Номер 235, страница 290 - гдз по алгебре 9 класс учебник Арефьева, Пирютко

Алгебра, 9 класс Учебник, авторы: Арефьева Ирина Глебовна, Пирютко Ольга Николаевна, издательство Народная асвета, Минск, 2019, голубого цвета

Авторы: Арефьева И. Г., Пирютко О. Н.

Тип: Учебник

Издательство: Народная асвета

Год издания: 2019 - 2025

Цвет обложки: голубой, синий с графиком

ISBN: 978-985-03-3077-2

Допущено Министерством образования Республики Беларусь

Популярные ГДЗ в 9 классе

Итоговое повторение. Функции и их свойства - номер 235, страница 290.

№235 (с. 290)
Условие. №235 (с. 290)
скриншот условия
Алгебра, 9 класс Учебник, авторы: Арефьева Ирина Глебовна, Пирютко Ольга Николаевна, издательство Народная асвета, Минск, 2019, голубого цвета, страница 290, номер 235, Условие

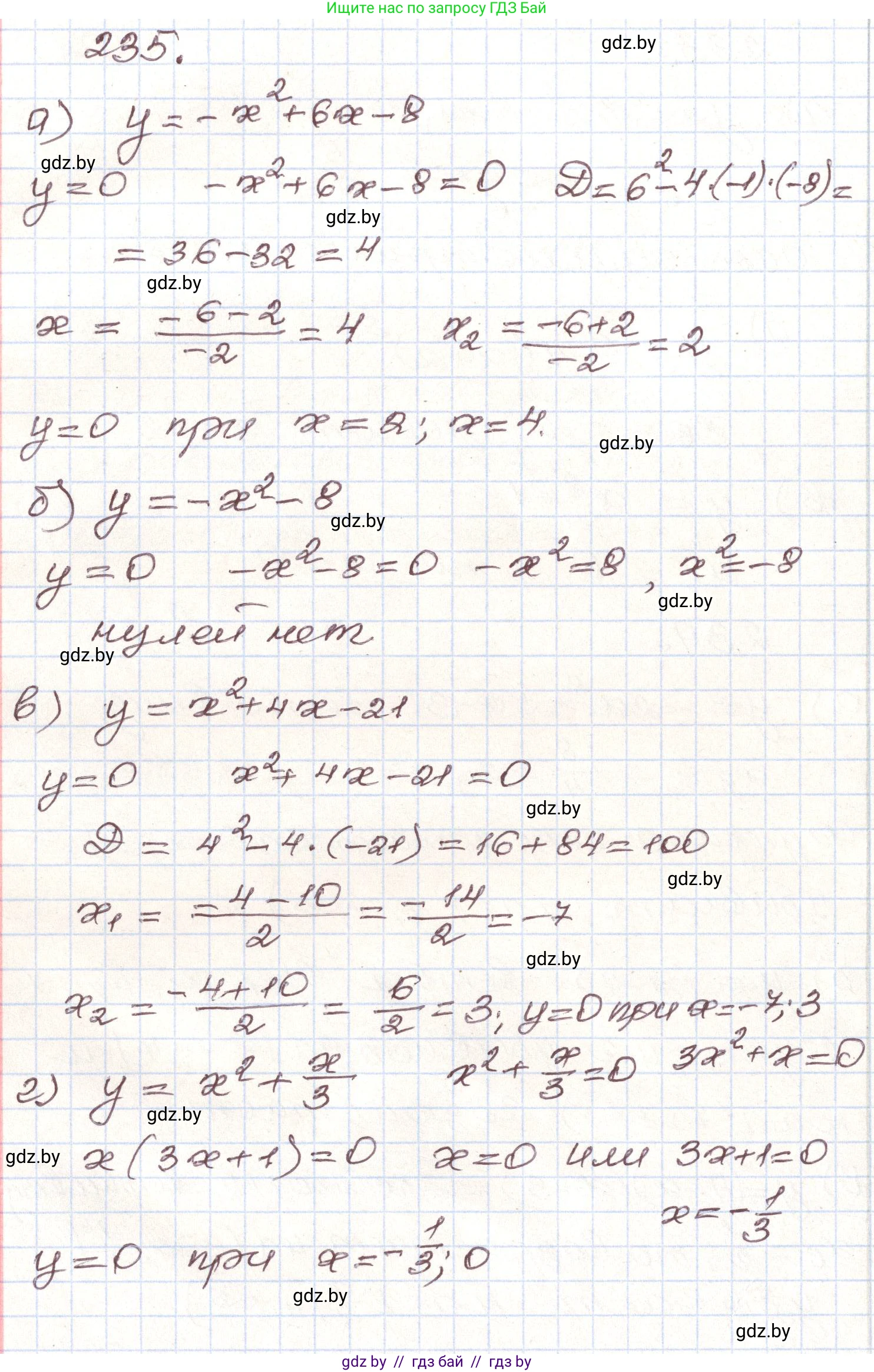
235. Найдите нули функции, если они есть:

а) $y = -x^2 + 6x - 8;$

б) $y = -x^2 - 8;$

в) $y = x^2 + 4x - 21;$

г) $y = x^2 + \frac{x}{3}.$

Решение. №235 (с. 290)
Алгебра, 9 класс Учебник, авторы: Арефьева Ирина Глебовна, Пирютко Ольга Николаевна, издательство Народная асвета, Минск, 2019, голубого цвета, страница 290, номер 235, Решение
Решение 2. №235 (с. 290)

а) Чтобы найти нули функции, необходимо приравнять ее значение к нулю. Нули функции – это значения аргумента $x$, при которых значение функции $y$ равно 0.

$y = -x^2 + 6x - 8$

Приравниваем $y$ к нулю: $-x^2 + 6x - 8 = 0$

Для удобства решения умножим все члены уравнения на -1: $x^2 - 6x + 8 = 0$

Это квадратное уравнение вида $ax^2 + bx + c = 0$, где $a=1, b=-6, c=8$. Найдем дискриминант по формуле $D = b^2 - 4ac$: $D = (-6)^2 - 4 \cdot 1 \cdot 8 = 36 - 32 = 4$

Так как $D > 0$, уравнение имеет два действительных корня. Найдем их по формуле $x = \frac{-b \pm \sqrt{D}}{2a}$: $x_1 = \frac{-(-6) + \sqrt{4}}{2 \cdot 1} = \frac{6 + 2}{2} = \frac{8}{2} = 4$ $x_2 = \frac{-(-6) - \sqrt{4}}{2 \cdot 1} = \frac{6 - 2}{2} = \frac{4}{2} = 2$

Ответ: 2; 4.


б) $y = -x^2 - 8$

Приравниваем $y$ к нулю: $-x^2 - 8 = 0$

Перенесем -8 в правую часть: $-x^2 = 8$ $x^2 = -8$

Квадрат любого действительного числа не может быть отрицательным. Следовательно, данное уравнение не имеет действительных корней, и у функции нет нулей.

Также можно было найти дискриминант для уравнения $-x^2 + 0x - 8 = 0$: $D = 0^2 - 4 \cdot (-1) \cdot (-8) = 0 - 32 = -32$ Так как $D < 0$, действительных корней нет.

Ответ: нулей нет.


в) $y = x^2 + 4x - 21$

Приравниваем $y$ к нулю: $x^2 + 4x - 21 = 0$

Это квадратное уравнение вида $ax^2 + bx + c = 0$, где $a=1, b=4, c=-21$. Найдем дискриминант по формуле $D = b^2 - 4ac$: $D = 4^2 - 4 \cdot 1 \cdot (-21) = 16 + 84 = 100$

Так как $D > 0$, уравнение имеет два действительных корня. Найдем их по формуле $x = \frac{-b \pm \sqrt{D}}{2a}$: $x_1 = \frac{-4 + \sqrt{100}}{2 \cdot 1} = \frac{-4 + 10}{2} = \frac{6}{2} = 3$ $x_2 = \frac{-4 - \sqrt{100}}{2 \cdot 1} = \frac{-4 - 10}{2} = \frac{-14}{2} = -7$

Ответ: -7; 3.


г) $y = x^2 + \frac{x}{3}$

Приравниваем $y$ к нулю: $x^2 + \frac{x}{3} = 0$

Это неполное квадратное уравнение. Решим его, вынеся общий множитель $x$ за скобки: $x(x + \frac{1}{3}) = 0$

Произведение равно нулю тогда и только тогда, когда хотя бы один из множителей равен нулю. Следовательно, либо $x_1 = 0$, либо $x + \frac{1}{3} = 0$.

Из второго уравнения находим второй корень: $x_2 = -\frac{1}{3}$

Ответ: $-\frac{1}{3}$; 0.

Помогло решение? Оставьте отзыв в комментариях ниже.

Присоединяйтесь к Телеграм-группе @gdz_by_belarus

Присоединиться

Мы подготовили для вас ответ c подробным объяснением домашего задания по алгебре за 9 класс, для упражнения номер 235 расположенного на странице 290 к учебнику 2019 года издания для учащихся школ и гимназий.

Теперь на нашем сайте ГДЗ.ТОП вы всегда легко и бесплатно найдёте условие с правильным ответом на вопрос «Как решить ДЗ» и «Как сделать» задание по алгебре к упражнению №235 (с. 290), авторов: Арефьева (Ирина Глебовна), Пирютко (Ольга Николаевна), учебного пособия издательства Народная асвета.