Номер 16.4, страница 90 - гдз по алгебре 10 класс сборник задач Арефьева, Пирютко

Алгебра, 10 класс Сборник задач, авторы: Арефьева Ирина Глебовна, Пирютко Ольга Николаевна, издательство Народная асвета, Минск, 2020, белого цвета

Авторы: Арефьева И. Г., Пирютко О. Н.

Тип: Сборник задач

Издательство: Народная асвета

Год издания: 2020 - 2025

Уровень обучения: базовый и повышенный

Цвет обложки: белый, голубой с графиком

Допущено Министерством образования Республики Беларусь

Популярные ГДЗ в 10 классе

Глава 3. Тригонометрия. Параграф 16. Формулы двойного аргумента - номер 16.4, страница 90.

№16.4 (с. 90)
Условие. №16.4 (с. 90)
скриншот условия
Алгебра, 10 класс Сборник задач, авторы: Арефьева Ирина Глебовна, Пирютко Ольга Николаевна, издательство Народная асвета, Минск, 2020, белого цвета, страница 90, номер 16.4, Условие

16.4. Вычислите:

а) $1 - 8\sin^2\frac{\pi}{24}\cos^2\frac{\pi}{24}$;

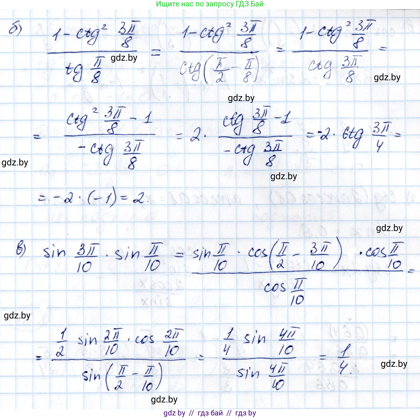
б) $\frac{1 - \operatorname{ctg}^2\frac{3\pi}{8}}{\operatorname{tg}\frac{\pi}{8}}$;

в) $\sin\frac{3\pi}{10}\sin\frac{\pi}{10}$.

Решение. №16.4 (с. 90)
Алгебра, 10 класс Сборник задач, авторы: Арефьева Ирина Глебовна, Пирютко Ольга Николаевна, издательство Народная асвета, Минск, 2020, белого цвета, страница 90, номер 16.4, Решение Алгебра, 10 класс Сборник задач, авторы: Арефьева Ирина Глебовна, Пирютко Ольга Николаевна, издательство Народная асвета, Минск, 2020, белого цвета, страница 90, номер 16.4, Решение (продолжение 2)
Решение 2. №16.4 (с. 90)

а)

Для решения воспользуемся формулой синуса двойного угла $ \sin(2\alpha) = 2\sin\alpha\cos\alpha $ и формулой косинуса двойного угла $ \cos(2\alpha) = 1 - 2\sin^2\alpha $.
Преобразуем исходное выражение:
$ 1 - 8\sin^2\frac{\pi}{24}\cos^2\frac{\pi}{24} = 1 - 2 \cdot (4\sin^2\frac{\pi}{24}\cos^2\frac{\pi}{24}) = 1 - 2 \cdot (2\sin\frac{\pi}{24}\cos\frac{\pi}{24})^2 $.
Применим формулу синуса двойного угла для выражения в скобках, где $ \alpha = \frac{\pi}{24} $:
$ 1 - 2 \cdot (\sin(2 \cdot \frac{\pi}{24}))^2 = 1 - 2\sin^2(\frac{2\pi}{24}) = 1 - 2\sin^2(\frac{\pi}{12}) $.
Теперь применим формулу косинуса двойного угла, где $ \alpha = \frac{\pi}{12} $:
$ 1 - 2\sin^2(\frac{\pi}{12}) = \cos(2 \cdot \frac{\pi}{12}) = \cos(\frac{2\pi}{12}) = \cos(\frac{\pi}{6}) $.
Значение косинуса $ \cos(\frac{\pi}{6}) $ равно $ \frac{\sqrt{3}}{2} $. Целая часть числа $ \frac{\sqrt{3}}{2} \approx 0.866 $ равна 0.
Ответ: 0

б)

Для решения воспользуемся формулой приведения $ \text{ctg}(\frac{\pi}{2} - \alpha) = \text{tg}(\alpha) $ и формулой тангенса двойного угла $ \text{tg}(2\alpha) = \frac{2\text{tg}\alpha}{1 - \text{tg}^2\alpha} $.
Преобразуем котангенс в числителе с помощью формулы приведения:
$ \text{ctg}\frac{3\pi}{8} = \text{ctg}(\frac{4\pi - \pi}{8}) = \text{ctg}(\frac{\pi}{2} - \frac{\pi}{8}) = \text{tg}\frac{\pi}{8} $.
Подставим это в исходное выражение:
$ \frac{1 - \text{ctg}^2\frac{3\pi}{8}}{\text{tg}\frac{\pi}{8}} = \frac{1 - \text{tg}^2\frac{\pi}{8}}{\text{tg}\frac{\pi}{8}} $.
Это выражение связано с формулой тангенса двойного угла. Пусть $ \alpha = \frac{\pi}{8} $. Тогда наше выражение можно записать как:
$ \frac{1 - \text{tg}^2\alpha}{\text{tg}\alpha} = \frac{2(1 - \text{tg}^2\alpha)}{2\text{tg}\alpha} = 2 \cdot \frac{1}{\frac{2\text{tg}\alpha}{1 - \text{tg}^2\alpha}} = 2 \cdot \frac{1}{\text{tg}(2\alpha)} = 2\text{ctg}(2\alpha) $.
Подставим обратно значение $ \alpha = \frac{\pi}{8} $:
$ 2\text{ctg}(2 \cdot \frac{\pi}{8}) = 2\text{ctg}(\frac{\pi}{4}) $.
Поскольку $ \text{ctg}(\frac{\pi}{4}) = 1 $, получаем:
$ 2 \cdot 1 = 2 $.
Число 2 является целым.
Ответ: 2

в)

Для решения воспользуемся формулами приведения, синуса двойного угла и свойствами синуса.
Исходное выражение: $ \sin\frac{3\pi}{10}\sin\frac{\pi}{10} $.
Используя формулу приведения $ \sin\alpha = \cos(\frac{\pi}{2} - \alpha) $, преобразуем оба множителя:
$ \sin\frac{3\pi}{10} = \cos(\frac{\pi}{2} - \frac{3\pi}{10}) = \cos(\frac{5\pi - 3\pi}{10}) = \cos(\frac{2\pi}{10}) = \cos(\frac{\pi}{5}) $.
$ \sin\frac{\pi}{10} = \cos(\frac{\pi}{2} - \frac{\pi}{10}) = \cos(\frac{5\pi - \pi}{10}) = \cos(\frac{4\pi}{10}) = \cos(\frac{2\pi}{5}) $.
Таким образом, наше выражение равно $ \cos(\frac{\pi}{5})\cos(\frac{2\pi}{5}) $.
Умножим и разделим это выражение на $ 2\sin(\frac{\pi}{5}) $ (это возможно, так как $ \sin(\frac{\pi}{5}) \neq 0 $):
$ \frac{2\sin(\frac{\pi}{5})\cos(\frac{\pi}{5})\cos(\frac{2\pi}{5})}{2\sin(\frac{\pi}{5})} $.
В числителе используем формулу синуса двойного угла $ 2\sin\alpha\cos\alpha = \sin(2\alpha) $, где $ \alpha = \frac{\pi}{5} $:
$ \frac{\sin(2 \cdot \frac{\pi}{5})\cos(\frac{2\pi}{5})}{2\sin(\frac{\pi}{5})} = \frac{\sin(\frac{2\pi}{5})\cos(\frac{2\pi}{5})}{2\sin(\frac{\pi}{5})} $.
Снова применим формулу синуса двойного угла. Для этого умножим числитель и знаменатель на 2:
$ \frac{2\sin(\frac{2\pi}{5})\cos(\frac{2\pi}{5})}{4\sin(\frac{\pi}{5})} = \frac{\sin(2 \cdot \frac{2\pi}{5})}{4\sin(\frac{\pi}{5})} = \frac{\sin(\frac{4\pi}{5})}{4\sin(\frac{\pi}{5})} $.
Теперь воспользуемся свойством синуса $ \sin(\pi - \alpha) = \sin\alpha $:
$ \sin(\frac{4\pi}{5}) = \sin(\pi - \frac{\pi}{5}) = \sin(\frac{\pi}{5}) $.
Подставим это в наше выражение:
$ \frac{\sin(\frac{\pi}{5})}{4\sin(\frac{\pi}{5})} = \frac{1}{4} $.
Целая часть числа $ \frac{1}{4} = 0.25 $ равна 0.
Ответ: 0

Помогло решение? Оставьте отзыв в комментариях ниже.

Присоединяйтесь к Телеграм-группе @gdz_by_belarus

Присоединиться

Мы подготовили для вас ответ c подробным объяснением домашего задания по алгебре за 10 класс, для упражнения номер 16.4 расположенного на странице 90 к сборнику задач 2020 года издания для учащихся школ и гимназий.

Теперь на нашем сайте ГДЗ.ТОП вы всегда легко и бесплатно найдёте условие с правильным ответом на вопрос «Как решить ДЗ» и «Как сделать» задание по алгебре к упражнению №16.4 (с. 90), авторов: Арефьева (Ирина Глебовна), Пирютко (Ольга Николаевна), базовый и повышенный уровень обучения учебного пособия издательства Народная асвета.