Номер 4.290, страница 260 - гдз по алгебре 9 класс учебник Арефьева, Пирютко

Алгебра, 9 класс Учебник, авторы: Арефьева Ирина Глебовна, Пирютко Ольга Николаевна, издательство Народная асвета, Минск, 2019, голубого цвета

Авторы: Арефьева И. Г., Пирютко О. Н.

Тип: Учебник

Издательство: Народная асвета

Год издания: 2019 - 2025

Цвет обложки: голубой, синий с графиком

ISBN: 978-985-03-3077-2

Допущено Министерством образования Республики Беларусь

Популярные ГДЗ в 9 классе

Глава 4. Прогрессии. Параграф 19. Сумма бесконечно убывающей геометрической прогрессии - номер 4.290, страница 260.

№4.290 (с. 260)
Условие. №4.290 (с. 260)
скриншот условия
Алгебра, 9 класс Учебник, авторы: Арефьева Ирина Глебовна, Пирютко Ольга Николаевна, издательство Народная асвета, Минск, 2019, голубого цвета, страница 260, номер 4.290, Условие

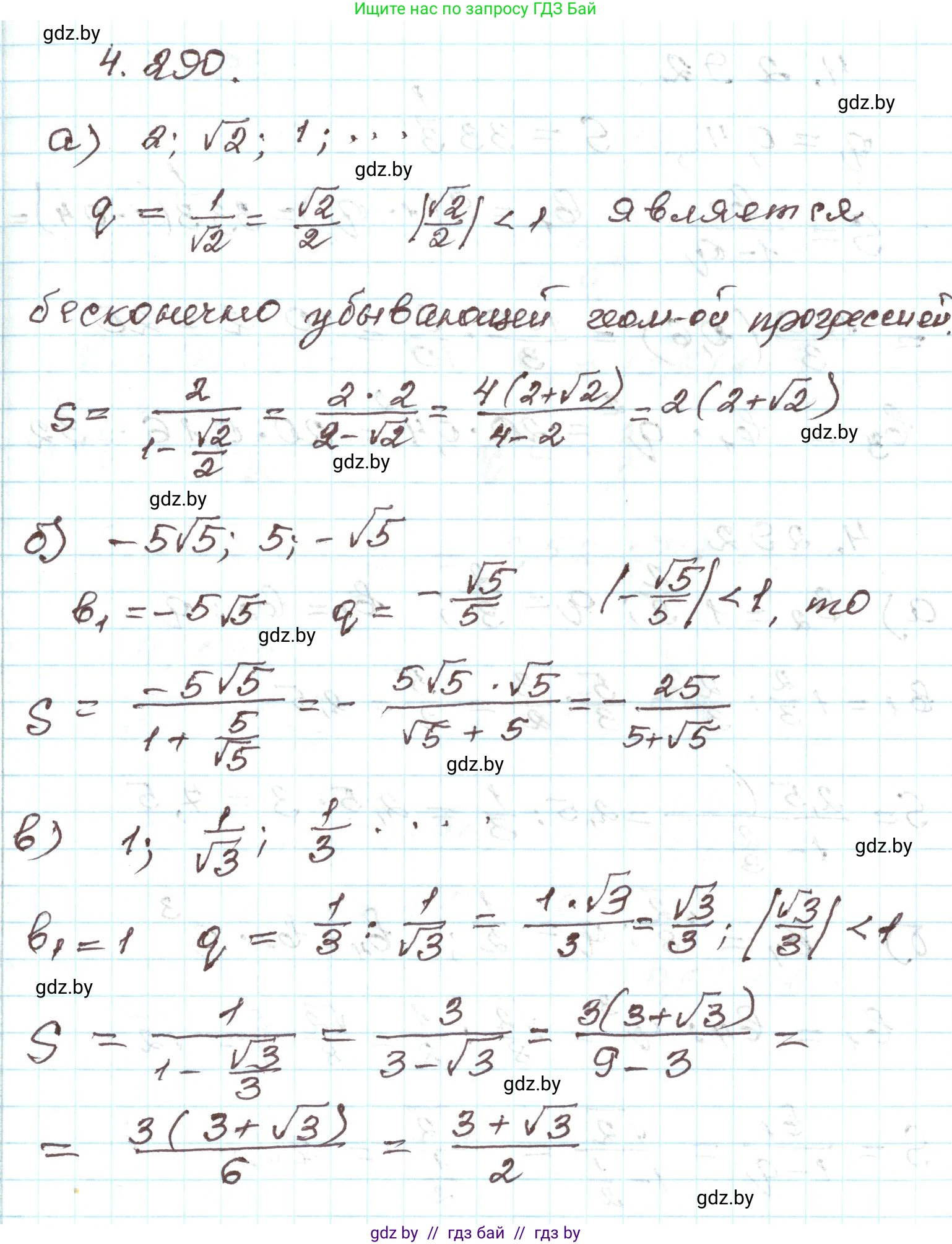
4.290. Определите, является ли бесконечно убывающей геометрическая прогрессия:

а) $2; \sqrt{2}; 1; ...;$

б) $-5\sqrt{5}; 5; -\sqrt{5}; ...;$

в) $1; \frac{1}{\sqrt{3}}; \frac{1}{3}; ...;$

Воспользуйтесь соответствующей формулой и найдите ее сумму.

Решение. №4.290 (с. 260)
Алгебра, 9 класс Учебник, авторы: Арефьева Ирина Глебовна, Пирютко Ольга Николаевна, издательство Народная асвета, Минск, 2019, голубого цвета, страница 260, номер 4.290, Решение
Решение 2. №4.290 (с. 260)

Геометрическая прогрессия является бесконечно убывающей, если модуль ее знаменателя $q$ меньше единицы, то есть $|q| < 1$. Сумма такой прогрессии находится по формуле $S = \frac{b_1}{1-q}$, где $b_1$ — первый член прогрессии.

a) 2; $\sqrt{2}$; 1; ...

Первый член прогрессии $b_1 = 2$.
Найдем знаменатель прогрессии $q$:
$q = \frac{b_2}{b_1} = \frac{\sqrt{2}}{2}$.
Проверим, является ли прогрессия бесконечно убывающей. Для этого необходимо, чтобы выполнялось условие $|q| < 1$.
$|q| = |\frac{\sqrt{2}}{2}| = \frac{\sqrt{2}}{2}$. Так как $(\frac{\sqrt{2}}{2})^2 = \frac{2}{4} = \frac{1}{2} < 1$, то и $\frac{\sqrt{2}}{2} < 1$.
Следовательно, прогрессия является бесконечно убывающей.
Найдем ее сумму по формуле $S = \frac{b_1}{1-q}$:
$S = \frac{2}{1 - \frac{\sqrt{2}}{2}} = \frac{2}{\frac{2-\sqrt{2}}{2}} = \frac{2 \cdot 2}{2-\sqrt{2}} = \frac{4}{2-\sqrt{2}}$.
Избавимся от иррациональности в знаменателе, домножив числитель и знаменатель на сопряженное выражение $(2+\sqrt{2})$:
$S = \frac{4(2+\sqrt{2})}{(2-\sqrt{2})(2+\sqrt{2})} = \frac{4(2+\sqrt{2})}{2^2 - (\sqrt{2})^2} = \frac{4(2+\sqrt{2})}{4-2} = \frac{4(2+\sqrt{2})}{2} = 2(2+\sqrt{2}) = 4+2\sqrt{2}$.
Ответ: $4+2\sqrt{2}$.

б) $-5\sqrt{5}$; 5; $-\sqrt{5}$; ...

Первый член прогрессии $b_1 = -5\sqrt{5}$.
Найдем знаменатель прогрессии $q$:
$q = \frac{b_2}{b_1} = \frac{5}{-5\sqrt{5}} = -\frac{1}{\sqrt{5}}$.
Проверим условие $|q| < 1$:
$|q| = |-\frac{1}{\sqrt{5}}| = \frac{1}{\sqrt{5}}$. Так как $5 > 1$, то $\sqrt{5} > 1$, и $\frac{1}{\sqrt{5}} < 1$.
Следовательно, прогрессия является бесконечно убывающей.
Найдем ее сумму:
$S = \frac{b_1}{1-q} = \frac{-5\sqrt{5}}{1 - (-\frac{1}{\sqrt{5}})} = \frac{-5\sqrt{5}}{1 + \frac{1}{\sqrt{5}}} = \frac{-5\sqrt{5}}{\frac{\sqrt{5}+1}{\sqrt{5}}} = \frac{-5\sqrt{5} \cdot \sqrt{5}}{\sqrt{5}+1} = \frac{-5 \cdot 5}{\sqrt{5}+1} = \frac{-25}{\sqrt{5}+1}$.
Избавимся от иррациональности в знаменателе:
$S = \frac{-25(\sqrt{5}-1)}{(\sqrt{5}+1)(\sqrt{5}-1)} = \frac{-25(\sqrt{5}-1)}{(\sqrt{5})^2 - 1^2} = \frac{-25(\sqrt{5}-1)}{5-1} = \frac{-25(\sqrt{5}-1)}{4} = \frac{25-25\sqrt{5}}{4}$.
Ответ: $\frac{25-25\sqrt{5}}{4}$.

в) 1; $\frac{1}{\sqrt{3}}$; $\frac{1}{3}$; ...

Первый член прогрессии $b_1 = 1$.
Найдем знаменатель прогрессии $q$:
$q = \frac{b_2}{b_1} = \frac{1/\sqrt{3}}{1} = \frac{1}{\sqrt{3}}$.
Проверим условие $|q| < 1$:
$|q| = |\frac{1}{\sqrt{3}}| = \frac{1}{\sqrt{3}}$. Так как $3 > 1$, то $\sqrt{3} > 1$, и $\frac{1}{\sqrt{3}} < 1$.
Следовательно, прогрессия является бесконечно убывающей.
Найдем ее сумму:
$S = \frac{b_1}{1-q} = \frac{1}{1 - \frac{1}{\sqrt{3}}} = \frac{1}{\frac{\sqrt{3}-1}{\sqrt{3}}} = \frac{\sqrt{3}}{\sqrt{3}-1}$.
Избавимся от иррациональности в знаменателе:
$S = \frac{\sqrt{3}(\sqrt{3}+1)}{(\sqrt{3}-1)(\sqrt{3}+1)} = \frac{(\sqrt{3})^2 + \sqrt{3}}{(\sqrt{3})^2 - 1^2} = \frac{3+\sqrt{3}}{3-1} = \frac{3+\sqrt{3}}{2}$.
Ответ: $\frac{3+\sqrt{3}}{2}$.

Помогло решение? Оставьте отзыв в комментариях ниже.

Присоединяйтесь к Телеграм-группе @gdz_by_belarus

Присоединиться

Мы подготовили для вас ответ c подробным объяснением домашего задания по алгебре за 9 класс, для упражнения номер 4.290 расположенного на странице 260 к учебнику 2019 года издания для учащихся школ и гимназий.

Теперь на нашем сайте ГДЗ.ТОП вы всегда легко и бесплатно найдёте условие с правильным ответом на вопрос «Как решить ДЗ» и «Как сделать» задание по алгебре к упражнению №4.290 (с. 260), авторов: Арефьева (Ирина Глебовна), Пирютко (Ольга Николаевна), учебного пособия издательства Народная асвета.