Номер 4.29, страница 210 - гдз по алгебре 9 класс учебник Арефьева, Пирютко

Алгебра, 9 класс Учебник, авторы: Арефьева Ирина Глебовна, Пирютко Ольга Николаевна, издательство Народная асвета, Минск, 2019, голубого цвета

Авторы: Арефьева И. Г., Пирютко О. Н.

Тип: Учебник

Издательство: Народная асвета

Год издания: 2019 - 2025

Цвет обложки: голубой, синий с графиком

ISBN: 978-985-03-3077-2

Допущено Министерством образования Республики Беларусь

Популярные ГДЗ в 9 классе

Глава 4. Прогрессии. Параграф 14. Числовая последовательность - номер 4.29, страница 210.

№4.29 (с. 210)
Условие. №4.29 (с. 210)
скриншот условия
Алгебра, 9 класс Учебник, авторы: Арефьева Ирина Глебовна, Пирютко Ольга Николаевна, издательство Народная асвета, Минск, 2019, голубого цвета, страница 210, номер 4.29, Условие

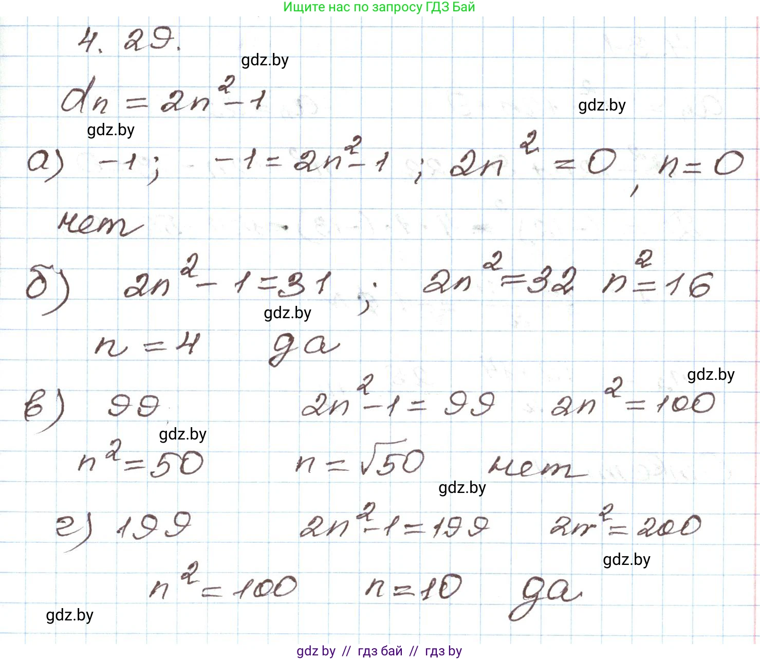
4.29. Последовательность ($d_n$) задана формулой $n$-го члена на $d_n = 2n^2 - 1$. Является ли членом этой последовательности число:

а) -1;

б) 31;

в) 99;

г) 199?

Решение. №4.29 (с. 210)
Алгебра, 9 класс Учебник, авторы: Арефьева Ирина Глебовна, Пирютко Ольга Николаевна, издательство Народная асвета, Минск, 2019, голубого цвета, страница 210, номер 4.29, Решение
Решение 2. №4.29 (с. 210)

Чтобы определить, является ли число членом последовательности $(d_n)$, заданной формулой $d_n = 2n^2 - 1$, нужно подставить это число в формулу вместо $d_n$ и найти $n$. Если $n$ окажется натуральным числом (целым и положительным), то данное число является членом последовательности.

Выразим $n$ из формулы n-го члена:

$d_n = 2n^2 - 1$

$2n^2 = d_n + 1$

$n^2 = \frac{d_n + 1}{2}$

$n = \sqrt{\frac{d_n + 1}{2}}$

Теперь проверим каждое из предложенных чисел.

а) -1;

Подставим $d_n = -1$ в выведенную формулу:

$n = \sqrt{\frac{-1 + 1}{2}} = \sqrt{\frac{0}{2}} = \sqrt{0} = 0$

Поскольку номер члена последовательности $n$ должен быть натуральным числом ($n \in \{1, 2, 3, ...\}$), а мы получили $n=0$, число -1 не является членом этой последовательности.

Ответ: Нет.

б) 31;

Подставим $d_n = 31$:

$n = \sqrt{\frac{31 + 1}{2}} = \sqrt{\frac{32}{2}} = \sqrt{16} = 4$

Мы получили натуральное число $n=4$. Это означает, что число 31 является 4-м членом данной последовательности.

Ответ: Да.

в) 99;

Подставим $d_n = 99$:

$n = \sqrt{\frac{99 + 1}{2}} = \sqrt{\frac{100}{2}} = \sqrt{50}$

Число 50 не является полным квадратом, поэтому $\sqrt{50}$ не является целым числом. Следовательно, не существует натурального номера $n$, для которого член последовательности был бы равен 99.

Ответ: Нет.

г) 199;

Подставим $d_n = 199$:

$n = \sqrt{\frac{199 + 1}{2}} = \sqrt{\frac{200}{2}} = \sqrt{100} = 10$

Мы получили натуральное число $n=10$. Это означает, что число 199 является 10-м членом данной последовательности.

Ответ: Да.

Помогло решение? Оставьте отзыв в комментариях ниже.

Присоединяйтесь к Телеграм-группе @gdz_by_belarus

Присоединиться

Мы подготовили для вас ответ c подробным объяснением домашего задания по алгебре за 9 класс, для упражнения номер 4.29 расположенного на странице 210 к учебнику 2019 года издания для учащихся школ и гимназий.

Теперь на нашем сайте ГДЗ.ТОП вы всегда легко и бесплатно найдёте условие с правильным ответом на вопрос «Как решить ДЗ» и «Как сделать» задание по алгебре к упражнению №4.29 (с. 210), авторов: Арефьева (Ирина Глебовна), Пирютко (Ольга Николаевна), учебного пособия издательства Народная асвета.