Номер 126, страница 180 - гдз по алгебре 11 класс учебник Арефьева, Пирютко

Алгебра, 11 класс Учебник, авторы: Арефьева Ирина Глебовна, Пирютко Ольга Николаевна, издательство Народная асвета, Минск, 2020, бирюзового цвета

Авторы: Арефьева И. Г., Пирютко О. Н.

Тип: Учебник

Издательство: Народная асвета

Год издания: 2020 - 2025

Цвет обложки: бирюзовый, зелёный с графиком

ISBN: 978-985-03-3165-6

Популярные ГДЗ в 11 классе

Упражнения для итогового повторения. Выражения и их преобразования - номер 126, страница 180.

№126 (с. 180)
Условие. №126 (с. 180)
скриншот условия
Алгебра, 11 класс Учебник, авторы: Арефьева Ирина Глебовна, Пирютко Ольга Николаевна, издательство Народная асвета, Минск, 2020, бирюзового цвета, страница 180, номер 126, Условие

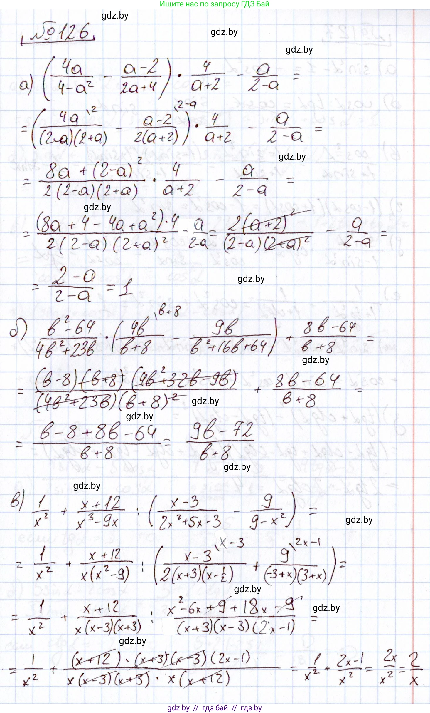
126. Выполните действия:

a) $(\frac{4a}{4-a^2} - \frac{a-2}{2a+4}) \cdot \frac{4}{a+2} - \frac{a}{2-a};$

б) $\frac{b^2-64}{4b^2+23b} \cdot (\frac{4b}{b+8} - \frac{9b}{b^2+16b+64}) + \frac{8b-64}{b+8};$

В) $\frac{1}{x^2} + \frac{x+12}{x^3-9x} : (\frac{x-3}{2x^2+5x-3} - \frac{9}{9-x^2}).$

Решение. №126 (с. 180)
Алгебра, 11 класс Учебник, авторы: Арефьева Ирина Глебовна, Пирютко Ольга Николаевна, издательство Народная асвета, Минск, 2020, бирюзового цвета, страница 180, номер 126, Решение
Решение 2. №126 (с. 180)
а)

Выполним действия по порядку: $ \left(\frac{4a}{4-a^2} - \frac{a-2}{2a+4}\right) \cdot \frac{4}{a+2} - \frac{a}{2-a} $

1. Упростим выражение в скобках. Для этого разложим знаменатели на множители и приведем дроби к общему знаменателю.

$4-a^2 = (2-a)(2+a)$

$2a+4 = 2(a+2)$

Заметим, что $a-2 = -(2-a)$.

$ \frac{4a}{(2-a)(2+a)} - \frac{a-2}{2(a+2)} = \frac{4a}{(2-a)(2+a)} - \frac{-(2-a)}{2(a+2)} = \frac{4a}{(2-a)(a+2)} + \frac{2-a}{2(a+2)} $

Общий знаменатель $2(2-a)(a+2)$.

$ \frac{4a \cdot 2}{2(2-a)(a+2)} + \frac{(2-a)(2-a)}{2(a+2)(2-a)} = \frac{8a + (2-a)^2}{2(2-a)(a+2)} = \frac{8a + 4 - 4a + a^2}{2(2-a)(a+2)} = \frac{a^2+4a+4}{2(2-a)(a+2)} $

Числитель $a^2+4a+4$ является полным квадратом $(a+2)^2$.

$ \frac{(a+2)^2}{2(2-a)(a+2)} = \frac{a+2}{2(2-a)} $

2. Теперь выполним умножение.

$ \frac{a+2}{2(2-a)} \cdot \frac{4}{a+2} = \frac{4(a+2)}{2(2-a)(a+2)} $

Сокращаем на $2$ и $(a+2)$:

$ \frac{2}{2-a} $

3. Выполним вычитание.

$ \frac{2}{2-a} - \frac{a}{2-a} = \frac{2-a}{2-a} = 1 $

Ответ: $1$

б)

Выполним действия по порядку: $ \frac{b^2 - 64}{4b^2 + 23b} \cdot \left(\frac{4b}{b+8} - \frac{9b}{b^2 + 16b + 64}\right) + \frac{8b - 64}{b+8} $

1. Упростим выражение в скобках. Знаменатель $b^2+16b+64$ является полным квадратом $(b+8)^2$.

$ \frac{4b}{b+8} - \frac{9b}{(b+8)^2} = \frac{4b(b+8)}{(b+8)^2} - \frac{9b}{(b+8)^2} = \frac{4b^2+32b-9b}{(b+8)^2} = \frac{4b^2+23b}{(b+8)^2} $

2. Выполним умножение. Разложим на множители числитель и знаменатель первой дроби: $ \frac{b^2-64}{4b^2+23b} = \frac{(b-8)(b+8)}{b(4b+23)} $

$ \frac{(b-8)(b+8)}{b(4b+23)} \cdot \frac{4b^2+23b}{(b+8)^2} = \frac{(b-8)(b+8)}{b(4b+23)} \cdot \frac{b(4b+23)}{(b+8)^2} $

Сокращаем общие множители $b(4b+23)$ и $(b+8)$:

$ \frac{b-8}{b+8} $

3. Выполним сложение:

$ \frac{b-8}{b+8} + \frac{8b-64}{b+8} = \frac{b-8 + (8b-64)}{b+8} = \frac{b-8+8b-64}{b+8} = \frac{9b-72}{b+8} = \frac{9(b-8)}{b+8} $

Ответ: $\frac{9(b-8)}{b+8}$

в)

Выполним действия по порядку: $ \left(\frac{1}{x^2} + \frac{x+12}{x^3 - 9x}\right) : \left(\frac{x-3}{2x^2+5x-3} - \frac{9}{9-x^2}\right) $

1. Преобразуем выражение в первых скобках. Разложим знаменатель $x^3-9x = x(x^2-9) = x(x-3)(x+3)$.

$ \frac{1}{x^2} + \frac{x+12}{x(x-3)(x+3)} = \frac{1 \cdot (x^2-9) + x(x+12)}{x^2(x-3)(x+3)} = \frac{x^2-9+x^2+12x}{x^2(x-3)(x+3)} = \frac{2x^2+12x-9}{x^2(x-3)(x+3)} $

2. Преобразуем выражение во вторых скобках. Разложим знаменатели на множители.

Для $2x^2+5x-3$ найдем корни: $x = \frac{-5 \pm \sqrt{25-4(2)(-3)}}{4} = \frac{-5 \pm 7}{4}$. Корни $x_1=1/2$ и $x_2=-3$. Тогда $2x^2+5x-3=2(x-1/2)(x+3)=(2x-1)(x+3)$.

Знаменатель $9-x^2 = (3-x)(3+x) = -(x-3)(x+3)$.

$ \frac{x-3}{(2x-1)(x+3)} - \frac{9}{-(x-3)(x+3)} = \frac{x-3}{(2x-1)(x+3)} + \frac{9}{(x-3)(x+3)} $

Общий знаменатель $(2x-1)(x+3)(x-3)$.

$ \frac{(x-3)(x-3) + 9(2x-1)}{(2x-1)(x+3)(x-3)} = \frac{x^2-6x+9 + 18x-9}{(2x-1)(x+3)(x-3)} = \frac{x^2+12x}{(2x-1)(x-3)(x+3)} = \frac{x(x+12)}{(2x-1)(x-3)(x+3)} $

3. Выполним деление (заменим на умножение на обратную дробь).

$ \frac{2x^2+12x-9}{x^2(x-3)(x+3)} : \frac{x(x+12)}{(2x-1)(x-3)(x+3)} = \frac{2x^2+12x-9}{x^2(x-3)(x+3)} \cdot \frac{(2x-1)(x-3)(x+3)}{x(x+12)} $

Сокращаем общие множители $(x-3)$ и $(x+3)$:

$ \frac{2x^2+12x-9}{x^2} \cdot \frac{2x-1}{x(x+12)} = \frac{(2x^2+12x-9)(2x-1)}{x^3(x+12)} $

Ответ: $\frac{(2x^2+12x-9)(2x-1)}{x^3(x+12)}$

Помогло решение? Оставьте отзыв в комментариях ниже.

Присоединяйтесь к Телеграм-группе @gdz_by_belarus

Присоединиться

Мы подготовили для вас ответ c подробным объяснением домашего задания по алгебре за 11 класс, для упражнения номер 126 расположенного на странице 180 к учебнику 2020 года издания для учащихся школ и гимназий.

Теперь на нашем сайте ГДЗ.ТОП вы всегда легко и бесплатно найдёте условие с правильным ответом на вопрос «Как решить ДЗ» и «Как сделать» задание по алгебре к упражнению №126 (с. 180), авторов: Арефьева (Ирина Глебовна), Пирютко (Ольга Николаевна), учебного пособия издательства Народная асвета.