Номер 4.14, страница 208 - гдз по алгебре 9 класс учебник Арефьева, Пирютко

Алгебра, 9 класс Учебник, авторы: Арефьева Ирина Глебовна, Пирютко Ольга Николаевна, издательство Народная асвета, Минск, 2019, голубого цвета

Авторы: Арефьева И. Г., Пирютко О. Н.

Тип: Учебник

Издательство: Народная асвета

Год издания: 2019 - 2025

Цвет обложки: голубой, синий с графиком

ISBN: 978-985-03-3077-2

Допущено Министерством образования Республики Беларусь

Популярные ГДЗ в 9 классе

Глава 4. Прогрессии. Параграф 14. Числовая последовательность - номер 4.14, страница 208.

№4.14 (с. 208)
Условие. №4.14 (с. 208)
скриншот условия
Алгебра, 9 класс Учебник, авторы: Арефьева Ирина Глебовна, Пирютко Ольга Николаевна, издательство Народная асвета, Минск, 2019, голубого цвета, страница 208, номер 4.14, Условие

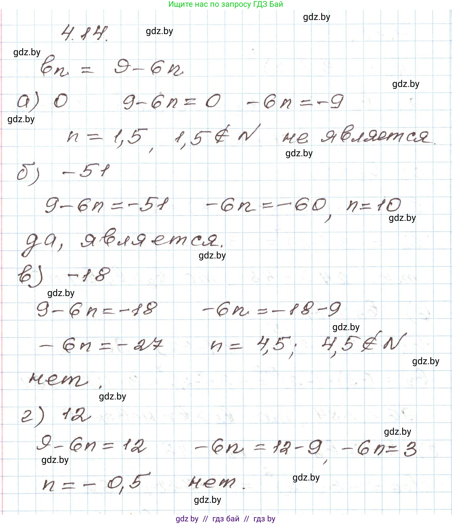
4.14. Последовательность ($b_n$) задана формулой $n$-го члена

$b_n = 9 - 6n$. Является ли членом этой последовательности число:

а) 0;

б) -51;

в) -18;

г) 12?

Решение. №4.14 (с. 208)
Алгебра, 9 класс Учебник, авторы: Арефьева Ирина Глебовна, Пирютко Ольга Николаевна, издательство Народная асвета, Минск, 2019, голубого цвета, страница 208, номер 4.14, Решение
Решение 2. №4.14 (с. 208)

Для того чтобы определить, является ли заданное число членом последовательности $(b_n)$, необходимо подставить это число вместо $b_n$ в формулу $n$-го члена $b_n = 9 - 6n$ и решить полученное уравнение относительно $n$. Если значение $n$ окажется натуральным числом (т.е. целым и положительным), то число является членом последовательности.

а) 0;
Подставим 0 в формулу:
$0 = 9 - 6n$
$6n = 9$
$n = \frac{9}{6} = \frac{3}{2} = \mathbf{1}\frac{1}{2}$
Так как $n = 1.5$ не является натуральным числом, число 0 не является членом этой последовательности.
Ответ: нет.

б) -51;
Подставим -51 в формулу:
$-51 = 9 - 6n$
$6n = 9 - (-51)$
$6n = 60$
$n = \frac{60}{6} = 10$
Так как $n = 10$ — это натуральное число, число -51 является 10-м членом этой последовательности.
Ответ: да.

в) -18;
Подставим -18 в формулу:
$-18 = 9 - 6n$
$6n = 9 - (-18)$
$6n = 27$
$n = \frac{27}{6} = \frac{9}{2} = \mathbf{4}\frac{1}{2}$
Так как $n = 4.5$ не является натуральным числом, число -18 не является членом этой последовательности.
Ответ: нет.

г) 12?
Подставим 12 в формулу:
$12 = 9 - 6n$
$6n = 9 - 12$
$6n = -3$
$n = -\frac{3}{6} = -\frac{1}{2}$
Так как $n = -0.5$ не является натуральным числом (оно отрицательное), число 12 не является членом этой последовательности.
Ответ: нет.

Помогло решение? Оставьте отзыв в комментариях ниже.

Присоединяйтесь к Телеграм-группе @gdz_by_belarus

Присоединиться

Мы подготовили для вас ответ c подробным объяснением домашего задания по алгебре за 9 класс, для упражнения номер 4.14 расположенного на странице 208 к учебнику 2019 года издания для учащихся школ и гимназий.

Теперь на нашем сайте ГДЗ.ТОП вы всегда легко и бесплатно найдёте условие с правильным ответом на вопрос «Как решить ДЗ» и «Как сделать» задание по алгебре к упражнению №4.14 (с. 208), авторов: Арефьева (Ирина Глебовна), Пирютко (Ольга Николаевна), учебного пособия издательства Народная асвета.