Номер 28, страница 268 - гдз по алгебре 9 класс учебник Арефьева, Пирютко

Алгебра, 9 класс Учебник, авторы: Арефьева Ирина Глебовна, Пирютко Ольга Николаевна, издательство Народная асвета, Минск, 2019, голубого цвета

Авторы: Арефьева И. Г., Пирютко О. Н.

Тип: Учебник

Издательство: Народная асвета

Год издания: 2019 - 2025

Цвет обложки: голубой, синий с графиком

ISBN: 978-985-03-3077-2

Допущено Министерством образования Республики Беларусь

Популярные ГДЗ в 9 классе

Итоговое повторение. Числа и вычисления - номер 28, страница 268.

№28 (с. 268)
Условие. №28 (с. 268)
скриншот условия
Алгебра, 9 класс Учебник, авторы: Арефьева Ирина Глебовна, Пирютко Ольга Николаевна, издательство Народная асвета, Минск, 2019, голубого цвета, страница 268, номер 28, Условие

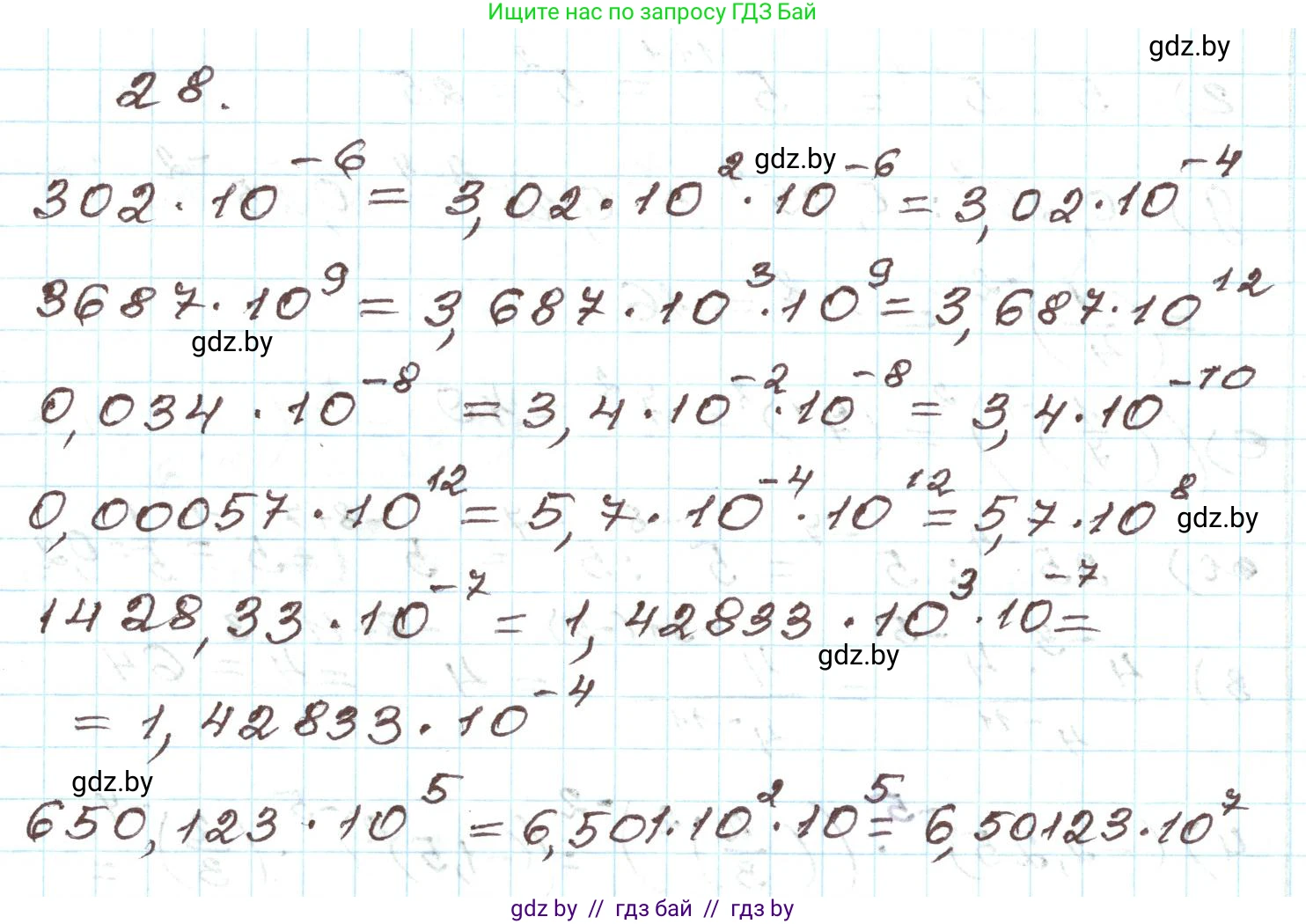
28. Представьте в стандартном виде числа: $302 \cdot 10^{-6}$; $3687 \cdot 10^{9}$; $0,034 \cdot 10^{-8}$; $0,00057 \cdot 10^{12}$; $1428,33 \cdot 10^{-7}$; $650,123 \cdot 10^{5}$.

Решение. №28 (с. 268)
Алгебра, 9 класс Учебник, авторы: Арефьева Ирина Глебовна, Пирютко Ольга Николаевна, издательство Народная асвета, Минск, 2019, голубого цвета, страница 268, номер 28, Решение
Решение 2. №28 (с. 268)

Стандартный вид числа — это его запись в виде $a \cdot 10^n$, где $1 \le a < 10$, а $n$ — целое число. Чтобы привести число к стандартному виду, необходимо преобразовать первый множитель (мантиссу) так, чтобы он попал в указанный диапазон, и соответственно изменить показатель степени.

$302 \cdot 10^{-6}$
Чтобы мантисса 302 стала числом от 1 до 10, нужно перенести запятую на 2 знака влево. Это равносильно умножению на $10^2$.
$302 = 3,02 \cdot 10^2$
Подставляем в исходное выражение:
$(3,02 \cdot 10^2) \cdot 10^{-6} = 3,02 \cdot 10^{2 + (-6)} = 3,02 \cdot 10^{-4}$.
Ответ: $3,02 \cdot 10^{-4}$.

$3687 \cdot 10^9$
Чтобы мантисса 3687 стала числом от 1 до 10, нужно перенести запятую на 3 знака влево. Это равносильно умножению на $10^3$.
$3687 = 3,687 \cdot 10^3$
Подставляем в исходное выражение:
$(3,687 \cdot 10^3) \cdot 10^9 = 3,687 \cdot 10^{3+9} = 3,687 \cdot 10^{12}$.
Ответ: $3,687 \cdot 10^{12}$.

$0,034 \cdot 10^{-8}$
Чтобы мантисса 0,034 стала числом от 1 до 10, нужно перенести запятую на 2 знака вправо. Это равносильно умножению на $10^{-2}$.
$0,034 = 3,4 \cdot 10^{-2}$
Подставляем в исходное выражение:
$(3,4 \cdot 10^{-2}) \cdot 10^{-8} = 3,4 \cdot 10^{-2 + (-8)} = 3,4 \cdot 10^{-10}$.
Ответ: $3,4 \cdot 10^{-10}$.

$0,00057 \cdot 10^{12}$
Чтобы мантисса 0,00057 стала числом от 1 до 10, нужно перенести запятую на 4 знака вправо. Это равносильно умножению на $10^{-4}$.
$0,00057 = 5,7 \cdot 10^{-4}$
Подставляем в исходное выражение:
$(5,7 \cdot 10^{-4}) \cdot 10^{12} = 5,7 \cdot 10^{-4+12} = 5,7 \cdot 10^{8}$.
Ответ: $5,7 \cdot 10^{8}$.

$1428,33 \cdot 10^{-7}$
Чтобы мантисса 1428,33 стала числом от 1 до 10, нужно перенести запятую на 3 знака влево. Это равносильно умножению на $10^3$.
$1428,33 = 1,42833 \cdot 10^3$
Подставляем в исходное выражение:
$(1,42833 \cdot 10^3) \cdot 10^{-7} = 1,42833 \cdot 10^{3 + (-7)} = 1,42833 \cdot 10^{-4}$.
Ответ: $1,42833 \cdot 10^{-4}$.

$650,123 \cdot 10^5$
Чтобы мантисса 650,123 стала числом от 1 до 10, нужно перенести запятую на 2 знака влево. Это равносильно умножению на $10^2$.
$650,123 = 6,50123 \cdot 10^2$
Подставляем в исходное выражение:
$(6,50123 \cdot 10^2) \cdot 10^5 = 6,50123 \cdot 10^{2+5} = 6,50123 \cdot 10^7$.
Ответ: $6,50123 \cdot 10^7$.

Помогло решение? Оставьте отзыв в комментариях ниже.

Присоединяйтесь к Телеграм-группе @gdz_by_belarus

Присоединиться

Мы подготовили для вас ответ c подробным объяснением домашего задания по алгебре за 9 класс, для упражнения номер 28 расположенного на странице 268 к учебнику 2019 года издания для учащихся школ и гимназий.

Теперь на нашем сайте ГДЗ.ТОП вы всегда легко и бесплатно найдёте условие с правильным ответом на вопрос «Как решить ДЗ» и «Как сделать» задание по алгебре к упражнению №28 (с. 268), авторов: Арефьева (Ирина Глебовна), Пирютко (Ольга Николаевна), учебного пособия издательства Народная асвета.