Номер 150, страница 279 - гдз по алгебре 9 класс учебник Арефьева, Пирютко

Алгебра, 9 класс Учебник, авторы: Арефьева Ирина Глебовна, Пирютко Ольга Николаевна, издательство Народная асвета, Минск, 2019, голубого цвета

Авторы: Арефьева И. Г., Пирютко О. Н.

Тип: Учебник

Издательство: Народная асвета

Год издания: 2019 - 2025

Цвет обложки: голубой, синий с графиком

ISBN: 978-985-03-3077-2

Допущено Министерством образования Республики Беларусь

Популярные ГДЗ в 9 классе

Итоговое повторение. Выражения и их преобразования - номер 150, страница 279.

№150 (с. 279)
Условие. №150 (с. 279)
скриншот условия
Алгебра, 9 класс Учебник, авторы: Арефьева Ирина Глебовна, Пирютко Ольга Николаевна, издательство Народная асвета, Минск, 2019, голубого цвета, страница 279, номер 150, Условие

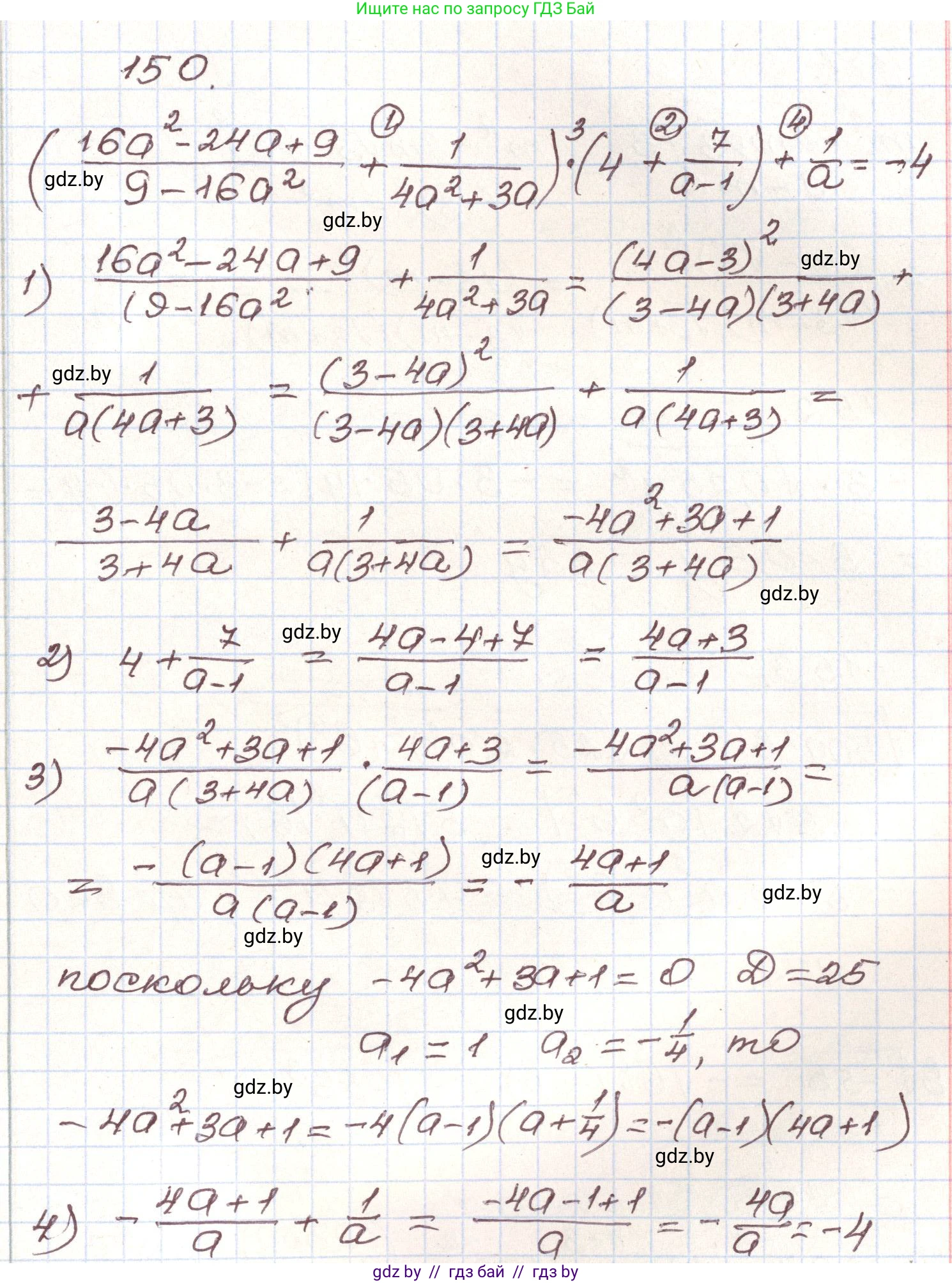
150. Упростите выражение

$(\frac{16a^2 - 24a + 9}{9 - 16a^2} + \frac{1}{4a^2 + 3a}) \cdot (4 + \frac{7}{a - 1}) + \frac{1}{a}$

Решение. №150 (с. 279)
Алгебра, 9 класс Учебник, авторы: Арефьева Ирина Глебовна, Пирютко Ольга Николаевна, издательство Народная асвета, Минск, 2019, голубого цвета, страница 279, номер 150, Решение
Решение 2. №150 (с. 279)

Для упрощения данного выражения выполним его по действиям.

1. Преобразуем выражение в первых скобках: $ \left( \frac{16a^2 - 24a + 9}{9 - 16a^2} + \frac{1}{4a^2 + 3a} \right) $

Сначала упростим первую дробь, используя формулы сокращенного умножения (квадрат разности и разность квадратов). Заметим, что $ (4a-3)^2 = (3-4a)^2 $.

$$ \frac{16a^2 - 24a + 9}{9 - 16a^2} = \frac{(4a - 3)^2}{(3 - 4a)(3 + 4a)} = \frac{(3 - 4a)^2}{(3 - 4a)(3 + 4a)} = \frac{3 - 4a}{3 + 4a} $$

Далее, упростим вторую дробь, вынеся общий множитель $a$ в знаменателе:

$$ \frac{1}{4a^2 + 3a} = \frac{1}{a(4a + 3)} $$

Теперь сложим полученные дроби, приведя их к общему знаменателю $ a(4a + 3) $:

$$ \frac{3 - 4a}{4a + 3} + \frac{1}{a(4a + 3)} = \frac{a(3 - 4a) + 1}{a(4a + 3)} = \frac{3a - 4a^2 + 1}{a(4a + 3)} $$

Разложим числитель $ -4a^2 + 3a + 1 $ на множители. Для этого найдем корни уравнения $ -4a^2 + 3a + 1 = 0 $, которые равны $a_1=1$ и $a_2=-1/4$. Тогда числитель можно представить в виде $ -4(a-1)(a+1/4) = -(a-1)(4a+1) $.
Таким образом, выражение в первых скобках равно:

$$ \frac{-(a-1)(4a+1)}{a(4a+3)} $$

2. Преобразуем выражение во вторых скобках: $ \left( 4 + \frac{7}{a - 1} \right) $

Приведем к общему знаменателю $ (a - 1) $:

$$ 4 + \frac{7}{a - 1} = \frac{4(a - 1)}{a - 1} + \frac{7}{a - 1} = \frac{4a - 4 + 7}{a - 1} = \frac{4a + 3}{a - 1} $$

3. Выполним умножение и сложение:

Подставим полученные упрощенные выражения в исходное:

$$ \left(\frac{-(a-1)(4a+1)}{a(4a+3)}\right) \cdot \left(\frac{4a + 3}{a - 1}\right) + \frac{1}{a} $$

Сначала выполним умножение. Сокращаем общие множители $ (a-1) $ и $ (4a+3) $:

$$ \frac{-(4a+1)}{a} + \frac{1}{a} $$

Теперь выполним сложение дробей с одинаковым знаменателем:

$$ \frac{-4a - 1 + 1}{a} = \frac{-4a}{a} = -4 $$

Ответ: -4

Помогло решение? Оставьте отзыв в комментариях ниже.

Присоединяйтесь к Телеграм-группе @gdz_by_belarus

Присоединиться

Мы подготовили для вас ответ c подробным объяснением домашего задания по алгебре за 9 класс, для упражнения номер 150 расположенного на странице 279 к учебнику 2019 года издания для учащихся школ и гимназий.

Теперь на нашем сайте ГДЗ.ТОП вы всегда легко и бесплатно найдёте условие с правильным ответом на вопрос «Как решить ДЗ» и «Как сделать» задание по алгебре к упражнению №150 (с. 279), авторов: Арефьева (Ирина Глебовна), Пирютко (Ольга Николаевна), учебного пособия издательства Народная асвета.