Номер 3.35, страница 110 - гдз по алгебре 11 класс учебник Арефьева, Пирютко

Алгебра, 11 класс Учебник, авторы: Арефьева Ирина Глебовна, Пирютко Ольга Николаевна, издательство Народная асвета, Минск, 2020, бирюзового цвета

Авторы: Арефьева И. Г., Пирютко О. Н.

Тип: Учебник

Издательство: Народная асвета

Год издания: 2020 - 2025

Цвет обложки: бирюзовый, зелёный с графиком

ISBN: 978-985-03-3165-6

Популярные ГДЗ в 11 классе

Глава 3. Логарифмическая функция. Параграф 7. Свойства логарифмов - номер 3.35, страница 110.

№3.35 (с. 110)
Условие. №3.35 (с. 110)
скриншот условия
Алгебра, 11 класс Учебник, авторы: Арефьева Ирина Глебовна, Пирютко Ольга Николаевна, издательство Народная асвета, Минск, 2020, бирюзового цвета, страница 110, номер 3.35, Условие

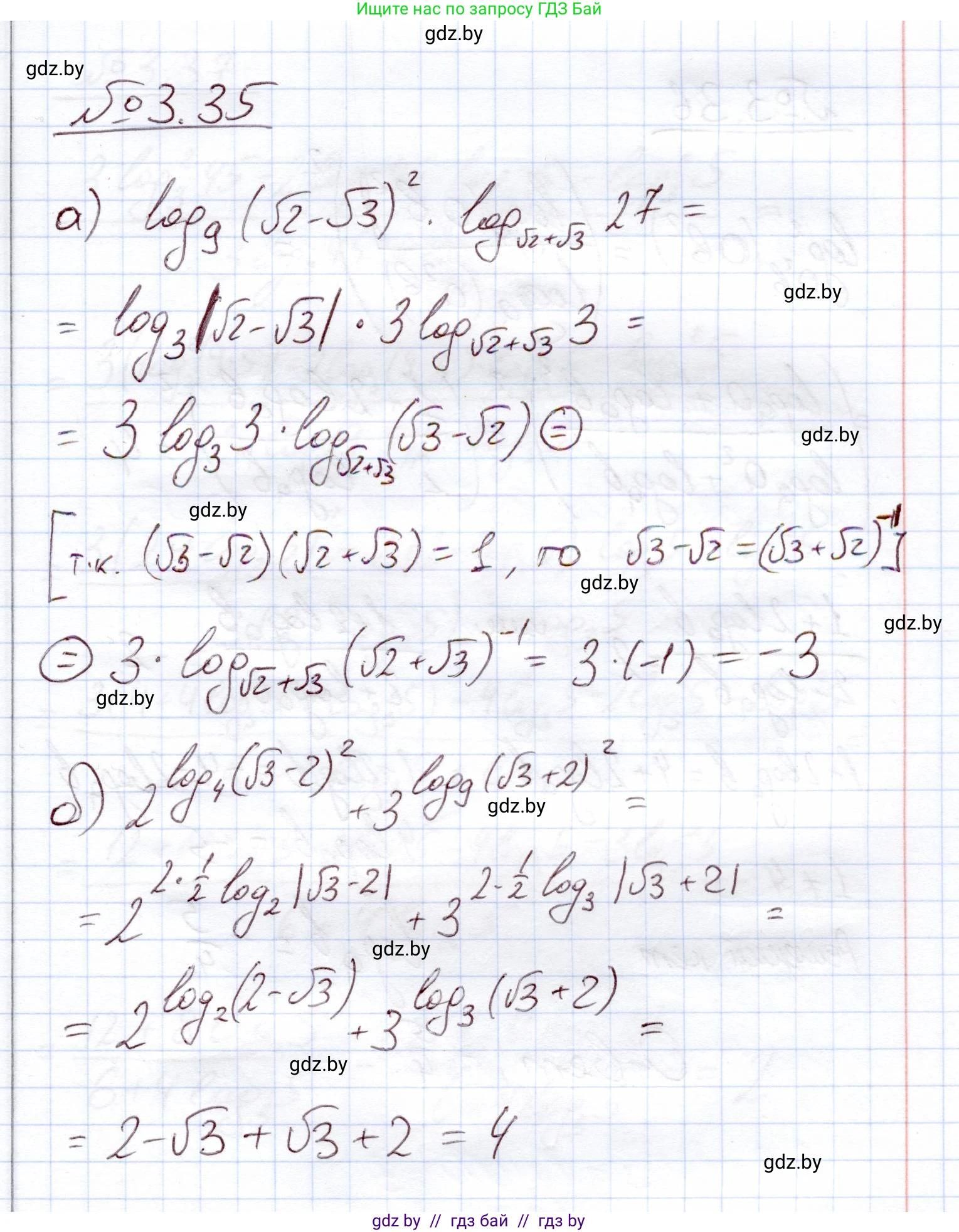
3.35*. Вычислите:

а) $\log_9((\sqrt{2} - \sqrt{3})^2) \cdot \log_{\sqrt{2} + \sqrt{3}} 27;$

б) $2^{\log_4 (\sqrt{3} - 2)^2} + 3^{\log_9 (\sqrt{3} + 2)^2}.$

Решение. №3.35 (с. 110)
Алгебра, 11 класс Учебник, авторы: Арефьева Ирина Глебовна, Пирютко Ольга Николаевна, издательство Народная асвета, Минск, 2020, бирюзового цвета, страница 110, номер 3.35, Решение
Решение 2. №3.35 (с. 110)

a) $\log_{9}(\sqrt{2}-\sqrt{3})^2 \cdot \log_{\sqrt{2}+\sqrt{3}}27$

Для решения данного выражения воспользуемся свойствами логарифмов.
1. Упростим первый множитель $\log_{9}(\sqrt{2}-\sqrt{3})^2$.
Используем свойство логарифма $\log_a b^c = c \log_a b$. Так как выражение под знаком логарифма должно быть положительным, получаем $\log_a b^{2c} = 2c \log_a|b|$.
$\log_{9}(\sqrt{2}-\sqrt{3})^2 = 2 \log_{9}|\sqrt{2}-\sqrt{3}|$.
Поскольку $\sqrt{3} > \sqrt{2}$, то $\sqrt{2}-\sqrt{3} < 0$, следовательно $|\sqrt{2}-\sqrt{3}| = -(\sqrt{2}-\sqrt{3}) = \sqrt{3}-\sqrt{2}$.
Получаем: $2 \log_{9}(\sqrt{3}-\sqrt{2})$.
Представим основание логарифма 9 как $3^2$ и воспользуемся свойством $\log_{a^k}b = \frac{1}{k}\log_a b$:
$2 \log_{3^2}(\sqrt{3}-\sqrt{2}) = 2 \cdot \frac{1}{2} \log_{3}(\sqrt{3}-\sqrt{2}) = \log_{3}(\sqrt{3}-\sqrt{2})$.

2. Упростим второй множитель $\log_{\sqrt{2}+\sqrt{3}}27$.
Представим 27 как $3^3$:
$\log_{\sqrt{2}+\sqrt{3}}27 = \log_{\sqrt{3}+\sqrt{2}}3^3 = 3\log_{\sqrt{3}+\sqrt{2}}3$.
Применим формулу перехода к новому основанию $\log_a b = \frac{1}{\log_b a}$:
$3\log_{\sqrt{3}+\sqrt{2}}3 = 3 \cdot \frac{1}{\log_3(\sqrt{3}+\sqrt{2})} = \frac{3}{\log_3(\sqrt{3}+\sqrt{2})}$.

3. Перемножим полученные выражения:
$\log_{3}(\sqrt{3}-\sqrt{2}) \cdot \frac{3}{\log_3(\sqrt{3}+\sqrt{2})}$.
Заметим, что выражения $\sqrt{3}-\sqrt{2}$ и $\sqrt{3}+\sqrt{2}$ являются сопряженными. Их произведение равно $(\sqrt{3}-\sqrt{2})(\sqrt{3}+\sqrt{2}) = (\sqrt{3})^2 - (\sqrt{2})^2 = 3-2=1$.
Отсюда следует, что $\sqrt{3}-\sqrt{2} = \frac{1}{\sqrt{3}+\sqrt{2}} = (\sqrt{3}+\sqrt{2})^{-1}$.
Подставим это в наш первый логарифм:
$\log_{3}(\sqrt{3}-\sqrt{2}) = \log_{3}((\sqrt{3}+\sqrt{2})^{-1}) = -1 \cdot \log_3(\sqrt{3}+\sqrt{2}) = -\log_3(\sqrt{3}+\sqrt{2})$.

4. Выполним финальное вычисление:
$(-\log_3(\sqrt{3}+\sqrt{2})) \cdot \frac{3}{\log_3(\sqrt{3}+\sqrt{2})} = -3$.
Логарифмы $\log_3(\sqrt{3}+\sqrt{2})$ сокращаются.

Ответ: -3

б) $2^{\log_4(\sqrt{3}-2)^2} + 3^{\log_9(\sqrt{3}+2)^2}$

Рассмотрим каждое слагаемое по отдельности.
1. Упростим первое слагаемое $2^{\log_4(\sqrt{3}-2)^2}$.
Сначала преобразуем показатель степени $\log_4(\sqrt{3}-2)^2$:
$\log_4(\sqrt{3}-2)^2 = 2\log_4|\sqrt{3}-2|$.
Так как $\sqrt{3} \approx 1.732$, то $\sqrt{3}-2 < 0$, и $|\sqrt{3}-2| = -(\sqrt{3}-2) = 2-\sqrt{3}$.
Получаем: $2\log_4(2-\sqrt{3})$.
Представим основание логарифма 4 как $2^2$:
$2\log_{2^2}(2-\sqrt{3}) = 2 \cdot \frac{1}{2}\log_2(2-\sqrt{3}) = \log_2(2-\sqrt{3})$.
Теперь подставим упрощенный показатель в исходное выражение:
$2^{\log_2(2-\sqrt{3})}$.
Используя основное логарифмическое тождество $a^{\log_a b} = b$, получаем:
$2^{\log_2(2-\sqrt{3})} = 2-\sqrt{3}$.

2. Упростим второе слагаемое $3^{\log_9(\sqrt{3}+2)^2}$.
Преобразуем показатель степени $\log_9(\sqrt{3}+2)^2$:
$\log_9(\sqrt{3}+2)^2 = 2\log_9|\sqrt{3}+2|$.
Так как $\sqrt{3}+2 > 0$, то $|\sqrt{3}+2| = \sqrt{3}+2$.
Получаем: $2\log_9(2+\sqrt{3})$.
Представим основание логарифма 9 как $3^2$:
$2\log_{3^2}(2+\sqrt{3}) = 2 \cdot \frac{1}{2}\log_3(2+\sqrt{3}) = \log_3(2+\sqrt{3})$.
Теперь подставим упрощенный показатель в исходное выражение:
$3^{\log_3(2+\sqrt{3})}$.
По основному логарифмическому тождеству:
$3^{\log_3(2+\sqrt{3})} = 2+\sqrt{3}$.

3. Сложим полученные результаты:
$(2-\sqrt{3}) + (2+\sqrt{3}) = 2 - \sqrt{3} + 2 + \sqrt{3} = 4$.

Ответ: 4

Помогло решение? Оставьте отзыв в комментариях ниже.

Присоединяйтесь к Телеграм-группе @gdz_by_belarus

Присоединиться

Мы подготовили для вас ответ c подробным объяснением домашего задания по алгебре за 11 класс, для упражнения номер 3.35 расположенного на странице 110 к учебнику 2020 года издания для учащихся школ и гимназий.

Теперь на нашем сайте ГДЗ.ТОП вы всегда легко и бесплатно найдёте условие с правильным ответом на вопрос «Как решить ДЗ» и «Как сделать» задание по алгебре к упражнению №3.35 (с. 110), авторов: Арефьева (Ирина Глебовна), Пирютко (Ольга Николаевна), учебного пособия издательства Народная асвета.