Номер 145, страница 278 - гдз по алгебре 9 класс учебник Арефьева, Пирютко

Алгебра, 9 класс Учебник, авторы: Арефьева Ирина Глебовна, Пирютко Ольга Николаевна, издательство Народная асвета, Минск, 2019, голубого цвета

Авторы: Арефьева И. Г., Пирютко О. Н.

Тип: Учебник

Издательство: Народная асвета

Год издания: 2019 - 2025

Цвет обложки: голубой, синий с графиком

ISBN: 978-985-03-3077-2

Допущено Министерством образования Республики Беларусь

Популярные ГДЗ в 9 классе

Итоговое повторение. Выражения и их преобразования - номер 145, страница 278.

№145 (с. 278)
Условие. №145 (с. 278)
скриншот условия
Алгебра, 9 класс Учебник, авторы: Арефьева Ирина Глебовна, Пирютко Ольга Николаевна, издательство Народная асвета, Минск, 2019, голубого цвета, страница 278, номер 145, Условие

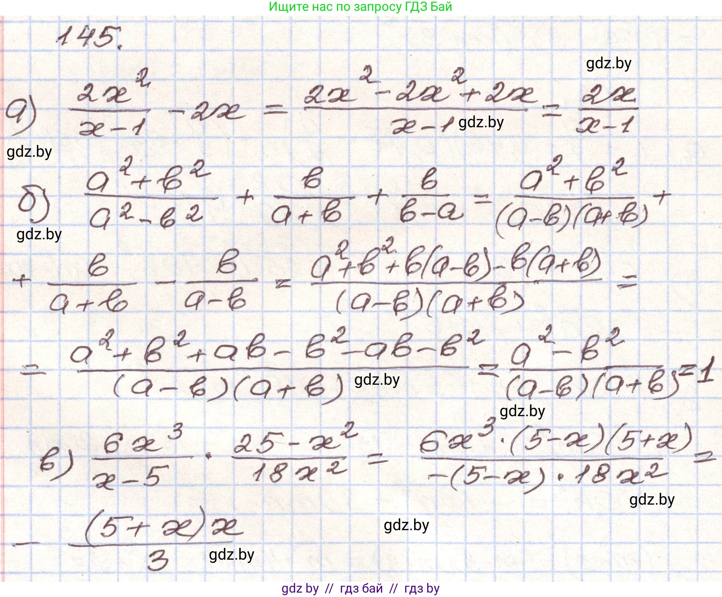
145. Выполните действия:

a) $\frac{2x^2}{x-1} - 2x;$

б) $\frac{a^2 + b^2}{a^2 - b^2} + \frac{b}{a+b} + \frac{b}{b-a};$

в) $\frac{6x^3}{x-5} \cdot \frac{25-x^2}{18x^2}.$

Решение. №145 (с. 278)
Алгебра, 9 класс Учебник, авторы: Арефьева Ирина Глебовна, Пирютко Ольга Николаевна, издательство Народная асвета, Минск, 2019, голубого цвета, страница 278, номер 145, Решение
Решение 2. №145 (с. 278)

а) $\frac{2x^2}{x-1} - 2x$

Чтобы выполнить вычитание, приведем выражение $2x$ к общему знаменателю $(x-1)$.

$\frac{2x^2}{x-1} - 2x = \frac{2x^2}{x-1} - \frac{2x(x-1)}{x-1}$

Объединим дроби под общим знаменателем и раскроем скобки в числителе:

$\frac{2x^2 - 2x(x-1)}{x-1} = \frac{2x^2 - (2x^2 - 2x)}{x-1} = \frac{2x^2 - 2x^2 + 2x}{x-1}$

После упрощения числителя получаем:

$\frac{2x}{x-1}$

Так как степень числителя равна степени знаменателя, данная дробь является неправильной. Выделим из нее целую часть путем преобразования числителя:

$\frac{2x}{x-1} = \frac{2x - 2 + 2}{x-1} = \frac{2(x-1) + 2}{x-1} = \frac{2(x-1)}{x-1} + \frac{2}{x-1} = 2 + \frac{2}{x-1}$

Это можно записать в виде смешанной дроби $2\frac{2}{x-1}$.

Ответ: 2$\frac{2}{x-1}$


б) $\frac{a^2 + b^2}{a^2 - b^2} + \frac{b}{a+b} + \frac{b}{b-a}$

Разложим знаменатель первой дроби по формуле разности квадратов: $a^2 - b^2 = (a-b)(a+b)$. Также заметим, что в знаменателе третьей дроби $b-a = -(a-b)$, что позволяет изменить знак перед дробью.

$\frac{a^2 + b^2}{(a-b)(a+b)} + \frac{b}{a+b} - \frac{b}{a-b}$

Приведем все дроби к общему знаменателю $(a-b)(a+b)$.

$\frac{a^2 + b^2}{(a-b)(a+b)} + \frac{b(a-b)}{(a+b)(a-b)} - \frac{b(a+b)}{(a-b)(a+b)}$

Выполним сложение и вычитание числителей:

$\frac{(a^2 + b^2) + (ab - b^2) - (ab + b^2)}{(a-b)(a+b)} = \frac{a^2 + b^2 + ab - b^2 - ab - b^2}{(a-b)(a+b)}$

Упростим числитель, сократив подобные слагаемые:

$\frac{a^2 - b^2}{a^2 - b^2} = 1$

Ответ: 1


в) $\frac{6x^3}{x-5} \cdot \frac{25-x^2}{18x^2}$

Для выполнения умножения разложим числитель второй дроби на множители по формуле разности квадратов: $25 - x^2 = (5-x)(5+x)$. Вынесем минус за скобки: $(5-x) = -(x-5)$.

$\frac{6x^3}{x-5} \cdot \frac{-(x-5)(x+5)}{18x^2}$

Запишем все под одной дробной чертой и сократим общие множители:

$\frac{6x^3 \cdot (-(x-5)(x+5))}{(x-5) \cdot 18x^2}$

Сокращаем $(x-5)$, $x^2$ и числовые коэффициенты 6 и 18:

$\frac{\cancel{6}x^{\cancel{3}1} \cdot (-\cancel{(x-5)}(x+5))}{\cancel{(x-5)} \cdot \cancel{18}_3 \cancel{x^2}} = \frac{x \cdot (-(x+5))}{3}$

Упростим и получим конечный результат:

$-\frac{x(x+5)}{3}$

Ответ: $-\frac{x(x+5)}{3}$

Помогло решение? Оставьте отзыв в комментариях ниже.

Присоединяйтесь к Телеграм-группе @gdz_by_belarus

Присоединиться

Мы подготовили для вас ответ c подробным объяснением домашего задания по алгебре за 9 класс, для упражнения номер 145 расположенного на странице 278 к учебнику 2019 года издания для учащихся школ и гимназий.

Теперь на нашем сайте ГДЗ.ТОП вы всегда легко и бесплатно найдёте условие с правильным ответом на вопрос «Как решить ДЗ» и «Как сделать» задание по алгебре к упражнению №145 (с. 278), авторов: Арефьева (Ирина Глебовна), Пирютко (Ольга Николаевна), учебного пособия издательства Народная асвета.