Номер 148, страница 278 - гдз по алгебре 9 класс учебник Арефьева, Пирютко

Алгебра, 9 класс Учебник, авторы: Арефьева Ирина Глебовна, Пирютко Ольга Николаевна, издательство Народная асвета, Минск, 2019, голубого цвета

Авторы: Арефьева И. Г., Пирютко О. Н.

Тип: Учебник

Издательство: Народная асвета

Год издания: 2019 - 2025

Цвет обложки: голубой, синий с графиком

ISBN: 978-985-03-3077-2

Допущено Министерством образования Республики Беларусь

Популярные ГДЗ в 9 классе

Итоговое повторение. Выражения и их преобразования - номер 148, страница 278.

№148 (с. 278)
Условие. №148 (с. 278)
скриншот условия
Алгебра, 9 класс Учебник, авторы: Арефьева Ирина Глебовна, Пирютко Ольга Николаевна, издательство Народная асвета, Минск, 2019, голубого цвета, страница 278, номер 148, Условие

148. Выполните действия:

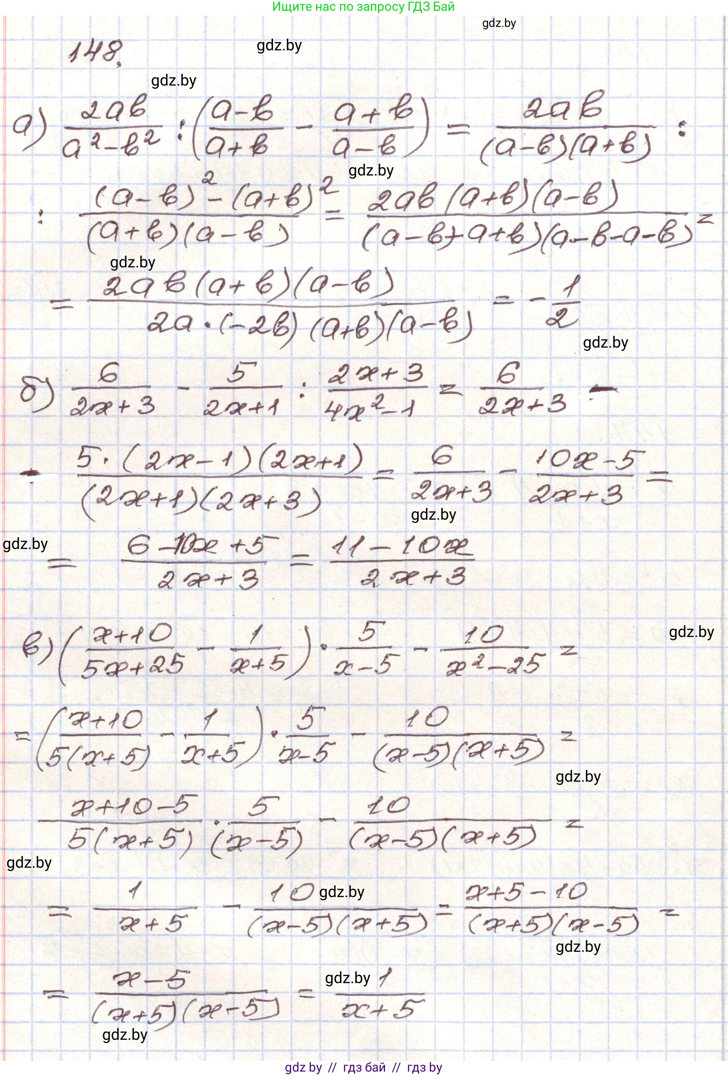
a) $\frac{2ab}{a^2 - b^2} : \left( \frac{a - b}{a + b} - \frac{a + b}{a - b} \right);$

б) $\frac{6}{2x + 3} - \frac{5}{2x + 1} : \frac{2x + 3}{4x^2 - 1};$

В) $\left( \frac{x + 10}{5x + 25} - \frac{1}{x + 5} \right) \cdot \frac{5}{x - 5} - \frac{10}{x^2 - 25};$

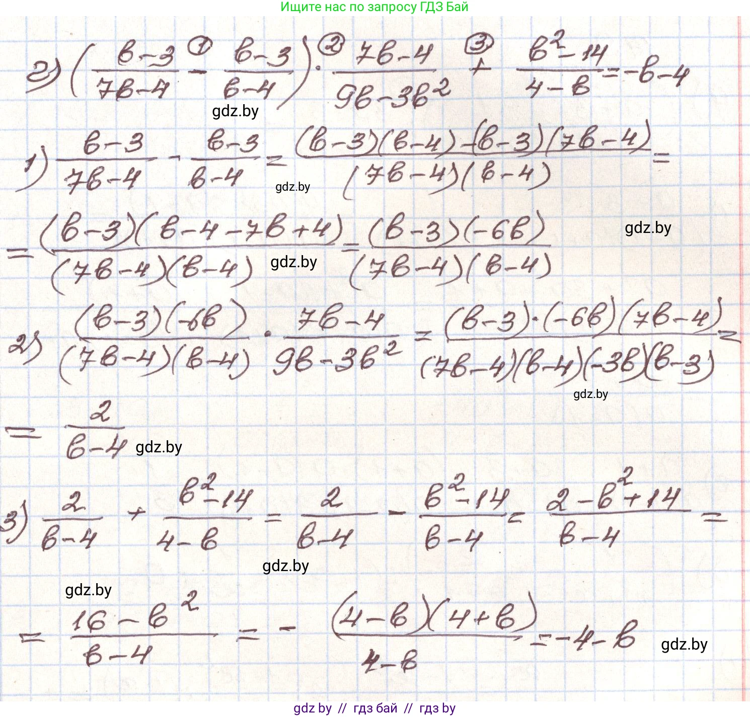
Г) $\left( \frac{b - 3}{7b - 4} - \frac{b - 3}{b - 4} \right) \cdot \frac{7b - 4}{9b - 3b^2} + \frac{b^2 - 14}{4 - b}.$

Решение. №148 (с. 278)
Алгебра, 9 класс Учебник, авторы: Арефьева Ирина Глебовна, Пирютко Ольга Николаевна, издательство Народная асвета, Минск, 2019, голубого цвета, страница 278, номер 148, Решение Алгебра, 9 класс Учебник, авторы: Арефьева Ирина Глебовна, Пирютко Ольга Николаевна, издательство Народная асвета, Минск, 2019, голубого цвета, страница 278, номер 148, Решение (продолжение 2)
Решение 2. №148 (с. 278)

а) Первым шагом выполним действие в скобках. Для этого приведем дроби к общему знаменателю, который равен $(a+b)(a-b)$.

$\frac{a-b}{a+b} - \frac{a+b}{a-b} = \frac{(a-b)(a-b)}{(a+b)(a-b)} - \frac{(a+b)(a+b)}{(a+b)(a-b)} = \frac{(a-b)^2 - (a+b)^2}{(a+b)(a-b)}$

Используем формулы сокращенного умножения (квадрат разности и квадрат суммы) и упростим числитель:

$\frac{(a^2 - 2ab + b^2) - (a^2 + 2ab + b^2)}{(a+b)(a-b)} = \frac{a^2 - 2ab + b^2 - a^2 - 2ab - b^2}{(a+b)(a-b)} = \frac{-4ab}{a^2 - b^2}$

Теперь выполним деление:

$\frac{2ab}{a^2 - b^2} : (\frac{-4ab}{a^2 - b^2}) = \frac{2ab}{a^2 - b^2} \cdot \frac{a^2 - b^2}{-4ab}$

Сокращаем дробь:

$\frac{2ab}{-4ab} = -\frac{1}{2}$

Ответ: $-\frac{1}{2}$

б) В соответствии с порядком действий, сначала выполним деление. Разложим знаменатель $4x^2 - 1$ на множители по формуле разности квадратов: $4x^2 - 1 = (2x-1)(2x+1)$.

$\frac{5}{2x+1} : \frac{2x+3}{4x^2 - 1} = \frac{5}{2x+1} \cdot \frac{(2x-1)(2x+1)}{2x+3}$

Сократим общий множитель $(2x+1)$:

$\frac{5(2x-1)}{2x+3} = \frac{10x-5}{2x+3}$

Теперь выполним вычитание:

$\frac{6}{2x+3} - \frac{10x-5}{2x+3} = \frac{6 - (10x-5)}{2x+3} = \frac{6 - 10x + 5}{2x+3} = \frac{11 - 10x}{2x+3}$

Так как степень многочлена в числителе равна степени многочлена в знаменателе, данная дробь является неправильной. Выделим целую часть:

$\frac{11 - 10x}{2x+3} = \frac{-10x + 11}{2x+3} = \frac{-5(2x+3) + 15 + 11}{2x+3} = \frac{-5(2x+3) + 26}{2x+3} = -5 + \frac{26}{2x+3}$

Ответ: -5$ + \frac{26}{2x+3}$

в) Сначала упростим выражение в скобках. В знаменателе первой дроби вынесем общий множитель за скобки: $5x+25 = 5(x+5)$.

$\frac{x+10}{5x+25} - \frac{1}{x+5} = \frac{x+10}{5(x+5)} - \frac{1 \cdot 5}{5(x+5)} = \frac{x+10-5}{5(x+5)} = \frac{x+5}{5(x+5)} = \frac{1}{5}$

Теперь выполним умножение:

$\frac{1}{5} \cdot \frac{5}{x-5} = \frac{1}{x-5}$

И, наконец, вычитание. Используем формулу разности квадратов для знаменателя $x^2-25=(x-5)(x+5)$.

$\frac{1}{x-5} - \frac{10}{x^2-25} = \frac{1(x+5)}{(x-5)(x+5)} - \frac{10}{(x-5)(x+5)} = \frac{x+5-10}{(x-5)(x+5)} = \frac{x-5}{(x-5)(x+5)}$

Сократим дробь на $(x-5)$:

$\frac{1}{x+5}$

Ответ: $\frac{1}{x+5}$

г) Сначала выполним действие в скобках. Для удобства вынесем общий множитель $(b-3)$ за скобки.

$(\frac{b-3}{7b-4} - \frac{b-3}{b-4}) = (b-3)(\frac{1}{7b-4} - \frac{1}{b-4})$

Приведем дроби к общему знаменателю $(7b-4)(b-4)$:

$(b-3) \frac{b-4 - (7b-4)}{(7b-4)(b-4)} = (b-3) \frac{b-4-7b+4}{(7b-4)(b-4)} = (b-3) \frac{-6b}{(7b-4)(b-4)}$

Далее выполним умножение. Разложим знаменатель $9b-3b^2$ на множители: $9b-3b^2 = 3b(3-b) = -3b(b-3)$.

$\frac{(b-3)(-6b)}{(7b-4)(b-4)} \cdot \frac{7b-4}{-3b(b-3)}$

Сократим общие множители $(b-3)$, $(7b-4)$ и $b$:

$\frac{-6}{(b-4)(-3)} = \frac{2}{b-4}$

Теперь выполним сложение, учитывая, что $4-b = -(b-4)$:

$\frac{2}{b-4} + \frac{b^2-14}{4-b} = \frac{2}{b-4} - \frac{b^2-14}{b-4} = \frac{2-(b^2-14)}{b-4} = \frac{2-b^2+14}{b-4} = \frac{16-b^2}{b-4}$

Разложим числитель по формуле разности квадратов $16-b^2=(4-b)(4+b)$:

$\frac{(4-b)(4+b)}{b-4} = \frac{-(b-4)(4+b)}{b-4} = -(4+b) = -4-b$

Ответ: $-b-4$

Помогло решение? Оставьте отзыв в комментариях ниже.

Присоединяйтесь к Телеграм-группе @gdz_by_belarus

Присоединиться

Мы подготовили для вас ответ c подробным объяснением домашего задания по алгебре за 9 класс, для упражнения номер 148 расположенного на странице 278 к учебнику 2019 года издания для учащихся школ и гимназий.

Теперь на нашем сайте ГДЗ.ТОП вы всегда легко и бесплатно найдёте условие с правильным ответом на вопрос «Как решить ДЗ» и «Как сделать» задание по алгебре к упражнению №148 (с. 278), авторов: Арефьева (Ирина Глебовна), Пирютко (Ольга Николаевна), учебного пособия издательства Народная асвета.