Номер 2.81, страница 71 - гдз по алгебре 11 класс учебник Арефьева, Пирютко

Алгебра, 11 класс Учебник, авторы: Арефьева Ирина Глебовна, Пирютко Ольга Николаевна, издательство Народная асвета, Минск, 2020, бирюзового цвета

Авторы: Арефьева И. Г., Пирютко О. Н.

Тип: Учебник

Издательство: Народная асвета

Год издания: 2020 - 2025

Цвет обложки: бирюзовый, зелёный с графиком

ISBN: 978-985-03-3165-6

Популярные ГДЗ в 11 классе

Глава 2. Показательная функция. Параграф 5. Показательные уравнения - номер 2.81, страница 71.

№2.81 (с. 71)
Условие. №2.81 (с. 71)
скриншот условия
Алгебра, 11 класс Учебник, авторы: Арефьева Ирина Глебовна, Пирютко Ольга Николаевна, издательство Народная асвета, Минск, 2020, бирюзового цвета, страница 71, номер 2.81, Условие

2.81. Приведите левую и правую части уравнения к степеням с одинаковыми основаниями и решите его:

а) $3^{3x^2+2x} = \frac{1}{\sqrt[3]{3}}$;

б) $6^{2x^2+3x} = \left(\frac{1}{36}\right)^{x+1}$;

в) $\left(\frac{1}{125}\right)^{\frac{2x^2}{3}} = 25^{x-6}$;

г)* $\left(\sqrt[3]{2}\right)^{x^2-6x+4} = \left(\sqrt{3}+\sqrt{8}-1\right)^x$.

Решение. №2.81 (с. 71)
Алгебра, 11 класс Учебник, авторы: Арефьева Ирина Глебовна, Пирютко Ольга Николаевна, издательство Народная асвета, Минск, 2020, бирюзового цвета, страница 71, номер 2.81, Решение Алгебра, 11 класс Учебник, авторы: Арефьева Ирина Глебовна, Пирютко Ольга Николаевна, издательство Народная асвета, Минск, 2020, бирюзового цвета, страница 71, номер 2.81, Решение (продолжение 2)
Решение 2. №2.81 (с. 71)

а) Исходное уравнение: $3^{3x^2+2x} = \frac{1}{\sqrt[3]{3}}$.
Цель состоит в том, чтобы привести обе части уравнения к степеням с одинаковым основанием. В данном случае, основание будет 3.
Левая часть уже имеет основание 3. Преобразуем правую часть:
Используя свойства степеней $\sqrt[n]{a} = a^{1/n}$ и $\frac{1}{a^m} = a^{-m}$, получаем:
$\frac{1}{\sqrt[3]{3}} = \frac{1}{3^{1/3}} = 3^{-1/3}$.
Теперь уравнение принимает вид:
$3^{3x^2+2x} = 3^{-1/3}$.
Поскольку основания степеней равны, мы можем приравнять их показатели:
$3x^2+2x = -\frac{1}{3}$.
Это квадратное уравнение. Решим его. Умножим обе части на 3, чтобы избавиться от дроби:
$9x^2 + 6x = -1$
$9x^2 + 6x + 1 = 0$.
Свернем левую часть по формуле квадрата суммы $(a+b)^2=a^2+2ab+b^2$:
$(3x+1)^2 = 0$.
Отсюда следует, что $3x+1 = 0$.
$3x = -1$.
$x = -\frac{1}{3}$.
Ответ: $-\frac{1}{3}$.

б) Исходное уравнение: $6^{2x^2+3x} = (\frac{1}{36})^{x+1}$.
Приведем обе части к основанию 6.
Левая часть уже в нужном виде. Преобразуем правую часть, зная, что $36 = 6^2$:
$(\frac{1}{36})^{x+1} = (\frac{1}{6^2})^{x+1} = (6^{-2})^{x+1}$.
По свойству степени $(a^m)^n = a^{mn}$, получаем:
$6^{-2(x+1)} = 6^{-2x-2}$.
Теперь уравнение выглядит так:
$6^{2x^2+3x} = 6^{-2x-2}$.
Приравниваем показатели степеней:
$2x^2+3x = -2x-2$.
Переносим все члены в левую часть:
$2x^2+3x+2x+2 = 0$
$2x^2+5x+2 = 0$.
Решаем полученное квадратное уравнение с помощью дискриминанта $D = b^2 - 4ac$:
$D = 5^2 - 4 \cdot 2 \cdot 2 = 25 - 16 = 9$.
Корни уравнения находим по формуле $x = \frac{-b \pm \sqrt{D}}{2a}$:
$x_1 = \frac{-5 + \sqrt{9}}{2 \cdot 2} = \frac{-5+3}{4} = \frac{-2}{4} = -\frac{1}{2}$.
$x_2 = \frac{-5 - \sqrt{9}}{2 \cdot 2} = \frac{-5-3}{4} = \frac{-8}{4} = -2$.
Ответ: $-2; -\frac{1}{2}$.

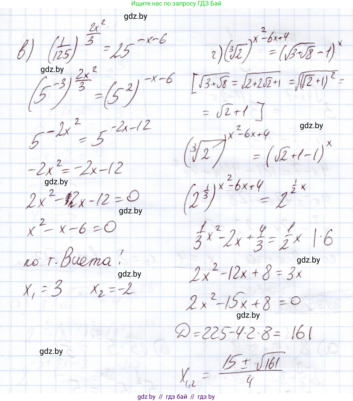
в) Исходное уравнение: $(\frac{1}{125})^{\frac{2x^2}{3}} = 25^{-x-6}$.
Приведем обе части к основанию 5, так как $125=5^3$ и $25=5^2$.
Преобразуем левую часть:
$(\frac{1}{125})^{\frac{2x^2}{3}} = (\frac{1}{5^3})^{\frac{2x^2}{3}} = (5^{-3})^{\frac{2x^2}{3}} = 5^{-3 \cdot \frac{2x^2}{3}} = 5^{-2x^2}$.
Преобразуем правую часть:
$25^{-x-6} = (5^2)^{-x-6} = 5^{2(-x-6)} = 5^{-2x-12}$.
Уравнение принимает вид:
$5^{-2x^2} = 5^{-2x-12}$.
Приравниваем показатели:
$-2x^2 = -2x-12$.
Разделим обе части на -2:
$x^2 = x+6$.
Перенесем все в левую часть:
$x^2 - x - 6 = 0$.
Решим квадратное уравнение. Можно использовать теорему Виета: произведение корней равно -6, сумма равна 1. Корни 3 и -2.
Или решим через дискриминант: $D = (-1)^2 - 4 \cdot 1 \cdot (-6) = 1 + 24 = 25$.
$x_1 = \frac{1 + \sqrt{25}}{2} = \frac{1+5}{2} = 3$.
$x_2 = \frac{1 - \sqrt{25}}{2} = \frac{1-5}{2} = -2$.
Ответ: $-2; 3$.

г)* Исходное уравнение: $(\sqrt[3]{2})^{x^2-6x+4} = (\sqrt{3+\sqrt{8}}-1)^x$.
Приведем обе части к основанию 2.
Преобразуем левую часть:
$(\sqrt[3]{2})^{x^2-6x+4} = (2^{1/3})^{x^2-6x+4} = 2^{\frac{x^2-6x+4}{3}}$.
Теперь преобразуем основание в правой части. Сначала упростим подкоренное выражение $\sqrt{3+\sqrt{8}}$.
$\sqrt{8} = \sqrt{4 \cdot 2} = 2\sqrt{2}$.
Выражение в скобках: $\sqrt{3+2\sqrt{2}}-1$.
Заметим, что выражение под корнем $3+2\sqrt{2}$ можно представить в виде полного квадрата: $3+2\sqrt{2} = 1 + 2\sqrt{2} + 2 = (1+\sqrt{2})^2$.
Тогда $\sqrt{3+2\sqrt{2}} = \sqrt{(1+\sqrt{2})^2} = 1+\sqrt{2}$.
Таким образом, основание степени в правой части равно $(1+\sqrt{2})-1 = \sqrt{2}$.
Теперь правая часть уравнения: $(\sqrt{2})^x = (2^{1/2})^x = 2^{\frac{x}{2}}$.
Уравнение принимает вид:
$2^{\frac{x^2-6x+4}{3}} = 2^{\frac{x}{2}}$.
Приравниваем показатели:
$\frac{x^2-6x+4}{3} = \frac{x}{2}$.
Умножим обе части на 6, чтобы избавиться от знаменателей:
$2(x^2-6x+4) = 3x$.
$2x^2-12x+8 = 3x$.
$2x^2-15x+8 = 0$.
Решаем это квадратное уравнение через дискриминант:
$D = (-15)^2 - 4 \cdot 2 \cdot 8 = 225 - 64 = 161$.
Корни уравнения:
$x = \frac{15 \pm \sqrt{161}}{4}$.
Ответ: $\frac{15 - \sqrt{161}}{4}; \frac{15 + \sqrt{161}}{4}$.

Помогло решение? Оставьте отзыв в комментариях ниже.

Присоединяйтесь к Телеграм-группе @gdz_by_belarus

Присоединиться

Мы подготовили для вас ответ c подробным объяснением домашего задания по алгебре за 11 класс, для упражнения номер 2.81 расположенного на странице 71 к учебнику 2020 года издания для учащихся школ и гимназий.

Теперь на нашем сайте ГДЗ.ТОП вы всегда легко и бесплатно найдёте условие с правильным ответом на вопрос «Как решить ДЗ» и «Как сделать» задание по алгебре к упражнению №2.81 (с. 71), авторов: Арефьева (Ирина Глебовна), Пирютко (Ольга Николаевна), учебного пособия издательства Народная асвета.