Номер 4.107, страница 224 - гдз по алгебре 9 класс учебник Арефьева, Пирютко

Алгебра, 9 класс Учебник, авторы: Арефьева Ирина Глебовна, Пирютко Ольга Николаевна, издательство Народная асвета, Минск, 2019, голубого цвета

Авторы: Арефьева И. Г., Пирютко О. Н.

Тип: Учебник

Издательство: Народная асвета

Год издания: 2019 - 2025

Цвет обложки: голубой, синий с графиком

ISBN: 978-985-03-3077-2

Допущено Министерством образования Республики Беларусь

Популярные ГДЗ в 9 классе

Глава 4. Прогрессии. Параграф 15. Арифметическая прогрессия - номер 4.107, страница 224.

№4.107 (с. 224)
Условие. №4.107 (с. 224)
скриншот условия
Алгебра, 9 класс Учебник, авторы: Арефьева Ирина Глебовна, Пирютко Ольга Николаевна, издательство Народная асвета, Минск, 2019, голубого цвета, страница 224, номер 4.107, Условие

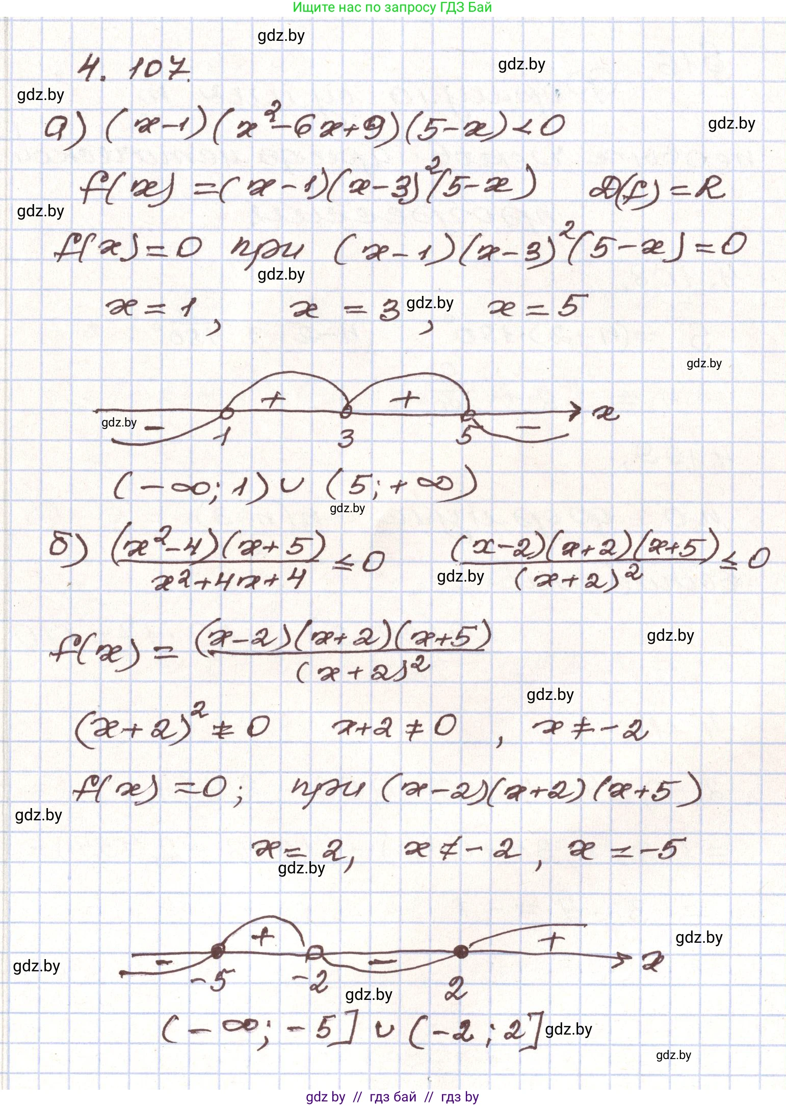
4.107. Решите неравенство

методом интервалов:

а) $(x - 1)(x^2 - 6x + 9)(5 - x) \ge 0;$

б) $\frac{(x^2 - 4)(x + 5)}{x^2 + 4x + 4} \le 0.$

Решение. №4.107 (с. 224)
Алгебра, 9 класс Учебник, авторы: Арефьева Ирина Глебовна, Пирютко Ольга Николаевна, издательство Народная асвета, Минск, 2019, голубого цвета, страница 224, номер 4.107, Решение
Решение 2. №4.107 (с. 224)

а) Решим неравенство $(x - 1)(x^2 - 6x + 9)(5 - x) \ge 0$.
Сначала преобразуем левую часть неравенства. Выражение $x^2 - 6x + 9$ является полным квадратом $(x-3)^2$. Множитель $(5-x)$ можно записать как $-(x-5)$.
Неравенство принимает вид: $(x - 1)(x - 3)^2 (-(x - 5)) \ge 0$.
Умножим обе части неравенства на $-1$, при этом знак неравенства изменится на противоположный:
$(x - 1)(x - 3)^2 (x - 5) \le 0$.
Для решения методом интервалов найдем нули функции $f(x) = (x - 1)(x - 3)^2 (x - 5)$.
Приравниваем левую часть к нулю: $(x - 1)(x - 3)^2 (x - 5) = 0$.
Корни уравнения: $x_1 = 1$, $x_2 = 3$, $x_3 = 5$.
Отметим эти точки на числовой оси. Так как неравенство нестрогое ($\le$), все точки включаются в решение.
Корень $x=3$ имеет четную кратность (степень 2), поэтому при переходе через эту точку знак функции $f(x)$ не меняется. Корни $x=1$ и $x=5$ имеют нечетную кратность (степень 1), поэтому знак меняется.
Определим знаки функции на интервалах:

  • При $x > 5$ (например $x=6$): $(+)(+)^2(+) > 0$. Знак "+".
  • При $x \in (3, 5)$: знак меняется на "-".
  • При $x \in (1, 3)$: знак не меняется (из-за $x=3$) и остается "-".
  • При $x < 1$: знак меняется на "+".

Мы ищем значения $x$, для которых $f(x) \le 0$. Это промежутки, где знак "-", а также точки, где $f(x)=0$.
Решением является объединение $[1, 3] \cup [3, 5]$, что дает отрезок $[1, 5]$.
Ответ: $x \in [1, 5]$

б) Решим неравенство $\frac{(x^2 - 4)(x + 5)}{x^2 + 4x + 4} \le 0$.
Разложим на множители числитель и знаменатель дроби.
Числитель: $x^2 - 4 = (x-2)(x+2)$.
Знаменатель: $x^2 + 4x + 4 = (x+2)^2$.
Неравенство принимает вид: $\frac{(x - 2)(x + 2)(x + 5)}{(x + 2)^2} \le 0$.
Определим область допустимых значений (ОДЗ): знаменатель не может быть равен нулю, поэтому $(x+2)^2 \neq 0$, что означает $x \neq -2$.
При условии $x \neq -2$, мы можем сократить дробь на $(x+2)$:
$\frac{(x - 2)(x + 5)}{x + 2} \le 0$.
Теперь решим это неравенство методом интервалов. Найдем нули числителя ($x=2$, $x=-5$) и нуль знаменателя ($x=-2$).
Отметим эти точки на числовой оси. Точки $x=2$ и $x=-5$ (нули числителя) будут закрашенными, так как неравенство нестрогое. Точка $x=-2$ (нуль знаменателя) будет выколотой, так как она не входит в ОДЗ.
Определим знаки на полученных интервалах:

  • При $x > 2$ (например $x=3$): $\frac{(+)(+)}{(+)} > 0$. Знак "+".
  • При $x \in (-2, 2)$: $\frac{(-)(+)}{(+)} < 0$. Знак "-".
  • При $x \in (-5, -2)$: $\frac{(-)(+)}{(-)} > 0$. Знак "+".
  • При $x < -5$: $\frac{(-)(-)}{(-)} < 0$. Знак "-".

Мы ищем значения $x$, при которых выражение меньше или равно нулю. Это интервалы со знаком "-", включая закрашенные точки.
Решением является объединение промежутков $(-\infty, -5]$ и $(-2, 2]$.
Ответ: $x \in (-\infty, -5] \cup (-2, 2]$

Помогло решение? Оставьте отзыв в комментариях ниже.

Присоединяйтесь к Телеграм-группе @gdz_by_belarus

Присоединиться

Мы подготовили для вас ответ c подробным объяснением домашего задания по алгебре за 9 класс, для упражнения номер 4.107 расположенного на странице 224 к учебнику 2019 года издания для учащихся школ и гимназий.

Теперь на нашем сайте ГДЗ.ТОП вы всегда легко и бесплатно найдёте условие с правильным ответом на вопрос «Как решить ДЗ» и «Как сделать» задание по алгебре к упражнению №4.107 (с. 224), авторов: Арефьева (Ирина Глебовна), Пирютко (Ольга Николаевна), учебного пособия издательства Народная асвета.