Номер 123, страница 34 - гдз по физике 9 класс сборник задач Исаченкова, Дорофейчик

Физика, 9 класс Сборник задач, авторы: Исаченкова Лариса Артёмовна, Дорофейчик Владимир Владимирович, Захаревич Екатерина Васильевна, Пальчик Геннадий Владимирович, издательство Аверсэв, Минск, 2021

Авторы: Исаченкова Л. А., Дорофейчик В. В., Захаревич Е. В., Пальчик Г. В.

Тип: Сборник задач

Издательство: Аверсэв

Год издания: 2021 - 2025

ISBN: 978-985-19-7596-5

Рекомендовано Научно-методическим учреждением «Национальный институт образования» Министерства образования Республики Беларусь

Популярные ГДЗ в 9 классе

Раздел 1. Основы кинематики. 5. Неравномерное движение. Средняя скорость - номер 123, страница 34.

№123 (с. 34)
Решение. №123 (с. 34)

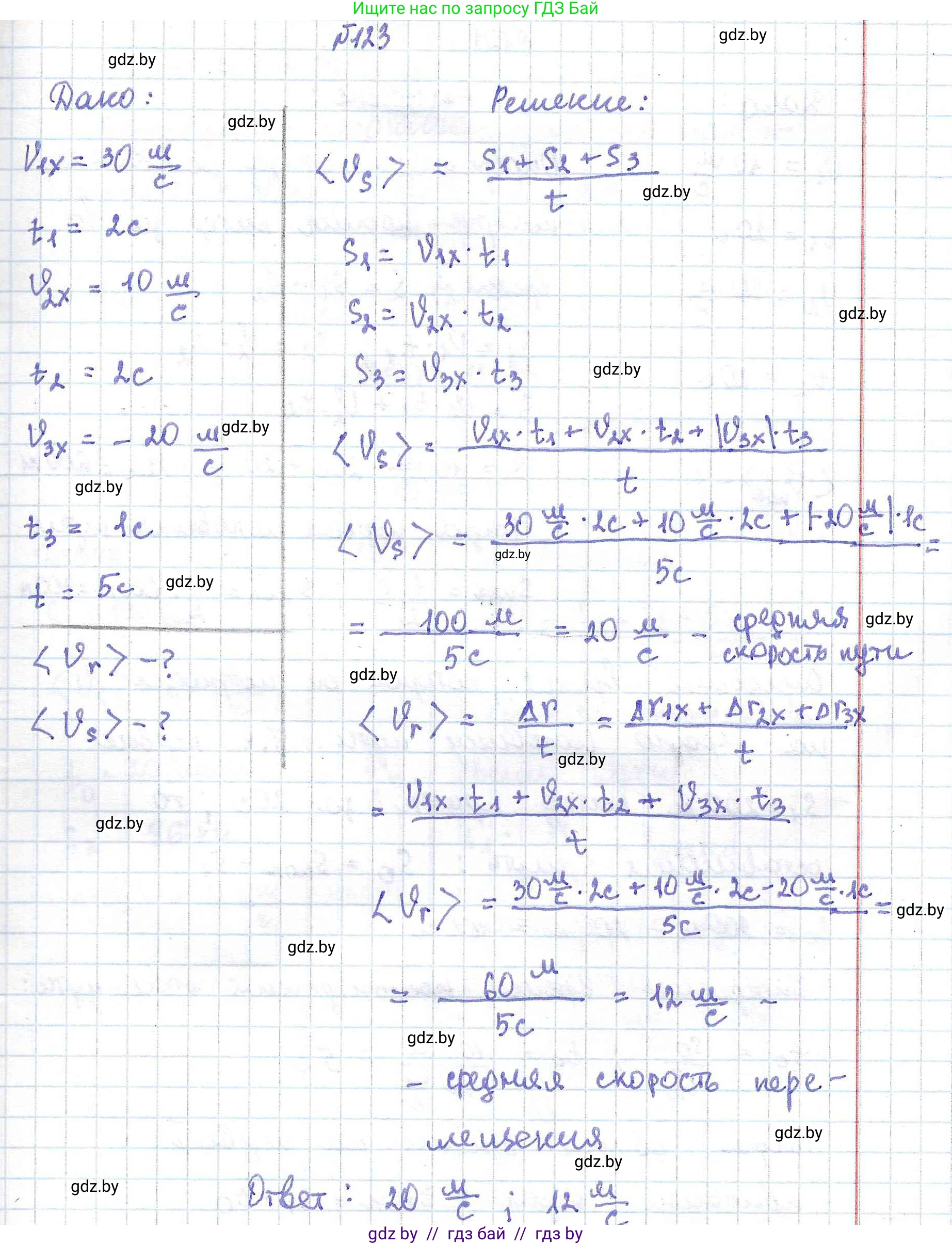
Дано:

График зависимости проекции скорости $v_x$ от времени $t$ (Рис. 39).

Интервал времени 1: $t_{0-1} = 2 \text{ с}$, $v_{x1} = 30$ м/с.

Интервал времени 2: $t_{1-2} = 2 \text{ с}$, $v_{x2} = 10$ м/с.

Интервал времени 3: $t_{2-3} = 1 \text{ с}$, $v_{x3} = -20$ м/с.

Общее время движения $t = 5$ с.

Все данные представлены в системе СИ.

Найти:

Среднюю скорость пути $v_{ср.пут.}$ и модуль средней скорости перемещения $|v_{ср.пер.}|$.

Решение:

Движение состоит из трех участков с постоянной скоростью. Найдем путь и перемещение для каждого участка. Перемещение на участке с постоянной скоростью вычисляется по формуле $s_x = v_x \cdot \Delta t$. Путь на участке равен модулю перемещения $L = |s_x|$.

1. На участке от $t = 0$ с до $t = 2$ с:

Промежуток времени $\Delta t_1 = 2 \text{ с} - 0 \text{ с} = 2$ с.

Перемещение $s_{x1} = v_{x1} \cdot \Delta t_1 = 30 \frac{\text{м}}{\text{с}} \cdot 2 \text{ с} = 60$ м.

Путь $L_1 = |s_{x1}| = 60$ м.

2. На участке от $t = 2$ с до $t = 4$ с:

Промежуток времени $\Delta t_2 = 4 \text{ с} - 2 \text{ с} = 2$ с.

Перемещение $s_{x2} = v_{x2} \cdot \Delta t_2 = 10 \frac{\text{м}}{\text{с}} \cdot 2 \text{ с} = 20$ м.

Путь $L_2 = |s_{x2}| = 20$ м.

3. На участке от $t = 4$ с до $t = 5$ с:

Промежуток времени $\Delta t_3 = 5 \text{ с} - 4 \text{ с} = 1$ с.

Перемещение $s_{x3} = v_{x3} \cdot \Delta t_3 = -20 \frac{\text{м}}{\text{с}} \cdot 1 \text{ с} = -20$ м.

Путь $L_3 = |s_{x3}| = |-20 \text{ м}| = 20$ м.

Средняя скорость пути

Средняя скорость пути — это отношение всего пройденного пути $L$ ко всему времени движения $t$.

Сначала найдем весь пройденный путь как сумму путей на каждом участке:

$L = L_1 + L_2 + L_3 = 60 \text{ м} + 20 \text{ м} + 20 \text{ м} = 100$ м.

Теперь вычислим среднюю скорость пути:

$v_{ср.пут.} = \frac{L}{t} = \frac{100 \text{ м}}{5 \text{ с}} = 20$ м/с.

Ответ: средняя скорость пути равна 20 м/с.

Модуль средней скорости перемещения

Модуль средней скорости перемещения — это отношение модуля полного перемещения $|\Delta x|$ ко всему времени движения $t$.

Сначала найдем полное перемещение как алгебраическую сумму перемещений на каждом участке:

$\Delta x = s_{x1} + s_{x2} + s_{x3} = 60 \text{ м} + 20 \text{ м} + (-20 \text{ м}) = 60$ м.

Модуль полного перемещения $|\Delta x| = |60 \text{ м}| = 60$ м.

Теперь вычислим модуль средней скорости перемещения:

$|v_{ср.пер.}| = \frac{|\Delta x|}{t} = \frac{60 \text{ м}}{5 \text{ с}} = 12$ м/с.

Ответ: модуль средней скорости перемещения равен 12 м/с.

Решение 2. №123 (с. 34)
Физика, 9 класс Сборник задач, авторы: Исаченкова Лариса Артёмовна, Дорофейчик Владимир Владимирович, Захаревич Екатерина Васильевна, Пальчик Геннадий Владимирович, издательство Аверсэв, Минск, 2021, страница 34, номер 123, Решение 2

Помогло решение? Оставьте отзыв в комментариях ниже.

Присоединяйтесь к Телеграм-группе @gdz_by_belarus

Присоединиться

Мы подготовили для вас ответ c подробным объяснением домашего задания по физике за 9 класс, для упражнения номер 123 расположенного на странице 34 к сборнику задач 2021 года издания для учащихся школ и гимназий.

Теперь на нашем сайте ГДЗ.ТОП вы всегда легко и бесплатно найдёте условие с правильным ответом на вопрос «Как решить ДЗ» и «Как сделать» задание по физике к упражнению №123 (с. 34), авторов: Исаченкова (Лариса Артёмовна), Дорофейчик (Владимир Владимирович), Захаревич (Екатерина Васильевна), Пальчик (Геннадий Владимирович), учебного пособия издательства Аверсэв.