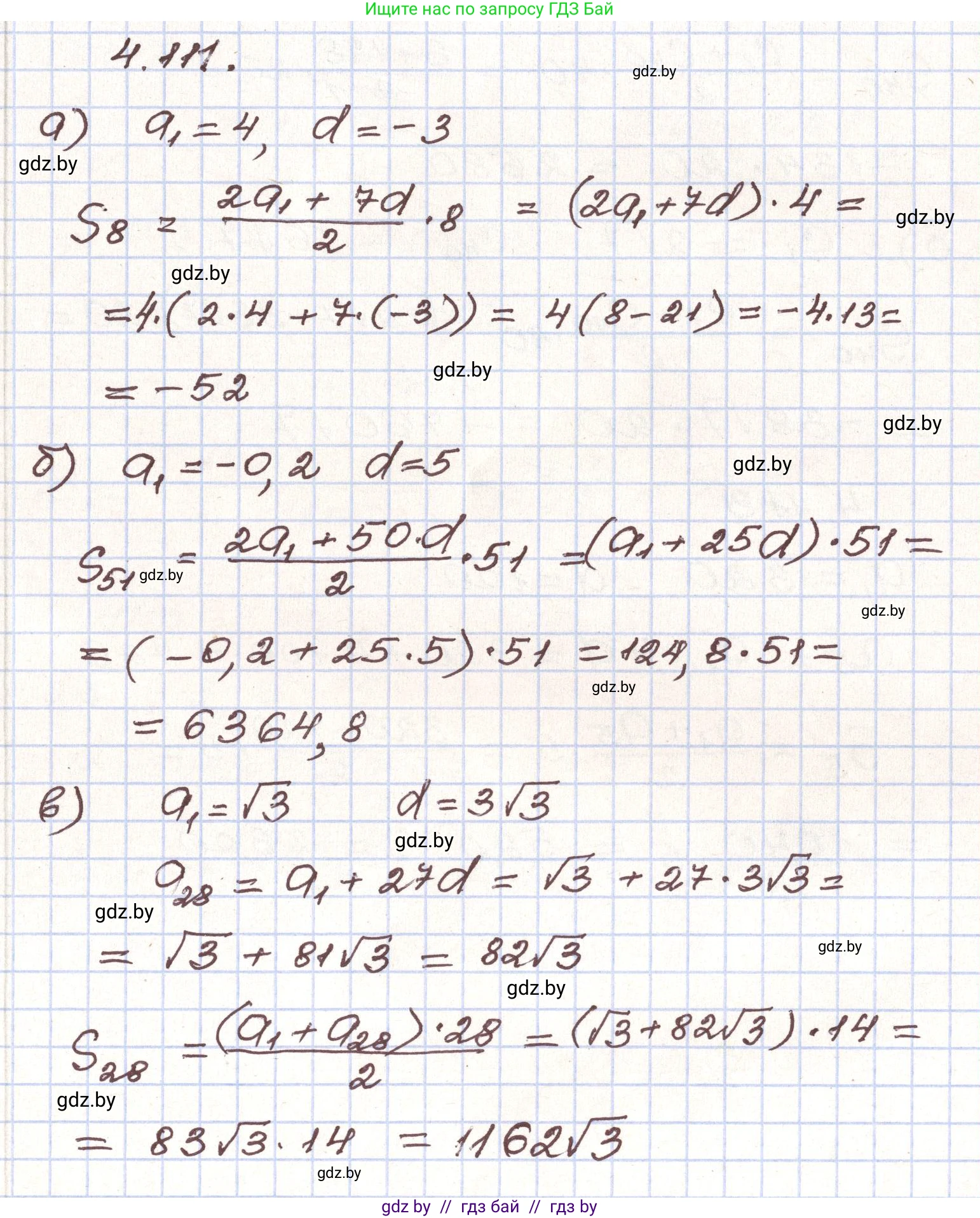
4.111. В арифметической прогрессии ($a_n$) найдите:

а) $S_8$, если $a_1 = 4$, $d = -3$;

б) $S_{51}$, если $a_1 = -0.2$, $d = 5$;

в) $S_{26}$, если $a_1 = \sqrt{3}$, $d = 3\sqrt{3}$.

Решение. №4.111 (с. 229)
Алгебра, 9 класс Учебник, авторы: Арефьева Ирина Глебовна, Пирютко Ольга Николаевна, издательство Народная асвета, Минск, 2019, голубого цвета, страница 229, номер 4.111, Решение
Решение 2. №4.111 (с. 229)

Для решения задачи используется формула суммы первых $n$ членов арифметической прогрессии:

$S_n = \frac{2a_1 + d(n-1)}{2} \cdot n$

где $a_1$ — первый член прогрессии, $d$ — её разность, а $n$ — количество членов, сумму которых нужно найти.


а) S₈, если a₁ = 4, d = -3;

Подставим в формулу известные значения $a_1 = 4$, $d = -3$ и $n = 8$:

$S_8 = \frac{2 \cdot 4 + (-3) \cdot (8 - 1)}{2} \cdot 8$

Выполним вычисления:

$S_8 = \frac{8 + (-3) \cdot 7}{2} \cdot 8 = \frac{8 - 21}{2} \cdot 8 = \frac{-13}{2} \cdot 8 = -13 \cdot 4 = -52$

Ответ: -52.


б) S₅₁, если a₁ = -0,2, d = 5;

Подставим в формулу известные значения $a_1 = -0,2$, $d = 5$ и $n = 51$. Для того чтобы в результате получить дробь и выделить из нее целую часть, представим $a_1$ в виде обыкновенной дроби: $a_1 = -0,2 = -\frac{2}{10} = -\frac{1}{5}$.

$S_{51} = \frac{2 \cdot (-\frac{1}{5}) + 5 \cdot (51 - 1)}{2} \cdot 51$

Выполним вычисления:

$S_{51} = \frac{-\frac{2}{5} + 5 \cdot 50}{2} \cdot 51 = \frac{-\frac{2}{5} + 250}{2} \cdot 51$

Приведем числа в числителе к общему знаменателю:

$S_{51} = \frac{-\frac{2}{5} + \frac{1250}{5}}{2} \cdot 51 = \frac{\frac{1248}{5}}{2} \cdot 51 = \frac{1248}{5 \cdot 2} \cdot 51 = \frac{1248}{10} \cdot 51$

$S_{51} = \frac{63648}{10} = \frac{31824}{5}$

Мы получили неправильную дробь. Теперь выделим из нее целую часть:

$\frac{31824}{5} = 6364\frac{4}{5}$

Ответ: 6364$\frac{4}{5}$.


в) S₂₆, если a₁ = √3, d = 3√3.

Подставим в формулу известные значения $a_1 = \sqrt{3}$, $d = 3\sqrt{3}$ и $n = 26$:

$S_{26} = \frac{2 \cdot \sqrt{3} + 3\sqrt{3} \cdot (26 - 1)}{2} \cdot 26$

Выполним вычисления:

$S_{26} = \frac{2\sqrt{3} + 3\sqrt{3} \cdot 25}{2} \cdot 26 = \frac{2\sqrt{3} + 75\sqrt{3}}{2} \cdot 26 = \frac{77\sqrt{3}}{2} \cdot 26$

Сократим дробь:

$S_{26} = 77\sqrt{3} \cdot 13$

Перемножим числовые коэффициенты:

$77 \cdot 13 = 1001$

$S_{26} = 1001\sqrt{3}$

Ответ: $1001\sqrt{3}$.

Помогло решение? Оставьте отзыв в комментариях ниже.

Присоединяйтесь к Телеграм-группе @gdz_by_belarus

Присоединиться

Мы подготовили для вас ответ c подробным объяснением домашего задания по алгебре за 9 класс, для упражнения номер 4.111 расположенного на странице 229 к учебнику 2019 года издания для учащихся школ и гимназий.

Теперь на нашем сайте ГДЗ.ТОП вы всегда легко и бесплатно найдёте условие с правильным ответом на вопрос «Как решить ДЗ» и «Как сделать» задание по алгебре к упражнению №4.111 (с. 229), авторов: Арефьева (Ирина Глебовна), Пирютко (Ольга Николаевна), учебного пособия издательства Народная асвета.