Номер 4.7, страница 208 - гдз по алгебре 9 класс учебник Арефьева, Пирютко

Алгебра, 9 класс Учебник, авторы: Арефьева Ирина Глебовна, Пирютко Ольга Николаевна, издательство Народная асвета, Минск, 2019, голубого цвета

Авторы: Арефьева И. Г., Пирютко О. Н.

Тип: Учебник

Издательство: Народная асвета

Год издания: 2019 - 2025

Цвет обложки: голубой, синий с графиком

ISBN: 978-985-03-3077-2

Допущено Министерством образования Республики Беларусь

Популярные ГДЗ в 9 классе

Глава 4. Прогрессии. Параграф 14. Числовая последовательность - номер 4.7, страница 208.

№4.7 (с. 208)
Условие. №4.7 (с. 208)
скриншот условия
Алгебра, 9 класс Учебник, авторы: Арефьева Ирина Глебовна, Пирютко Ольга Николаевна, издательство Народная асвета, Минск, 2019, голубого цвета, страница 208, номер 4.7, Условие

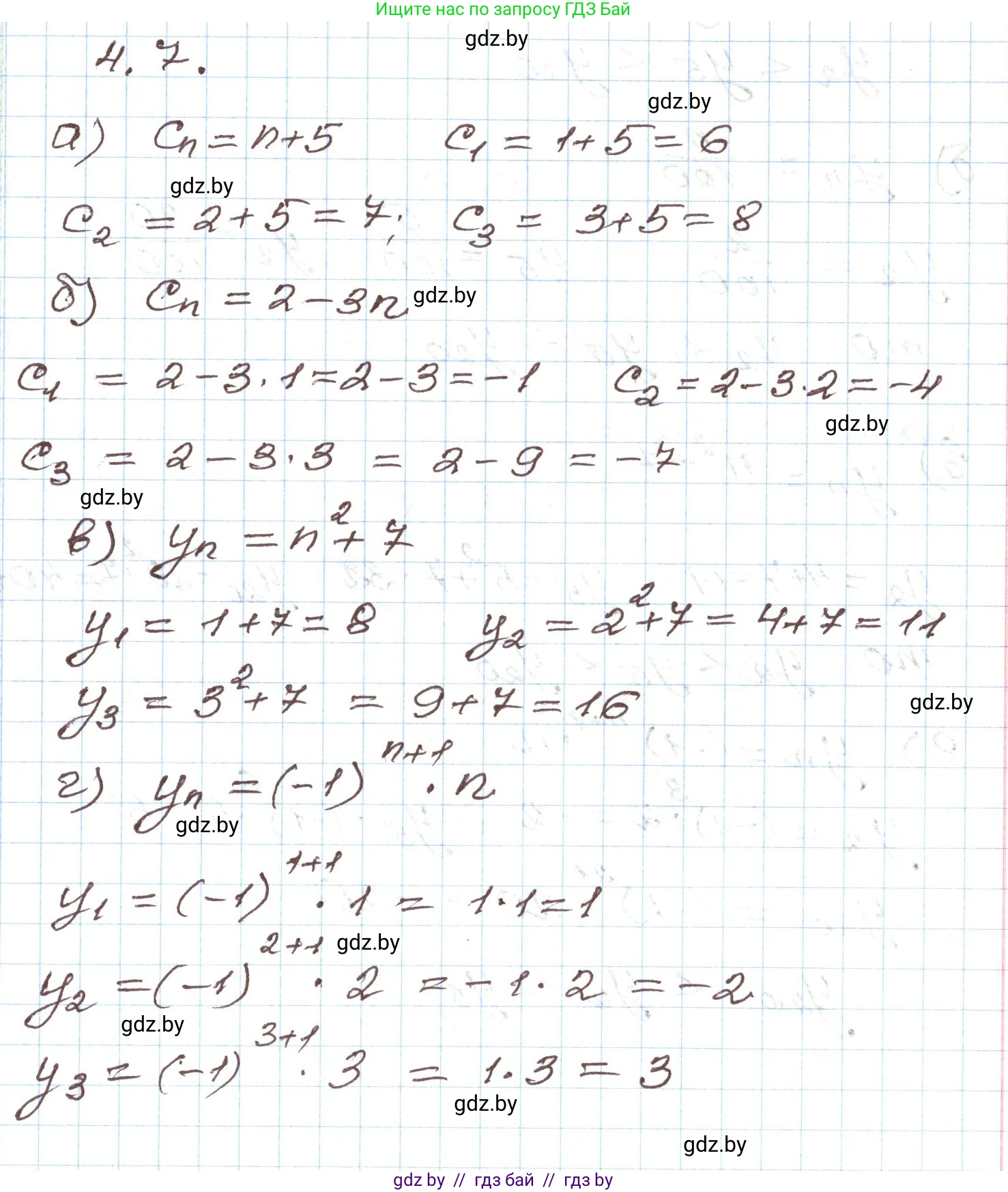
4.7. Найдите 3 первых члена последовательности $(c_n)$, заданной формулой $n$-го члена:

а) $c_n = n + 5;$

б) $c_n = 2 - 3n;$

в) $c_n = n^2 - 1;$

г) $c_n = -3^n.$

Решение. №4.7 (с. 208)
Алгебра, 9 класс Учебник, авторы: Арефьева Ирина Глебовна, Пирютко Ольга Николаевна, издательство Народная асвета, Минск, 2019, голубого цвета, страница 208, номер 4.7, Решение
Решение 2. №4.7 (с. 208)

а) Чтобы найти первые три члена последовательности, заданной формулой n-го члена $c_n = n + 5$, нужно подставить в эту формулу поочередно значения $n=1, 2, 3$.
При $n=1$: $c_1 = 1 + 5 = 6$
При $n=2$: $c_2 = 2 + 5 = 7$
При $n=3$: $c_3 = 3 + 5 = 8$
Ответ: 6, 7, 8.

б) Для последовательности с формулой $c_n = 2 - 3n$ найдем первые три члена, подставляя $n=1, 2, 3$:
$c_1 = 2 - 3 \cdot 1 = 2 - 3 = -1$
$c_2 = 2 - 3 \cdot 2 = 2 - 6 = -4$
$c_3 = 2 - 3 \cdot 3 = 2 - 9 = -7$
Ответ: -1, -4, -7.

в) Вычислим первые три члена для последовательности, заданной формулой $c_n = n^2 - 1$:
$c_1 = 1^2 - 1 = 1 - 1 = 0$
$c_2 = 2^2 - 1 = 4 - 1 = 3$
$c_3 = 3^2 - 1 = 9 - 1 = 8$
Ответ: 0, 3, 8.

г) Найдем первые три члена последовательности по формуле $c_n = -3^n$:
$c_1 = -3^1 = -3$
$c_2 = -3^2 = -9$
$c_3 = -3^3 = -27$
Ответ: -3, -9, -27.

Помогло решение? Оставьте отзыв в комментариях ниже.

Присоединяйтесь к Телеграм-группе @gdz_by_belarus

Присоединиться

Мы подготовили для вас ответ c подробным объяснением домашего задания по алгебре за 9 класс, для упражнения номер 4.7 расположенного на странице 208 к учебнику 2019 года издания для учащихся школ и гимназий.

Теперь на нашем сайте ГДЗ.ТОП вы всегда легко и бесплатно найдёте условие с правильным ответом на вопрос «Как решить ДЗ» и «Как сделать» задание по алгебре к упражнению №4.7 (с. 208), авторов: Арефьева (Ирина Глебовна), Пирютко (Ольга Николаевна), учебного пособия издательства Народная асвета.