Номер 3.31, страница 110 - гдз по алгебре 11 класс учебник Арефьева, Пирютко

Алгебра, 11 класс Учебник, авторы: Арефьева Ирина Глебовна, Пирютко Ольга Николаевна, издательство Народная асвета, Минск, 2020, бирюзового цвета

Авторы: Арефьева И. Г., Пирютко О. Н.

Тип: Учебник

Издательство: Народная асвета

Год издания: 2020 - 2025

Цвет обложки: бирюзовый, зелёный с графиком

ISBN: 978-985-03-3165-6

Популярные ГДЗ в 11 классе

Глава 3. Логарифмическая функция. Параграф 7. Свойства логарифмов - номер 3.31, страница 110.

№3.31 (с. 110)
Условие. №3.31 (с. 110)
скриншот условия
Алгебра, 11 класс Учебник, авторы: Арефьева Ирина Глебовна, Пирютко Ольга Николаевна, издательство Народная асвета, Минск, 2020, бирюзового цвета, страница 110, номер 3.31, Условие

3.31. Найдите значение выражения:

a) $\log_3 (2 + \sqrt{3}) + \frac{1}{\log_{2 - \sqrt{3}} 3}$

б) $\log_3 (\sqrt{13} - 2) + \frac{1}{\log_{\sqrt{13} + 2} 3}$

Решение. №3.31 (с. 110)
Алгебра, 11 класс Учебник, авторы: Арефьева Ирина Глебовна, Пирютко Ольга Николаевна, издательство Народная асвета, Минск, 2020, бирюзового цвета, страница 110, номер 3.31, Решение
Решение 2. №3.31 (с. 110)

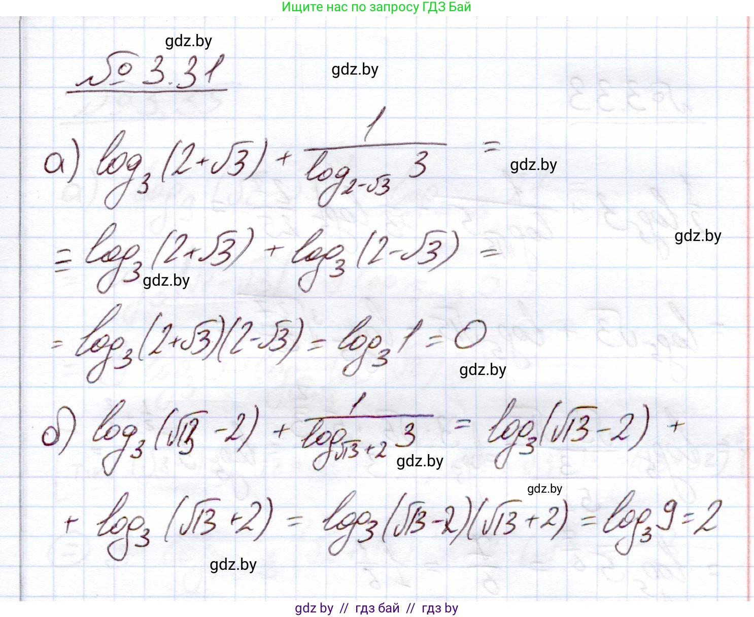
а) $\log_3(2 + \sqrt{3}) + \frac{1}{\log_{2 - \sqrt{3}}{3}}$

Для решения данного выражения воспользуемся свойством логарифма для перехода к новому основанию: $\frac{1}{\log_b a} = \log_a b$. Применим это свойство ко второму слагаемому:

$\frac{1}{\log_{2 - \sqrt{3}}{3}} = \log_3(2 - \sqrt{3})$

Теперь исходное выражение можно переписать в виде суммы логарифмов с одинаковым основанием:

$\log_3(2 + \sqrt{3}) + \log_3(2 - \sqrt{3})$

Далее используем свойство суммы логарифмов: $\log_c x + \log_c y = \log_c(xy)$.

$\log_3((2 + \sqrt{3})(2 - \sqrt{3}))$

Выражение в скобках является формулой разности квадратов $(a+b)(a-b)=a^2-b^2$. Вычислим его значение:

$(2 + \sqrt{3})(2 - \sqrt{3}) = 2^2 - (\sqrt{3})^2 = 4 - 3 = 1$

Подставим полученный результат обратно в логарифм:

$\log_3(1)$

Логарифм единицы по любому основанию (кроме 1) равен нулю.

$\log_3(1) = 0$

Ответ: 0


б) $\log_3(\sqrt{13} - 2) + \frac{1}{\log_{\sqrt{13} + 2}{3}}$

Решение этого примера аналогично предыдущему. Сначала преобразуем второе слагаемое, используя свойство $\frac{1}{\log_b a} = \log_a b$:

$\frac{1}{\log_{\sqrt{13} + 2}{3}} = \log_3(\sqrt{13} + 2)$

Теперь сложим логарифмы с одинаковым основанием:

$\log_3(\sqrt{13} - 2) + \log_3(\sqrt{13} + 2)$

Применим свойство суммы логарифмов $\log_c x + \log_c y = \log_c(xy)$:

$\log_3((\sqrt{13} - 2)(\sqrt{13} + 2))$

Вычислим произведение в скобках, используя формулу разности квадратов $(a-b)(a+b)=a^2-b^2$:

$(\sqrt{13} - 2)(\sqrt{13} + 2) = (\sqrt{13})^2 - 2^2 = 13 - 4 = 9$

Подставим результат в выражение:

$\log_3(9)$

Чтобы найти значение этого логарифма, представим 9 как степень числа 3:

$9 = 3^2$

Следовательно:

$\log_3(9) = \log_3(3^2) = 2$

Ответ: 2

Помогло решение? Оставьте отзыв в комментариях ниже.

Присоединяйтесь к Телеграм-группе @gdz_by_belarus

Присоединиться

Мы подготовили для вас ответ c подробным объяснением домашего задания по алгебре за 11 класс, для упражнения номер 3.31 расположенного на странице 110 к учебнику 2020 года издания для учащихся школ и гимназий.

Теперь на нашем сайте ГДЗ.ТОП вы всегда легко и бесплатно найдёте условие с правильным ответом на вопрос «Как решить ДЗ» и «Как сделать» задание по алгебре к упражнению №3.31 (с. 110), авторов: Арефьева (Ирина Глебовна), Пирютко (Ольга Николаевна), учебного пособия издательства Народная асвета.