Номер 15, страница 167 - гдз по алгебре 11 класс учебник Арефьева, Пирютко

Алгебра, 11 класс Учебник, авторы: Арефьева Ирина Глебовна, Пирютко Ольга Николаевна, издательство Народная асвета, Минск, 2020, бирюзового цвета

Авторы: Арефьева И. Г., Пирютко О. Н.

Тип: Учебник

Издательство: Народная асвета

Год издания: 2020 - 2025

Цвет обложки: бирюзовый, зелёный с графиком

ISBN: 978-985-03-3165-6

Популярные ГДЗ в 11 классе

Упражнения для итогового повторения. Числа и вычисления - номер 15, страница 167.

№15 (с. 167)
Условие. №15 (с. 167)
скриншот условия
Алгебра, 11 класс Учебник, авторы: Арефьева Ирина Глебовна, Пирютко Ольга Николаевна, издательство Народная асвета, Минск, 2020, бирюзового цвета, страница 167, номер 15, Условие

15. С помощью формул сложения вычислите:

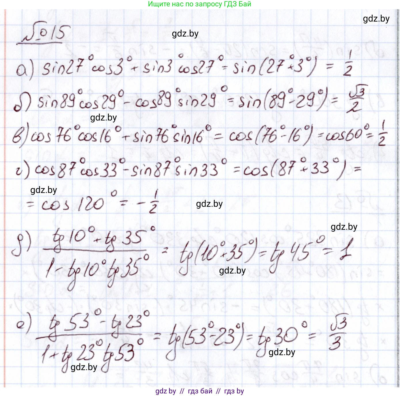
a) $\sin 27^\circ \cos 3^\circ + \sin 3^\circ \cos 27^\circ;$

б) $\sin 89^\circ \cos 29^\circ - \cos 89^\circ \sin 29^\circ;$

в) $\cos 76^\circ \cos 16^\circ + \sin 76^\circ \sin 16^\circ;$

г) $\cos 87^\circ \cos 33^\circ - \sin 87^\circ \sin 33^\circ;$

д) $\frac{\operatorname{tg} 10^\circ + \operatorname{tg} 35^\circ}{1 - \operatorname{tg} 10^\circ \operatorname{tg} 35^\circ};$

е) $\frac{\operatorname{tg} 53^\circ - \operatorname{tg} 23^\circ}{1 + \operatorname{tg} 53^\circ \operatorname{tg} 23^\circ};$

Решение. №15 (с. 167)
Алгебра, 11 класс Учебник, авторы: Арефьева Ирина Глебовна, Пирютко Ольга Николаевна, издательство Народная асвета, Минск, 2020, бирюзового цвета, страница 167, номер 15, Решение
Решение 2. №15 (с. 167)

а) Исходное выражение $ \sin27^\circ\cos3^\circ + \sin3^\circ\cos27^\circ $ соответствует правой части формулы синуса суммы: $ \sin(\alpha + \beta) = \sin\alpha\cos\beta + \cos\alpha\sin\beta $.
Применим эту формулу, где $ \alpha = 27^\circ $ и $ \beta = 3^\circ $:
$ \sin(27^\circ + 3^\circ) = \sin(30^\circ) $.
Значение синуса 30 градусов является табличным: $ \sin(30^\circ) = \frac{1}{2} $.
Ответ: $ \frac{1}{2} $.

б) Исходное выражение $ \sin89^\circ\cos29^\circ - \cos89^\circ\sin29^\circ $ соответствует правой части формулы синуса разности: $ \sin(\alpha - \beta) = \sin\alpha\cos\beta - \cos\alpha\sin\beta $.
Применим эту формулу, где $ \alpha = 89^\circ $ и $ \beta = 29^\circ $:
$ \sin(89^\circ - 29^\circ) = \sin(60^\circ) $.
Значение синуса 60 градусов является табличным: $ \sin(60^\circ) = \frac{\sqrt{3}}{2} $.
Ответ: $ \frac{\sqrt{3}}{2} $.

в) Исходное выражение $ \cos76^\circ\cos16^\circ + \sin76^\circ\sin16^\circ $ соответствует правой части формулы косинуса разности: $ \cos(\alpha - \beta) = \cos\alpha\cos\beta + \sin\alpha\sin\beta $.
Применим эту формулу, где $ \alpha = 76^\circ $ и $ \beta = 16^\circ $:
$ \cos(76^\circ - 16^\circ) = \cos(60^\circ) $.
Значение косинуса 60 градусов является табличным: $ \cos(60^\circ) = \frac{1}{2} $.
Ответ: $ \frac{1}{2} $.

г) Исходное выражение $ \cos87^\circ\cos33^\circ - \sin87^\circ\sin33^\circ $ соответствует правой части формулы косинуса суммы: $ \cos(\alpha + \beta) = \cos\alpha\cos\beta - \sin\alpha\sin\beta $.
Применим эту формулу, где $ \alpha = 87^\circ $ и $ \beta = 33^\circ $:
$ \cos(87^\circ + 33^\circ) = \cos(120^\circ) $.
Чтобы найти значение $ \cos(120^\circ) $, воспользуемся формулой приведения $ \cos(180^\circ - \alpha) = -\cos\alpha $: $ \cos(120^\circ) = \cos(180^\circ - 60^\circ) = -\cos(60^\circ) = -\frac{1}{2} $.
Ответ: $ -\frac{1}{2} $.

д) Исходное выражение $ \frac{\mathrm{tg}10^\circ + \mathrm{tg}35^\circ}{1 - \mathrm{tg}10^\circ\mathrm{tg}35^\circ} $ соответствует правой части формулы тангенса суммы: $ \mathrm{tg}(\alpha + \beta) = \frac{\mathrm{tg}\alpha + \mathrm{tg}\beta}{1 - \mathrm{tg}\alpha\mathrm{tg}\beta} $.
Применим эту формулу, где $ \alpha = 10^\circ $ и $ \beta = 35^\circ $:
$ \mathrm{tg}(10^\circ + 35^\circ) = \mathrm{tg}(45^\circ) $.
Значение тангенса 45 градусов является табличным: $ \mathrm{tg}(45^\circ) = 1 $.
Ответ: $ 1 $.

е) Исходное выражение $ \frac{\mathrm{tg}53^\circ - \mathrm{tg}23^\circ}{1 + \mathrm{tg}53^\circ\mathrm{tg}23^\circ} $ соответствует правой части формулы тангенса разности: $ \mathrm{tg}(\alpha - \beta) = \frac{\mathrm{tg}\alpha - \mathrm{tg}\beta}{1 + \mathrm{tg}\alpha\mathrm{tg}\beta} $.
Применим эту формулу, где $ \alpha = 53^\circ $ и $ \beta = 23^\circ $:
$ \mathrm{tg}(53^\circ - 23^\circ) = \mathrm{tg}(30^\circ) $.
Значение тангенса 30 градусов является табличным: $ \mathrm{tg}(30^\circ) = \frac{\sqrt{3}}{3} $.
Ответ: $ \frac{\sqrt{3}}{3} $.

Помогло решение? Оставьте отзыв в комментариях ниже.

Присоединяйтесь к Телеграм-группе @gdz_by_belarus

Присоединиться

Мы подготовили для вас ответ c подробным объяснением домашего задания по алгебре за 11 класс, для упражнения номер 15 расположенного на странице 167 к учебнику 2020 года издания для учащихся школ и гимназий.

Теперь на нашем сайте ГДЗ.ТОП вы всегда легко и бесплатно найдёте условие с правильным ответом на вопрос «Как решить ДЗ» и «Как сделать» задание по алгебре к упражнению №15 (с. 167), авторов: Арефьева (Ирина Глебовна), Пирютко (Ольга Николаевна), учебного пособия издательства Народная асвета.