Номер 3.34, страница 110 - гдз по алгебре 11 класс учебник Арефьева, Пирютко

Алгебра, 11 класс Учебник, авторы: Арефьева Ирина Глебовна, Пирютко Ольга Николаевна, издательство Народная асвета, Минск, 2020, бирюзового цвета

Авторы: Арефьева И. Г., Пирютко О. Н.

Тип: Учебник

Издательство: Народная асвета

Год издания: 2020 - 2025

Цвет обложки: бирюзовый, зелёный с графиком

ISBN: 978-985-03-3165-6

Популярные ГДЗ в 11 классе

Глава 3. Логарифмическая функция. Параграф 7. Свойства логарифмов - номер 3.34, страница 110.

№3.34 (с. 110)
Условие. №3.34 (с. 110)
скриншот условия
Алгебра, 11 класс Учебник, авторы: Арефьева Ирина Глебовна, Пирютко Ольга Николаевна, издательство Народная асвета, Минск, 2020, бирюзового цвета, страница 110, номер 3.34, Условие

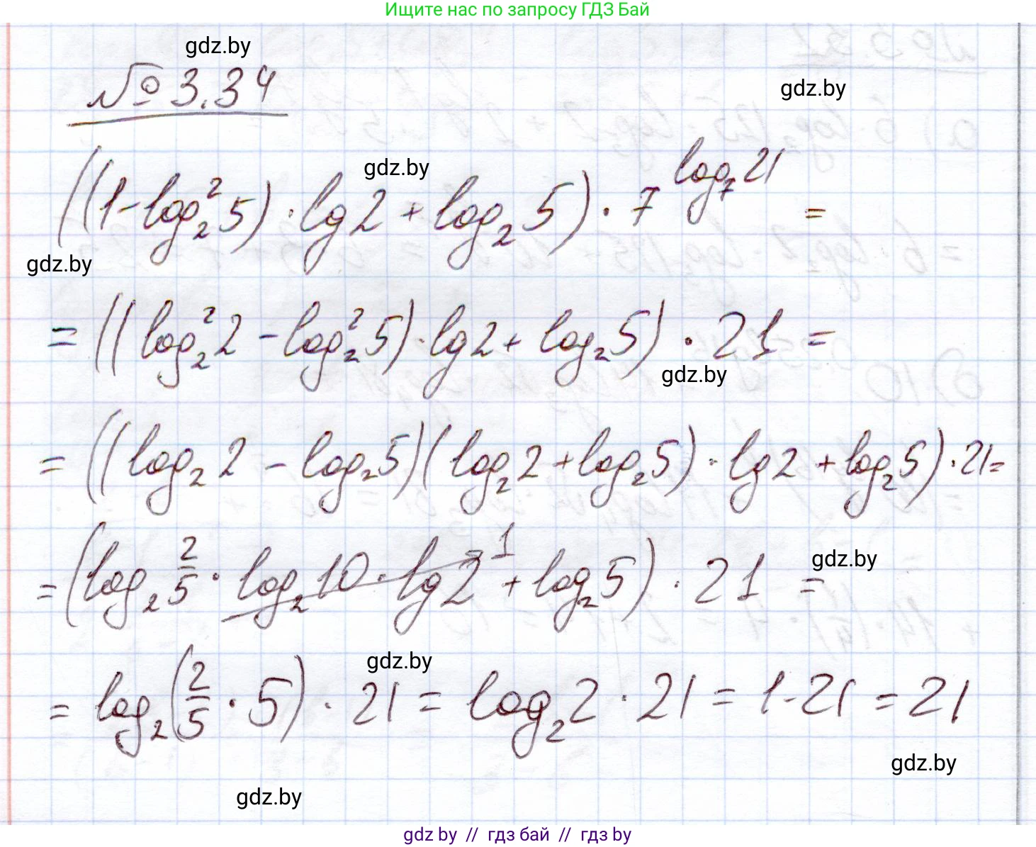
3.34* Найдите значение выражения $((1 - \log_2^2 5) \cdot \lg 2 + \log_2 5) \cdot 7^{\log_7 21}$.

Решение. №3.34 (с. 110)
Алгебра, 11 класс Учебник, авторы: Арефьева Ирина Глебовна, Пирютко Ольга Николаевна, издательство Народная асвета, Минск, 2020, бирюзового цвета, страница 110, номер 3.34, Решение
Решение 2. №3.34 (с. 110)

Для нахождения значения данного выражения, проанализируем и упростим его по частям. Выражение состоит из двух множителей:

Первый множитель: $((1 - \log_2^2 5) \cdot \lg 2 + \log_2 5)$

Второй множитель: $7^{\log_7 21}$

Начнем с упрощения второго множителя, используя основное логарифмическое тождество $a^{\log_a b} = b$.

$7^{\log_7 21} = 21$

Теперь перейдем к первому, более сложному множителю: $(1 - \log_2^2 5) \cdot \lg 2 + \log_2 5$.
Здесь $\lg 2$ обозначает десятичный логарифм $\log_{10} 2$, а $\log_2^2 5$ — это $(\log_2 5)^2$. Чтобы упростить выражение, приведем логарифмы к одному основанию. Наиболее удобным здесь будет основание 2. Воспользуемся формулой перехода к новому основанию логарифма $\log_a b = \frac{\log_c b}{\log_c a}$ для преобразования $\lg 2$.

$\lg 2 = \log_{10} 2 = \frac{\log_2 2}{\log_2 10}$

Мы знаем, что $\log_2 2 = 1$. Знаменатель $\log_2 10$ можно разложить, используя свойство логарифма произведения $\log_c(xy) = \log_c x + \log_c y$:

$\log_2 10 = \log_2 (2 \cdot 5) = \log_2 2 + \log_2 5 = 1 + \log_2 5$

Таким образом, выражение для $\lg 2$ принимает вид:

$\lg 2 = \frac{1}{1 + \log_2 5}$

Теперь подставим это в выражение для первого множителя:

$(1 - \log_2^2 5) \cdot \frac{1}{1 + \log_2 5} + \log_2 5$

Выражение $(1 - \log_2^2 5)$ представляет собой разность квадратов, которую можно разложить по формуле $a^2 - b^2 = (a-b)(a+b)$:

$1 - \log_2^2 5 = (1 - \log_2 5)(1 + \log_2 5)$

Подставим это разложение обратно в выражение:

$\frac{(1 - \log_2 5)(1 + \log_2 5)}{1 + \log_2 5} + \log_2 5$

Так как $1 + \log_2 5 \neq 0$, мы можем сократить дробь на этот множитель:

$(1 - \log_2 5) + \log_2 5$

После приведения подобных слагаемых получаем:

$1 - \log_2 5 + \log_2 5 = 1$

Итак, значение первого множителя равно 1.

На последнем шаге перемножим значения двух множителей:

$1 \cdot 21 = 21$

Ответ: 21

Помогло решение? Оставьте отзыв в комментариях ниже.

Присоединяйтесь к Телеграм-группе @gdz_by_belarus

Присоединиться

Мы подготовили для вас ответ c подробным объяснением домашего задания по алгебре за 11 класс, для упражнения номер 3.34 расположенного на странице 110 к учебнику 2020 года издания для учащихся школ и гимназий.

Теперь на нашем сайте ГДЗ.ТОП вы всегда легко и бесплатно найдёте условие с правильным ответом на вопрос «Как решить ДЗ» и «Как сделать» задание по алгебре к упражнению №3.34 (с. 110), авторов: Арефьева (Ирина Глебовна), Пирютко (Ольга Николаевна), учебного пособия издательства Народная асвета.