Номер 1.512, страница 151 - гдз по алгебре 10 класс учебник Арефьева, Пирютко

Алгебра, 10 класс Учебник, авторы: Арефьева Ирина Глебовна, Пирютко Ольга Николаевна, издательство Народная асвета, Минск, 2019, голубого цвета

Авторы: Арефьева И. Г., Пирютко О. Н.

Тип: Учебник

Издательство: Народная асвета

Год издания: 2019 - 2025

Цвет обложки: голубой с графиком

Допущено Министерством образования Республики Беларусь

Популярные ГДЗ в 10 классе

Глава 1. Тригонометрия. Параграф 11. Формулы двойного аргумента - номер 1.512, страница 151.

№1.512 (с. 151)
Условие. №1.512 (с. 151)
скриншот условия
Алгебра, 10 класс Учебник, авторы: Арефьева Ирина Глебовна, Пирютко Ольга Николаевна, издательство Народная асвета, Минск, 2019, голубого цвета, страница 151, номер 1.512, Условие

1.512. Решите уравнение $\sin^2 9x + \sin 18x = 0$.

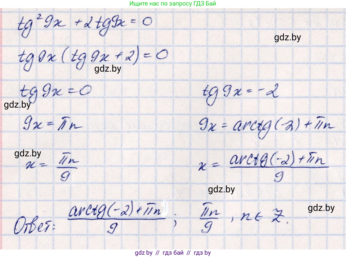
Решение. №1.512 (с. 151)
Алгебра, 10 класс Учебник, авторы: Арефьева Ирина Глебовна, Пирютко Ольга Николаевна, издательство Народная асвета, Минск, 2019, голубого цвета, страница 151, номер 1.512, Решение Алгебра, 10 класс Учебник, авторы: Арефьева Ирина Глебовна, Пирютко Ольга Николаевна, издательство Народная асвета, Минск, 2019, голубого цвета, страница 151, номер 1.512, Решение (продолжение 2)
Решение 2. №1.512 (с. 151)

Исходное уравнение: $ \sin^2 9x + \sin 18x = 0 $.

Для решения этого уравнения воспользуемся формулой синуса двойного угла: $ \sin 2\alpha = 2\sin\alpha\cos\alpha $.

Применим эту формулу к члену $ \sin 18x $, где $ \alpha = 9x $:

$ \sin 18x = \sin(2 \cdot 9x) = 2\sin 9x \cos 9x $

Подставим это выражение в исходное уравнение:

$ \sin^2 9x + 2\sin 9x \cos 9x = 0 $

Теперь вынесем общий множитель $ \sin 9x $ за скобки:

$ \sin 9x (\sin 9x + 2\cos 9x) = 0 $

Произведение равно нулю, если хотя бы один из множителей равен нулю. Это приводит к двум независимым уравнениям:

1) $ \sin 9x = 0 $

2) $ \sin 9x + 2\cos 9x = 0 $

Решим каждое уравнение по отдельности.

Решение первого уравнения:

$ \sin 9x = 0 $

Это частный случай тригонометрического уравнения. Решение имеет вид:

$ 9x = \pi n $, где $ n \in \mathbb{Z} $ (Z - множество целых чисел).

Отсюда находим $ x $:

$ x = \frac{\pi n}{9}, n \in \mathbb{Z} $

Решение второго уравнения:

$ \sin 9x + 2\cos 9x = 0 $

Это однородное тригонометрическое уравнение первой степени. Заметим, что $ \cos 9x \neq 0 $, так как если бы $ \cos 9x = 0 $, то из уравнения следовало бы, что и $ \sin 9x = 0 $, что невозможно, поскольку $ \sin^2\alpha + \cos^2\alpha = 1 $.

Разделим обе части уравнения на $ \cos 9x $:

$ \frac{\sin 9x}{\cos 9x} + \frac{2\cos 9x}{\cos 9x} = 0 $

$ \tan 9x + 2 = 0 $

$ \tan 9x = -2 $

Решение этого уравнения:

$ 9x = \arctan(-2) + \pi k $, где $ k \in \mathbb{Z} $.

Используя свойство арктангенса $ \arctan(-a) = -\arctan(a) $, получаем:

$ 9x = -\arctan 2 + \pi k $

Отсюда находим $ x $:

$ x = \frac{-\arctan 2 + \pi k}{9} = -\frac{\arctan 2}{9} + \frac{\pi k}{9}, k \in \mathbb{Z} $

Объединяя решения обоих уравнений, получаем полный ответ.

Ответ: $ x = \frac{\pi n}{9}, n \in \mathbb{Z} $; $ x = -\frac{\arctan 2}{9} + \frac{\pi k}{9}, k \in \mathbb{Z} $.

Помогло решение? Оставьте отзыв в комментариях ниже.

Присоединяйтесь к Телеграм-группе @gdz_by_belarus

Присоединиться

Мы подготовили для вас ответ c подробным объяснением домашего задания по алгебре за 10 класс, для упражнения номер 1.512 расположенного на странице 151 к учебнику 2019 года издания для учащихся школ и гимназий.

Теперь на нашем сайте ГДЗ.ТОП вы всегда легко и бесплатно найдёте условие с правильным ответом на вопрос «Как решить ДЗ» и «Как сделать» задание по алгебре к упражнению №1.512 (с. 151), авторов: Арефьева (Ирина Глебовна), Пирютко (Ольга Николаевна), учебного пособия издательства Народная асвета.