Номер 16.5, страница 90 - гдз по алгебре 10 класс сборник задач Арефьева, Пирютко

Алгебра, 10 класс Сборник задач, авторы: Арефьева Ирина Глебовна, Пирютко Ольга Николаевна, издательство Народная асвета, Минск, 2020, белого цвета

Авторы: Арефьева И. Г., Пирютко О. Н.

Тип: Сборник задач

Издательство: Народная асвета

Год издания: 2020 - 2025

Уровень обучения: базовый и повышенный

Цвет обложки: белый, голубой с графиком

Допущено Министерством образования Республики Беларусь

Популярные ГДЗ в 10 классе

Глава 3. Тригонометрия. Параграф 16. Формулы двойного аргумента - номер 16.5, страница 90.

№16.5 (с. 90)
Условие. №16.5 (с. 90)
скриншот условия
Алгебра, 10 класс Сборник задач, авторы: Арефьева Ирина Глебовна, Пирютко Ольга Николаевна, издательство Народная асвета, Минск, 2020, белого цвета, страница 90, номер 16.5, Условие

16.5. Найдите значение выражения:

a) $ \text{tg}(2\text{arctg}3) $;

б) $ \sin(2\arccos0,6) $;

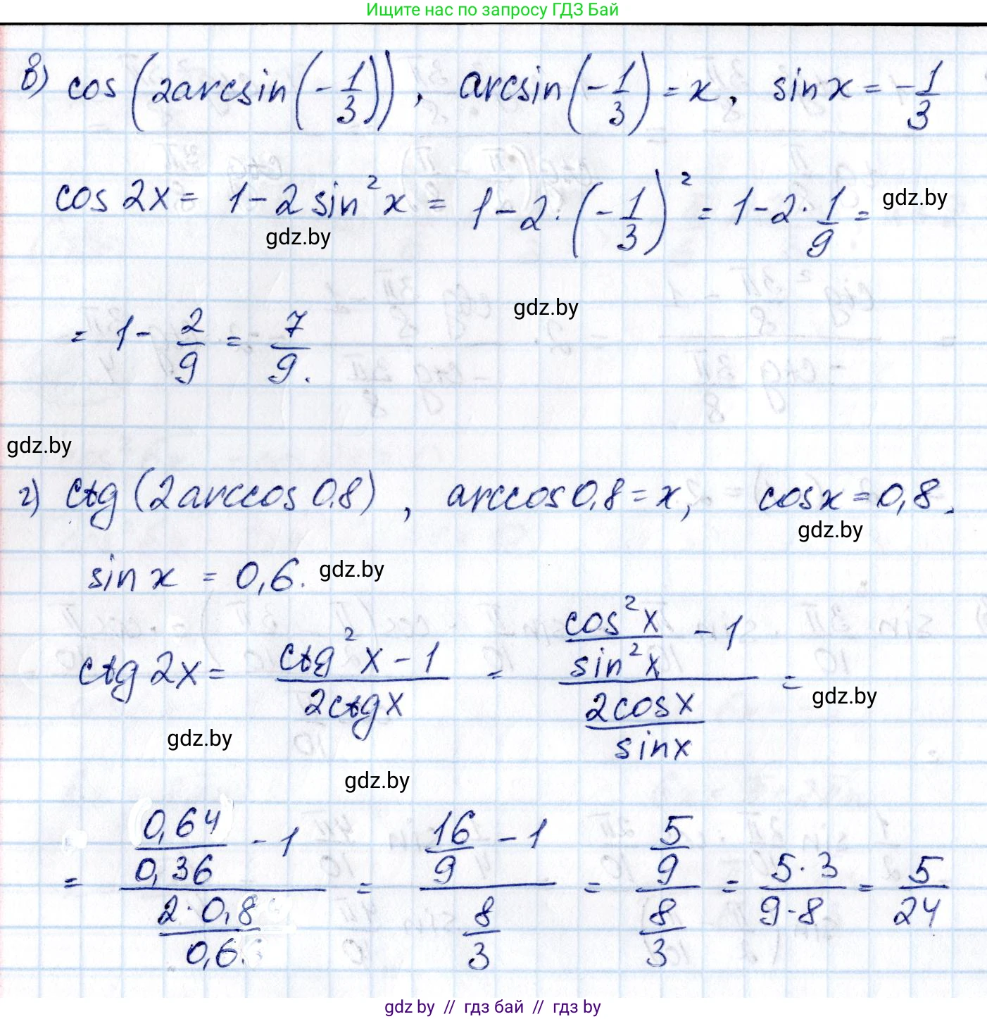
в) $ \cos\left(2\arcsin\left(\frac{1}{3}\right)\right) $;

г) $ \text{ctg}(2\arccos0,8) $.

Решение. №16.5 (с. 90)
Алгебра, 10 класс Сборник задач, авторы: Арефьева Ирина Глебовна, Пирютко Ольга Николаевна, издательство Народная асвета, Минск, 2020, белого цвета, страница 90, номер 16.5, Решение Алгебра, 10 класс Сборник задач, авторы: Арефьева Ирина Глебовна, Пирютко Ольга Николаевна, издательство Народная асвета, Минск, 2020, белого цвета, страница 90, номер 16.5, Решение (продолжение 2)
Решение 2. №16.5 (с. 90)

а) $\operatorname{tg}(2\operatorname{arctg}3)$

Для решения воспользуемся формулой тангенса двойного угла: $\operatorname{tg}(2\alpha) = \frac{2\operatorname{tg}\alpha}{1 - \operatorname{tg}^2\alpha}$.

Пусть $\alpha = \operatorname{arctg}3$. По определению арктангенса, это означает, что $\operatorname{tg}\alpha = 3$.

Теперь подставим значение $\operatorname{tg}\alpha$ в формулу двойного угла:

$\operatorname{tg}(2\operatorname{arctg}3) = \frac{2 \cdot 3}{1 - 3^2} = \frac{6}{1 - 9} = \frac{6}{-8} = -\frac{3}{4}$.

Ответ: $-\frac{3}{4}$.

б) $\sin(2\operatorname{arccos}0,6)$

Используем формулу синуса двойного угла: $\sin(2\alpha) = 2\sin\alpha\cos\alpha$.

Пусть $\alpha = \operatorname{arccos}0,6$. По определению арккосинуса, $\cos\alpha = 0,6$ и угол $\alpha$ находится в промежутке $[0, \pi]$.

Найдем $\sin\alpha$ из основного тригонометрического тождества $\sin^2\alpha + \cos^2\alpha = 1$.

$\sin^2\alpha = 1 - \cos^2\alpha = 1 - (0,6)^2 = 1 - 0,36 = 0,64$.

Поскольку $\alpha \in [0, \pi]$, значение $\sin\alpha$ является неотрицательным, следовательно, $\sin\alpha = \sqrt{0,64} = 0,8$.

Подставим найденные значения $\sin\alpha$ и $\cos\alpha$ в формулу синуса двойного угла:

$\sin(2\operatorname{arccos}0,6) = 2 \cdot 0,8 \cdot 0,6 = 0,96$.

Ответ: $0,96$.

в) $\cos(2\arcsin(-\frac{1}{3}))$

Воспользуемся одной из формул косинуса двойного угла, а именно той, которая выражена через синус: $\cos(2\alpha) = 1 - 2\sin^2\alpha$.

Пусть $\alpha = \arcsin(-\frac{1}{3})$. По определению арксинуса, $\sin\alpha = -\frac{1}{3}$.

Подставим это значение в формулу:

$\cos(2\arcsin(-\frac{1}{3})) = 1 - 2\left(-\frac{1}{3}\right)^2 = 1 - 2\left(\frac{1}{9}\right) = 1 - \frac{2}{9} = \frac{9}{9} - \frac{2}{9} = \frac{7}{9}$.

Ответ: $\frac{7}{9}$.

г) $\operatorname{ctg}(2\operatorname{arccos}0,8)$

Для нахождения значения данного выражения можно использовать формулу котангенса двойного угла через косинус и синус: $\operatorname{ctg}(2\alpha) = \frac{\cos(2\alpha)}{\sin(2\alpha)}$.

Пусть $\alpha = \operatorname{arccos}0,8$. Тогда $\cos\alpha = 0,8$. Угол $\alpha$ находится в промежутке $[0, \pi]$.

Сначала найдем $\cos(2\alpha)$, используя формулу $\cos(2\alpha) = 2\cos^2\alpha - 1$:

$\cos(2\alpha) = 2 \cdot (0,8)^2 - 1 = 2 \cdot 0,64 - 1 = 1,28 - 1 = 0,28$.

Затем найдем $\sin(2\alpha)$, используя формулу $\sin(2\alpha) = 2\sin\alpha\cos\alpha$. Для этого нам необходимо найти $\sin\alpha$.

Из основного тригонометрического тождества $\sin^2\alpha + \cos^2\alpha = 1$ и того факта, что $\alpha \in [0, \pi]$ (где синус неотрицателен), получаем:

$\sin\alpha = \sqrt{1 - \cos^2\alpha} = \sqrt{1 - (0,8)^2} = \sqrt{1 - 0,64} = \sqrt{0,36} = 0,6$.

Теперь мы можем вычислить $\sin(2\alpha)$:

$\sin(2\alpha) = 2 \cdot 0,6 \cdot 0,8 = 0,96$.

Наконец, вычисляем котангенс двойного угла:

$\operatorname{ctg}(2\operatorname{arccos}0,8) = \frac{\cos(2\alpha)}{\sin(2\alpha)} = \frac{0,28}{0,96} = \frac{28}{96}$.

Сократим полученную дробь, разделив числитель и знаменатель на их наибольший общий делитель, равный 4:

$\frac{28 \div 4}{96 \div 4} = \frac{7}{24}$.

Ответ: $\frac{7}{24}$.

Помогло решение? Оставьте отзыв в комментариях ниже.

Присоединяйтесь к Телеграм-группе @gdz_by_belarus

Присоединиться

Мы подготовили для вас ответ c подробным объяснением домашего задания по алгебре за 10 класс, для упражнения номер 16.5 расположенного на странице 90 к сборнику задач 2020 года издания для учащихся школ и гимназий.

Теперь на нашем сайте ГДЗ.ТОП вы всегда легко и бесплатно найдёте условие с правильным ответом на вопрос «Как решить ДЗ» и «Как сделать» задание по алгебре к упражнению №16.5 (с. 90), авторов: Арефьева (Ирина Глебовна), Пирютко (Ольга Николаевна), базовый и повышенный уровень обучения учебного пособия издательства Народная асвета.