Номер 2.82, страница 71 - гдз по алгебре 11 класс учебник Арефьева, Пирютко

Алгебра, 11 класс Учебник, авторы: Арефьева Ирина Глебовна, Пирютко Ольга Николаевна, издательство Народная асвета, Минск, 2020, бирюзового цвета

Авторы: Арефьева И. Г., Пирютко О. Н.

Тип: Учебник

Издательство: Народная асвета

Год издания: 2020 - 2025

Цвет обложки: бирюзовый, зелёный с графиком

ISBN: 978-985-03-3165-6

Популярные ГДЗ в 11 классе

Глава 2. Показательная функция. Параграф 5. Показательные уравнения - номер 2.82, страница 71.

№2.82 (с. 71)
Условие. №2.82 (с. 71)
скриншот условия
Алгебра, 11 класс Учебник, авторы: Арефьева Ирина Глебовна, Пирютко Ольга Николаевна, издательство Народная асвета, Минск, 2020, бирюзового цвета, страница 71, номер 2.82, Условие

2.82. Решите уравнение:

а) $0,2^{\sqrt{2x-3}} = 0,04$

б) $(3,24)^{2\sqrt{x-5}} = \left(\frac{5}{9}\right)^{5\sqrt{x-3}}$

в) $3^{\sqrt{4x-7}} = \frac{1}{3^{2x-11}}$

Решение. №2.82 (с. 71)
Алгебра, 11 класс Учебник, авторы: Арефьева Ирина Глебовна, Пирютко Ольга Николаевна, издательство Народная асвета, Минск, 2020, бирюзового цвета, страница 71, номер 2.82, Решение Алгебра, 11 класс Учебник, авторы: Арефьева Ирина Глебовна, Пирютко Ольга Николаевна, издательство Народная асвета, Минск, 2020, бирюзового цвета, страница 71, номер 2.82, Решение (продолжение 2)
Решение 2. №2.82 (с. 71)

а) $0,2^{\sqrt{2x-3}} = 0,04$

Чтобы решить это показательное уравнение, приведем обе его части к одному основанию. Заметим, что $0,04 = 0,2^2$.

Подставим это в исходное уравнение:

$0,2^{\sqrt{2x-3}} = 0,2^2$

Так как основания степеней равны, мы можем приравнять их показатели:

$\sqrt{2x-3} = 2$

Прежде чем решать это иррациональное уравнение, найдем область допустимых значений (ОДЗ). Выражение под корнем должно быть неотрицательным:

$2x-3 \ge 0 \implies 2x \ge 3 \implies x \ge 1,5$

Теперь возведем обе части уравнения $\sqrt{2x-3} = 2$ в квадрат:

$(\sqrt{2x-3})^2 = 2^2$

$2x-3 = 4$

$2x = 7$

$x = \frac{7}{2} = 3,5$

Проверим, удовлетворяет ли найденный корень условию ОДЗ ($x \ge 1,5$).

$3,5 \ge 1,5$, что является верным. Следовательно, корень подходит.

Ответ: $x = 3,5$.

б) $(3,24)^{2\sqrt{x}-5} = (\frac{5}{9})^{5\sqrt{x}-3}$

Приведем основания степеней к одному виду. Преобразуем десятичную дробь в обыкновенную:

$3,24 = \frac{324}{100} = \frac{81}{25} = (\frac{9}{5})^2$

Второе основание можно выразить через $\frac{9}{5}$ следующим образом:

$\frac{5}{9} = (\frac{9}{5})^{-1}$

Подставим преобразованные основания в исходное уравнение:

$((\frac{9}{5})^2)^{2\sqrt{x}-5} = ((\frac{9}{5})^{-1})^{5\sqrt{x}-3}$

Используя свойство степени $(a^m)^n = a^{mn}$, упростим уравнение:

$(\frac{9}{5})^{2(2\sqrt{x}-5)} = (\frac{9}{5})^{-1(5\sqrt{x}-3)}$

$(\frac{9}{5})^{4\sqrt{x}-10} = (\frac{9}{5})^{-5\sqrt{x}+3}$

Теперь, когда основания равны, приравняем показатели:

$4\sqrt{x}-10 = -5\sqrt{x}+3$

ОДЗ для данного уравнения: $x \ge 0$.

Решим уравнение относительно $\sqrt{x}$:

$4\sqrt{x} + 5\sqrt{x} = 3 + 10$

$9\sqrt{x} = 13$

$\sqrt{x} = \frac{13}{9}$

Возведем обе части в квадрат, чтобы найти $x$:

$x = (\frac{13}{9})^2 = \frac{169}{81}$

Найденный корень $x = \frac{169}{81}$ удовлетворяет ОДЗ ($x \ge 0$).

Ответ: $x = \frac{169}{81}$.

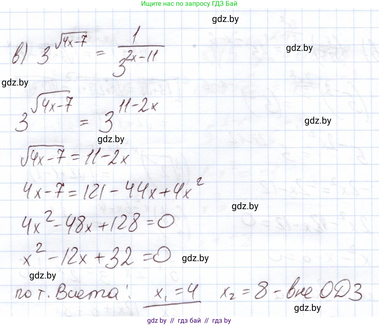
в) $3^{\sqrt{4x-7}} = \frac{1}{3^{2x-11}}$

Приведем правую часть уравнения к основанию 3, используя свойство $a^{-n} = \frac{1}{a^n}$:

$\frac{1}{3^{2x-11}} = 3^{-(2x-11)} = 3^{11-2x}$

Теперь уравнение имеет вид:

$3^{\sqrt{4x-7}} = 3^{11-2x}$

Приравняем показатели степеней:

$\sqrt{4x-7} = 11-2x$

Найдем ОДЗ. Для этого должны выполняться два условия:

1. Выражение под корнем неотрицательно: $4x-7 \ge 0 \implies 4x \ge 7 \implies x \ge \frac{7}{4}$

2. Правая часть уравнения неотрицательна (так как арифметический квадратный корень не может быть отрицательным): $11-2x \ge 0 \implies 11 \ge 2x \implies x \le \frac{11}{2}$

Объединяя условия, получаем ОДЗ: $\frac{7}{4} \le x \le \frac{11}{2}$, или $1,75 \le x \le 5,5$.

Возведем обе части иррационального уравнения в квадрат:

$(\sqrt{4x-7})^2 = (11-2x)^2$

$4x-7 = 121 - 44x + 4x^2$

Приведем уравнение к стандартному квадратному виду $ax^2+bx+c=0$:

$4x^2 - 44x - 4x + 121 + 7 = 0$

$4x^2 - 48x + 128 = 0$

Разделим все члены уравнения на 4 для упрощения:

$x^2 - 12x + 32 = 0$

По теореме Виета, сумма корней равна 12, а их произведение равно 32. Корнями являются числа 4 и 8.

$x_1 = 4$, $x_2 = 8$

Проверим корни на соответствие ОДЗ ($1,75 \le x \le 5,5$):

Корень $x_1 = 4$ удовлетворяет условию: $1,75 \le 4 \le 5,5$.

Корень $x_2 = 8$ не удовлетворяет условию, так как $8 > 5,5$. Это посторонний корень.

Следовательно, решением уравнения является только $x=4$.

Ответ: $x = 4$.

Помогло решение? Оставьте отзыв в комментариях ниже.

Присоединяйтесь к Телеграм-группе @gdz_by_belarus

Присоединиться

Мы подготовили для вас ответ c подробным объяснением домашего задания по алгебре за 11 класс, для упражнения номер 2.82 расположенного на странице 71 к учебнику 2020 года издания для учащихся школ и гимназий.

Теперь на нашем сайте ГДЗ.ТОП вы всегда легко и бесплатно найдёте условие с правильным ответом на вопрос «Как решить ДЗ» и «Как сделать» задание по алгебре к упражнению №2.82 (с. 71), авторов: Арефьева (Ирина Глебовна), Пирютко (Ольга Николаевна), учебного пособия издательства Народная асвета.