Номер 4.284, страница 259 - гдз по алгебре 9 класс учебник Арефьева, Пирютко

Алгебра, 9 класс Учебник, авторы: Арефьева Ирина Глебовна, Пирютко Ольга Николаевна, издательство Народная асвета, Минск, 2019, голубого цвета

Авторы: Арефьева И. Г., Пирютко О. Н.

Тип: Учебник

Издательство: Народная асвета

Год издания: 2019 - 2025

Цвет обложки: голубой, синий с графиком

ISBN: 978-985-03-3077-2

Допущено Министерством образования Республики Беларусь

Популярные ГДЗ в 9 классе

Глава 4. Прогрессии. Параграф 19. Сумма бесконечно убывающей геометрической прогрессии - номер 4.284, страница 259.

№4.284 (с. 259)
Условие. №4.284 (с. 259)
скриншот условия
Алгебра, 9 класс Учебник, авторы: Арефьева Ирина Глебовна, Пирютко Ольга Николаевна, издательство Народная асвета, Минск, 2019, голубого цвета, страница 259, номер 4.284, Условие

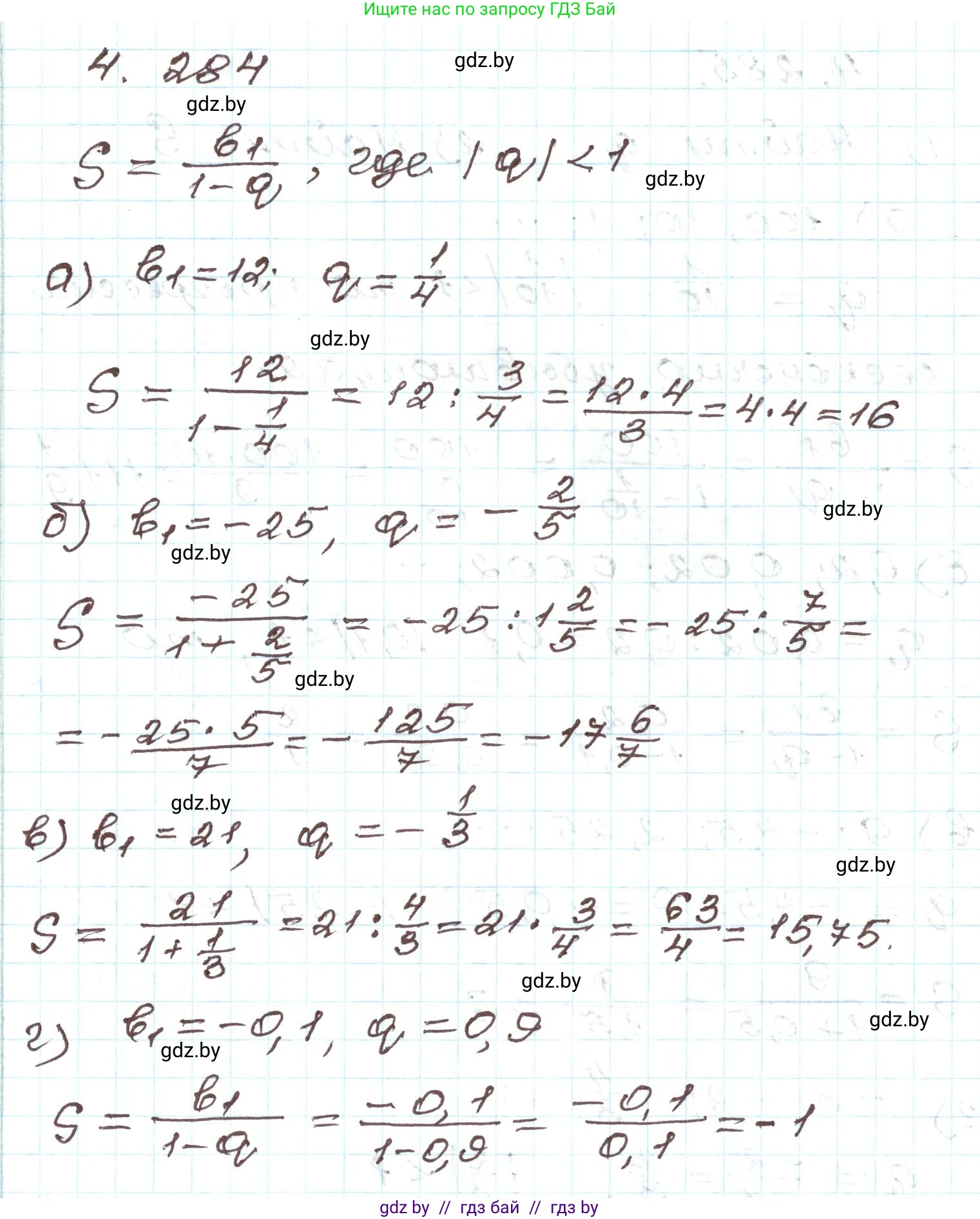
4.284. Какую формулу нужно применить, чтобы найти сумму бесконечно убывающей геометрической прогрессии ($b_n$) со знаменателем $q$? Найдите эту сумму, если:

a) $b_1 = 12, q = \frac{1}{4}$;

б) $b_1 = -25, q = -\frac{2}{5}$;

в) $b_1 = 21, q = -\frac{1}{3}$;

г) $b_1 = -0.1, q = 0.9$.

Решение. №4.284 (с. 259)
Алгебра, 9 класс Учебник, авторы: Арефьева Ирина Глебовна, Пирютко Ольга Николаевна, издательство Народная асвета, Минск, 2019, голубого цвета, страница 259, номер 4.284, Решение
Решение 2. №4.284 (с. 259)

Для нахождения суммы бесконечно убывающей геометрической прогрессии ($b_n$) со знаменателем $q$, модуль которого меньше единицы ($|q| < 1$), используется формула:

$$S = \frac{b_1}{1 - q}$$

где $S$ — это сумма прогрессии, $b_1$ — её первый член, а $q$ — её знаменатель.

Применим эту формулу для каждого из случаев.


а) Дано: $b_1 = 12$, $q = \frac{1}{4}$.

Так как $|q| = |\frac{1}{4}| < 1$, прогрессия является бесконечно убывающей. Вычисляем сумму:

$$S = \frac{12}{1 - \frac{1}{4}} = \frac{12}{\frac{4-1}{4}} = \frac{12}{\frac{3}{4}} = 12 \cdot \frac{4}{3} = \frac{48}{3} = 16$$

Ответ: 16


б) Дано: $b_1 = -25$, $q = -\frac{2}{5}$.

Так как $|q| = |-\frac{2}{5}| = \frac{2}{5} < 1$, прогрессия является бесконечно убывающей. Вычисляем сумму:

$$S = \frac{-25}{1 - (-\frac{2}{5})} = \frac{-25}{1 + \frac{2}{5}} = \frac{-25}{\frac{5+2}{5}} = \frac{-25}{\frac{7}{5}} = -25 \cdot \frac{5}{7} = -\frac{125}{7}$$

Преобразуем неправильную дробь в смешанное число: $-\frac{125}{7} = -17\frac{6}{7}$.

Ответ: -17$\frac{6}{7}$


в) Дано: $b_1 = 21$, $q = -\frac{1}{3}$.

Так как $|q| = |-\frac{1}{3}| = \frac{1}{3} < 1$, прогрессия является бесконечно убывающей. Вычисляем сумму:

$$S = \frac{21}{1 - (-\frac{1}{3})} = \frac{21}{1 + \frac{1}{3}} = \frac{21}{\frac{3+1}{3}} = \frac{21}{\frac{4}{3}} = 21 \cdot \frac{3}{4} = \frac{63}{4}$$

Преобразуем неправильную дробь в смешанное число: $\frac{63}{4} = 15\frac{3}{4}$.

Ответ: 15$\frac{3}{4}$


г) Дано: $b_1 = -0,1$, $q = 0,9$.

Так как $|q| = |0,9| < 1$, прогрессия является бесконечно убывающей. Вычисляем сумму:

$$S = \frac{-0,1}{1 - 0,9} = \frac{-0,1}{0,1} = -1$$

Ответ: -1

Помогло решение? Оставьте отзыв в комментариях ниже.

Присоединяйтесь к Телеграм-группе @gdz_by_belarus

Присоединиться

Мы подготовили для вас ответ c подробным объяснением домашего задания по алгебре за 9 класс, для упражнения номер 4.284 расположенного на странице 259 к учебнику 2019 года издания для учащихся школ и гимназий.

Теперь на нашем сайте ГДЗ.ТОП вы всегда легко и бесплатно найдёте условие с правильным ответом на вопрос «Как решить ДЗ» и «Как сделать» задание по алгебре к упражнению №4.284 (с. 259), авторов: Арефьева (Ирина Глебовна), Пирютко (Ольга Николаевна), учебного пособия издательства Народная асвета.