Номер 127, страница 180 - гдз по алгебре 11 класс учебник Арефьева, Пирютко

Алгебра, 11 класс Учебник, авторы: Арефьева Ирина Глебовна, Пирютко Ольга Николаевна, издательство Народная асвета, Минск, 2020, бирюзового цвета

Авторы: Арефьева И. Г., Пирютко О. Н.

Тип: Учебник

Издательство: Народная асвета

Год издания: 2020 - 2025

Цвет обложки: бирюзовый, зелёный с графиком

ISBN: 978-985-03-3165-6

Популярные ГДЗ в 11 классе

Упражнения для итогового повторения. Выражения и их преобразования - номер 127, страница 180.

№127 (с. 180)
Условие. №127 (с. 180)
скриншот условия
Алгебра, 11 класс Учебник, авторы: Арефьева Ирина Глебовна, Пирютко Ольга Николаевна, издательство Народная асвета, Минск, 2020, бирюзового цвета, страница 180, номер 127, Условие Алгебра, 11 класс Учебник, авторы: Арефьева Ирина Глебовна, Пирютко Ольга Николаевна, издательство Народная асвета, Минск, 2020, бирюзового цвета, страница 180, номер 127, Условие (продолжение 2)

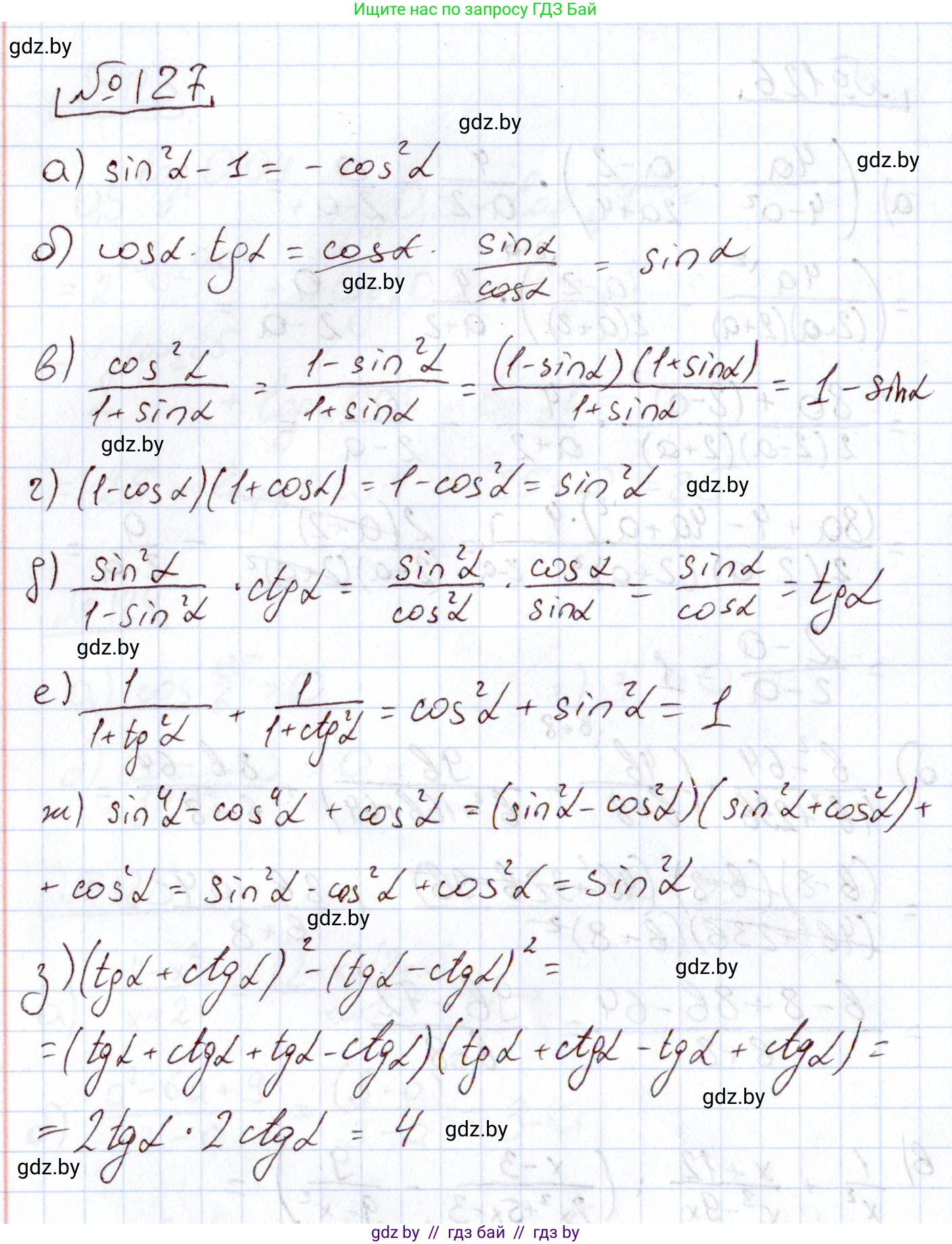
127. Воспользуйтесь соотношениями между тригонометрическими функциями одного и того же угла и упростите выражение:

а) $\sin^2 \alpha - 1$

б) $\cos \alpha \cdot \operatorname{tg} \alpha$

в) $\frac{\cos^2 \alpha}{1+\sin \alpha}$

г) $(1 - \cos \alpha)(1 + \cos \alpha)$

д) $\frac{\sin^2 \alpha}{1 - \sin^2 \alpha} \cdot \operatorname{ctg} \alpha$

е) $\frac{1}{1+\operatorname{tg}^2 \alpha} + \frac{1}{1+\operatorname{ctg}^2 \alpha}$

ж) $\sin^4 \alpha - \cos^4 \alpha + \cos^2 \alpha$

з) $(\operatorname{tg} \alpha + \operatorname{ctg} \alpha)^2 - (\operatorname{tg} \alpha - \operatorname{ctg} \alpha)^2$

Решение. №127 (с. 180)
Алгебра, 11 класс Учебник, авторы: Арефьева Ирина Глебовна, Пирютко Ольга Николаевна, издательство Народная асвета, Минск, 2020, бирюзового цвета, страница 180, номер 127, Решение
Решение 2. №127 (с. 180)

а) $sin^2 \alpha - 1$

Воспользуемся основным тригонометрическим тождеством $sin^2 \alpha + cos^2 \alpha = 1$. Выразим из него $sin^2 \alpha - 1$. Для этого перенесем 1 влево, а $cos^2 \alpha$ вправо:

$sin^2 \alpha - 1 = -cos^2 \alpha$.

Ответ: $-cos^2 \alpha$.

б) $cos \alpha \cdot tg \alpha$

Используем определение тангенса: $tg \alpha = \frac{sin \alpha}{cos \alpha}$. Подставим это в исходное выражение:

$cos \alpha \cdot tg \alpha = cos \alpha \cdot \frac{sin \alpha}{cos \alpha}$

При условии, что $cos \alpha \neq 0$, мы можем сократить $cos \alpha$ в числителе и знаменателе:

$cos \alpha \cdot \frac{sin \alpha}{cos \alpha} = sin \alpha$.

Ответ: $sin \alpha$.

в) $\frac{cos^2 \alpha}{1 + sin \alpha}$

Из основного тригонометрического тождества $sin^2 \alpha + cos^2 \alpha = 1$ выразим $cos^2 \alpha = 1 - sin^2 \alpha$. Подставим это в числитель дроби:

$\frac{1 - sin^2 \alpha}{1 + sin \alpha}$

Разложим числитель по формуле разности квадратов $a^2 - b^2 = (a-b)(a+b)$:

$\frac{(1 - sin \alpha)(1 + sin \alpha)}{1 + sin \alpha}$

При условии, что $1 + sin \alpha \neq 0$, сокращаем общий множитель $(1 + sin \alpha)$:

$1 - sin \alpha$.

Ответ: $1 - sin \alpha$.

г) $(1 - cos \alpha)(1 + cos \alpha)$

Применим формулу разности квадратов $(a - b)(a + b) = a^2 - b^2$:

$(1 - cos \alpha)(1 + cos \alpha) = 1^2 - cos^2 \alpha = 1 - cos^2 \alpha$.

Из основного тригонометрического тождества $sin^2 \alpha + cos^2 \alpha = 1$ следует, что $1 - cos^2 \alpha = sin^2 \alpha$.

Ответ: $sin^2 \alpha$.

д) $\frac{sin^2 \alpha}{1 - sin^2 \alpha} \cdot ctg \alpha$

Заменим знаменатель $1 - sin^2 \alpha$ на $cos^2 \alpha$ согласно основному тригонометрическому тождеству:

$\frac{sin^2 \alpha}{cos^2 \alpha} \cdot ctg \alpha$

Дробь $\frac{sin^2 \alpha}{cos^2 \alpha}$ является квадратом тангенса, то есть $tg^2 \alpha$. Также используем определение котангенса $ctg \alpha = \frac{cos \alpha}{sin \alpha}$:

$tg^2 \alpha \cdot ctg \alpha = (\frac{sin \alpha}{cos \alpha})^2 \cdot \frac{cos \alpha}{sin \alpha} = \frac{sin^2 \alpha}{cos^2 \alpha} \cdot \frac{cos \alpha}{sin \alpha}$

Сокращаем общие множители $sin \alpha$ и $cos \alpha$:

$\frac{sin \alpha}{cos \alpha} = tg \alpha$.

Ответ: $tg \alpha$.

е) $\frac{1}{1 + tg^2 \alpha} + \frac{1}{1 + ctg^2 \alpha}$

Используем известные тригонометрические тождества: $1 + tg^2 \alpha = \frac{1}{cos^2 \alpha}$ и $1 + ctg^2 \alpha = \frac{1}{sin^2 \alpha}$. Подставим их в выражение:

$\frac{1}{\frac{1}{cos^2 \alpha}} + \frac{1}{\frac{1}{sin^2 \alpha}}$

Упрощаем "многоэтажные" дроби:

$cos^2 \alpha + sin^2 \alpha$

Согласно основному тригонометрическому тождеству, данное выражение равно 1.

Ответ: $1$.

ж) $sin^4 \alpha - cos^4 \alpha + cos^2 \alpha$

Рассмотрим первую часть выражения $sin^4 \alpha - cos^4 \alpha$ как разность квадратов $(sin^2 \alpha)^2 - (cos^2 \alpha)^2$:

$(sin^2 \alpha - cos^2 \alpha)(sin^2 \alpha + cos^2 \alpha)$

Поскольку $sin^2 \alpha + cos^2 \alpha = 1$, выражение упрощается до $sin^2 \alpha - cos^2 \alpha$.

Теперь подставим полученный результат обратно в исходное выражение:

$(sin^2 \alpha - cos^2 \alpha) + cos^2 \alpha = sin^2 \alpha - cos^2 \alpha + cos^2 \alpha = sin^2 \alpha$.

Ответ: $sin^2 \alpha$.

з) $(tg \alpha + ctg \alpha)^2 - (tg \alpha - ctg \alpha)^2$

Воспользуемся формулой сокращенного умножения для разности квадратов: $(a+b)^2 - (a-b)^2 = 4ab$.

В нашем случае $a = tg \alpha$ и $b = ctg \alpha$. Тогда выражение равно:

$4 \cdot tg \alpha \cdot ctg \alpha$

Так как тангенс и котангенс являются взаимно обратными функциями, их произведение $tg \alpha \cdot ctg \alpha = 1$ (при условии, что $tg \alpha$ и $ctg \alpha$ определены).

Следовательно, $4 \cdot 1 = 4$.

Ответ: $4$.

Помогло решение? Оставьте отзыв в комментариях ниже.

Присоединяйтесь к Телеграм-группе @gdz_by_belarus

Присоединиться

Мы подготовили для вас ответ c подробным объяснением домашего задания по алгебре за 11 класс, для упражнения номер 127 расположенного на странице 180 к учебнику 2020 года издания для учащихся школ и гимназий.

Теперь на нашем сайте ГДЗ.ТОП вы всегда легко и бесплатно найдёте условие с правильным ответом на вопрос «Как решить ДЗ» и «Как сделать» задание по алгебре к упражнению №127 (с. 180), авторов: Арефьева (Ирина Глебовна), Пирютко (Ольга Николаевна), учебного пособия издательства Народная асвета.