Номер 2.29, страница 55 - гдз по алгебре 11 класс учебник Арефьева, Пирютко

Алгебра, 11 класс Учебник, авторы: Арефьева Ирина Глебовна, Пирютко Ольга Николаевна, издательство Народная асвета, Минск, 2020, бирюзового цвета

Авторы: Арефьева И. Г., Пирютко О. Н.

Тип: Учебник

Издательство: Народная асвета

Год издания: 2020 - 2025

Цвет обложки: бирюзовый, зелёный с графиком

ISBN: 978-985-03-3165-6

Популярные ГДЗ в 11 классе

Глава 2. Показательная функция. Параграф 4. Показательная функция - номер 2.29, страница 55.

№2.29 (с. 55)
Условие. №2.29 (с. 55)
скриншот условия
Алгебра, 11 класс Учебник, авторы: Арефьева Ирина Глебовна, Пирютко Ольга Николаевна, издательство Народная асвета, Минск, 2020, бирюзового цвета, страница 55, номер 2.29, Условие

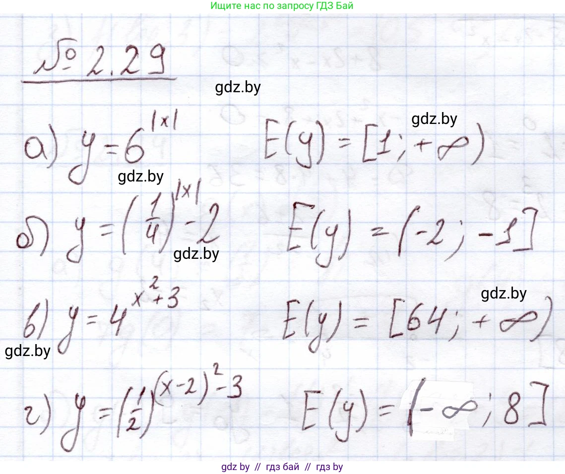
2.29*. Найдите множество значений функции:

а) $y = 6^{|x|};$

б) $y = \left(\frac{1}{4}\right)^{|x|} - 2;$

в) $y = 4^{x^2+3};$

г) $y = \left(\frac{1}{2}\right)^{(x-2)^2-3}.$

Решение. №2.29 (с. 55)
Алгебра, 11 класс Учебник, авторы: Арефьева Ирина Глебовна, Пирютко Ольга Николаевна, издательство Народная асвета, Минск, 2020, бирюзового цвета, страница 55, номер 2.29, Решение
Решение 2. №2.29 (с. 55)

а) $y = 6^{|x|}$

Чтобы найти множество значений функции, проанализируем её составляющие.

1. Показатель степени — это $|x|$. Множество значений модуля $x$ есть промежуток $[0, +\infty)$, так как $|x| \ge 0$ для любого действительного числа $x$.

2. Основание степени равно 6, что больше 1. Это означает, что показательная функция $f(t) = 6^t$ является возрастающей.

3. Так как функция $y = 6^t$ возрастает, а её аргумент $t = |x|$ принимает значения от 0 до $+\infty$, то наименьшее значение функции $y$ будет достигаться при наименьшем значении аргумента, то есть при $|x|=0$.

Минимальное значение: $y_{min} = 6^0 = 1$.

При увеличении $|x|$, значение $6^{|x|}$ также будет неограниченно возрастать.

Следовательно, множество значений функции — это все числа от 1, включая 1, до $+\infty$.

Ответ: $E(y) = [1, +\infty)$.

б) $y = (\frac{1}{4})^{|x|} - 2$

Рассмотрим сначала функцию $g(x) = (\frac{1}{4})^{|x|}$.

1. Показатель степени $|x|$ принимает значения из промежутка $[0, +\infty)$.

2. Основание степени равно $\frac{1}{4}$, что находится в интервале $(0, 1)$. Это означает, что показательная функция $f(t) = (\frac{1}{4})^t$ является убывающей.

3. Так как функция $f(t)$ убывающая, её наибольшее значение на промежутке $[0, +\infty)$ достигается в точке $t=0$.

Наибольшее значение $g(x)$: $g_{max} = (\frac{1}{4})^0 = 1$.

При $|x| \to +\infty$, значение $g(x) = (\frac{1}{4})^{|x|}$ стремится к 0, но никогда его не достигает.

Таким образом, множество значений функции $g(x)$ есть полуинтервал $(0, 1]$.

4. Исходная функция $y = g(x) - 2$ получается из $g(x)$ сдвигом на 2 единицы вниз. Следовательно, её множество значений получается сдвигом множества значений $g(x)$ на 2 единицы вниз.

Множество значений $y$: $(0-2, 1-2]$, что равно $(-2, -1]$.

Ответ: $E(y) = (-2, -1]$.

в) $y = 4^{x^2+3}$

1. Найдём множество значений показателя степени $p(x) = x^2+3$.

Выражение $x^2$ всегда неотрицательно, то есть $x^2 \ge 0$.

Следовательно, наименьшее значение выражения $x^2+3$ достигается при $x=0$ и равно $0^2+3 = 3$.

Значит, множество значений показателя степени есть промежуток $[3, +\infty)$.

2. Основание степени равно 4, что больше 1. Показательная функция $f(t) = 4^t$ является возрастающей.

3. Так как функция $f(t)$ возрастающая, а её аргумент $t = x^2+3$ принимает значения от 3 до $+\infty$, то наименьшее значение функции $y$ будет достигаться при наименьшем значении аргумента, то есть при $t=3$.

Минимальное значение: $y_{min} = 4^3 = 64$.

При увеличении показателя степени, значение $y$ также неограниченно возрастает.

Ответ: $E(y) = [64, +\infty)$.

г) $y = (\frac{1}{2})^{(x-2)^2-3}$

1. Найдём множество значений показателя степени $p(x) = (x-2)^2-3$.

Выражение $(x-2)^2$ всегда неотрицательно, то есть $(x-2)^2 \ge 0$.

Наименьшее значение выражения $(x-2)^2-3$ достигается при $x=2$ и равно $(2-2)^2-3 = 0-3 = -3$.

Таким образом, множество значений показателя степени есть промежуток $[-3, +\infty)$.

2. Основание степени равно $\frac{1}{2}$, что находится в интервале $(0, 1)$. Показательная функция $f(t) = (\frac{1}{2})^t$ является убывающей.

3. Так как функция $f(t)$ убывающая, её наибольшее значение на промежутке $[-3, +\infty)$ будет достигаться при наименьшем значении аргумента, то есть при $t=-3$.

Максимальное значение: $y_{max} = (\frac{1}{2})^{-3} = (2^{-1})^{-3} = 2^3 = 8$.

Когда показатель степени $t = (x-2)^2-3$ стремится к $+\infty$, значение функции $y = (\frac{1}{2})^t$ стремится к 0, не достигая его.

Следовательно, множество значений функции есть полуинтервал $(0, 8]$.

Ответ: $E(y) = (0, 8]$.

Помогло решение? Оставьте отзыв в комментариях ниже.

Присоединяйтесь к Телеграм-группе @gdz_by_belarus

Присоединиться

Мы подготовили для вас ответ c подробным объяснением домашего задания по алгебре за 11 класс, для упражнения номер 2.29 расположенного на странице 55 к учебнику 2020 года издания для учащихся школ и гимназий.

Теперь на нашем сайте ГДЗ.ТОП вы всегда легко и бесплатно найдёте условие с правильным ответом на вопрос «Как решить ДЗ» и «Как сделать» задание по алгебре к упражнению №2.29 (с. 55), авторов: Арефьева (Ирина Глебовна), Пирютко (Ольга Николаевна), учебного пособия издательства Народная асвета.