Номер 4.23, страница 209 - гдз по алгебре 9 класс учебник Арефьева, Пирютко

Алгебра, 9 класс Учебник, авторы: Арефьева Ирина Глебовна, Пирютко Ольга Николаевна, издательство Народная асвета, Минск, 2019, голубого цвета

Авторы: Арефьева И. Г., Пирютко О. Н.

Тип: Учебник

Издательство: Народная асвета

Год издания: 2019 - 2025

Цвет обложки: голубой, синий с графиком

ISBN: 978-985-03-3077-2

Допущено Министерством образования Республики Беларусь

Популярные ГДЗ в 9 классе

Глава 4. Прогрессии. Параграф 14. Числовая последовательность - номер 4.23, страница 209.

№4.23 (с. 209)
Условие. №4.23 (с. 209)
скриншот условия
Алгебра, 9 класс Учебник, авторы: Арефьева Ирина Глебовна, Пирютко Ольга Николаевна, издательство Народная асвета, Минск, 2019, голубого цвета, страница 209, номер 4.23, Условие

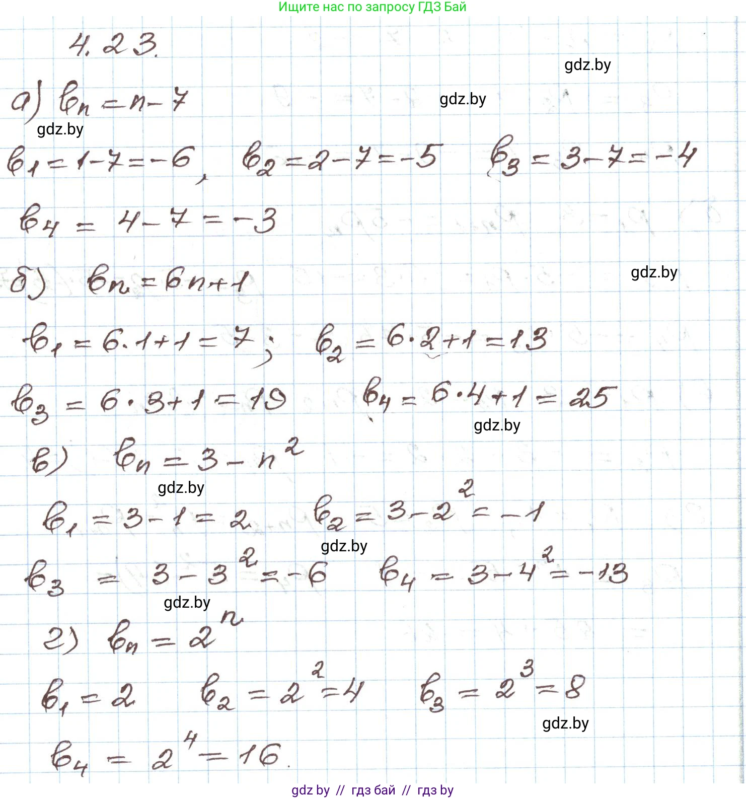
4.23. Найдите 4 первых члена последовательности $(b_n)$, заданной формулой $n$-го члена:

а) $b_n = n - 7;$

б) $b_n = 6n + 1;$

в) $b_n = 3 - n^2;$

г) $b_n = 2^n.$

Решение. №4.23 (с. 209)
Алгебра, 9 класс Учебник, авторы: Арефьева Ирина Глебовна, Пирютко Ольга Николаевна, издательство Народная асвета, Минск, 2019, голубого цвета, страница 209, номер 4.23, Решение
Решение 2. №4.23 (с. 209)

а) Для нахождения первых четырех членов последовательности, заданной формулой $b_n = n - 7$, необходимо последовательно подставить в нее значения $n=1, 2, 3, 4$:
При $n=1$: $b_1 = 1 - 7 = -6$
При $n=2$: $b_2 = 2 - 7 = -5$
При $n=3$: $b_3 = 3 - 7 = -4$
При $n=4$: $b_4 = 4 - 7 = -3$
Ответ: -6, -5, -4, -3.

б) Для нахождения первых четырех членов последовательности, заданной формулой $b_n = 6n + 1$, необходимо последовательно подставить в нее значения $n=1, 2, 3, 4$:
При $n=1$: $b_1 = 6 \cdot 1 + 1 = 7$
При $n=2$: $b_2 = 6 \cdot 2 + 1 = 13$
При $n=3$: $b_3 = 6 \cdot 3 + 1 = 19$
При $n=4$: $b_4 = 6 \cdot 4 + 1 = 25$
Ответ: 7, 13, 19, 25.

в) Для нахождения первых четырех членов последовательности, заданной формулой $b_n = 3 - n^2$, необходимо последовательно подставить в нее значения $n=1, 2, 3, 4$:
При $n=1$: $b_1 = 3 - 1^2 = 3 - 1 = 2$
При $n=2$: $b_2 = 3 - 2^2 = 3 - 4 = -1$
При $n=3$: $b_3 = 3 - 3^2 = 3 - 9 = -6$
При $n=4$: $b_4 = 3 - 4^2 = 3 - 16 = -13$
Ответ: 2, -1, -6, -13.

г) Для нахождения первых четырех членов последовательности, заданной формулой $b_n = 2^n$, необходимо последовательно подставить в нее значения $n=1, 2, 3, 4$:
При $n=1$: $b_1 = 2^1 = 2$
При $n=2$: $b_2 = 2^2 = 4$
При $n=3$: $b_3 = 2^3 = 8$
При $n=4$: $b_4 = 2^4 = 16$
Ответ: 2, 4, 8, 16.

Помогло решение? Оставьте отзыв в комментариях ниже.

Присоединяйтесь к Телеграм-группе @gdz_by_belarus

Присоединиться

Мы подготовили для вас ответ c подробным объяснением домашего задания по алгебре за 9 класс, для упражнения номер 4.23 расположенного на странице 209 к учебнику 2019 года издания для учащихся школ и гимназий.

Теперь на нашем сайте ГДЗ.ТОП вы всегда легко и бесплатно найдёте условие с правильным ответом на вопрос «Как решить ДЗ» и «Как сделать» задание по алгебре к упражнению №4.23 (с. 209), авторов: Арефьева (Ирина Глебовна), Пирютко (Ольга Николаевна), учебного пособия издательства Народная асвета.