Номер 321, страница 301 - гдз по алгебре 9 класс учебник Арефьева, Пирютко

Алгебра, 9 класс Учебник, авторы: Арефьева Ирина Глебовна, Пирютко Ольга Николаевна, издательство Народная асвета, Минск, 2019, голубого цвета

Авторы: Арефьева И. Г., Пирютко О. Н.

Тип: Учебник

Издательство: Народная асвета

Год издания: 2019 - 2025

Цвет обложки: голубой, синий с графиком

ISBN: 978-985-03-3077-2

Допущено Министерством образования Республики Беларусь

Популярные ГДЗ в 9 классе

Итоговое повторение. Текстовые задачи - номер 321, страница 301.

№321 (с. 301)
Условие. №321 (с. 301)
скриншот условия
Алгебра, 9 класс Учебник, авторы: Арефьева Ирина Глебовна, Пирютко Ольга Николаевна, издательство Народная асвета, Минск, 2019, голубого цвета, страница 301, номер 321, Условие

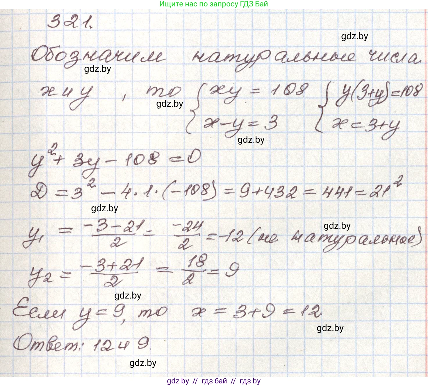
321. Произведение двух натуральных чисел равно 108, а их разность равна 3. Найдите эти числа.

Решение. №321 (с. 301)
Алгебра, 9 класс Учебник, авторы: Арефьева Ирина Глебовна, Пирютко Ольга Николаевна, издательство Народная асвета, Минск, 2019, голубого цвета, страница 301, номер 321, Решение
Решение 2. №321 (с. 301)

Пусть искомые натуральные числа — это $x$ и $y$. Согласно условию задачи, их произведение равно 108, а разность равна 3. Составим систему уравнений, ধরেм, что $x$ — большее число:

$$ \begin{cases} x \cdot y = 108 \\ x - y = 3 \end{cases} $$

Выразим $x$ из второго уравнения:

$$ x = y + 3 $$

Подставим это выражение для $x$ в первое уравнение системы:

$$ (y + 3) \cdot y = 108 $$

Раскроем скобки и приведем уравнение к стандартному квадратному виду $ay^2 + by + c = 0$:

$$ y^2 + 3y = 108 $$ $$ y^2 + 3y - 108 = 0 $$

Решим полученное квадратное уравнение с помощью дискриминанта. Дискриминант $D$ вычисляется по формуле $D = b^2 - 4ac$:

$$ D = 3^2 - 4 \cdot 1 \cdot (-108) = 9 + 432 = 441 $$

Теперь найдем корни уравнения по формуле $y = \frac{-b \pm \sqrt{D}}{2a}$:

$$ y_1 = \frac{-3 + \sqrt{441}}{2 \cdot 1} = \frac{-3 + 21}{2} = \frac{18}{2} = 9 $$ $$ y_2 = \frac{-3 - \sqrt{441}}{2 \cdot 1} = \frac{-3 - 21}{2} = \frac{-24}{2} = -12 $$

Поскольку в условии задачи говорится о натуральных числах (положительных целых числах), корень $y_2 = -12$ не подходит. Следовательно, одно из чисел равно 9.

Теперь найдем второе число $x$:

$$ x = y + 3 = 9 + 3 = 12 $$

Проверим найденные значения:

  • Произведение: $12 \cdot 9 = 108$ (верно).
  • Разность: $12 - 9 = 3$ (верно).

Искомые числа — 9 и 12.

Ответ: 9 и 12.

Помогло решение? Оставьте отзыв в комментариях ниже.

Присоединяйтесь к Телеграм-группе @gdz_by_belarus

Присоединиться

Мы подготовили для вас ответ c подробным объяснением домашего задания по алгебре за 9 класс, для упражнения номер 321 расположенного на странице 301 к учебнику 2019 года издания для учащихся школ и гимназий.

Теперь на нашем сайте ГДЗ.ТОП вы всегда легко и бесплатно найдёте условие с правильным ответом на вопрос «Как решить ДЗ» и «Как сделать» задание по алгебре к упражнению №321 (с. 301), авторов: Арефьева (Ирина Глебовна), Пирютко (Ольга Николаевна), учебного пособия издательства Народная асвета.