Номер 8, страница 166 - гдз по алгебре 11 класс учебник Арефьева, Пирютко

Алгебра, 11 класс Учебник, авторы: Арефьева Ирина Глебовна, Пирютко Ольга Николаевна, издательство Народная асвета, Минск, 2020, бирюзового цвета

Авторы: Арефьева И. Г., Пирютко О. Н.

Тип: Учебник

Издательство: Народная асвета

Год издания: 2020 - 2025

Цвет обложки: бирюзовый, зелёный с графиком

ISBN: 978-985-03-3165-6

Популярные ГДЗ в 11 классе

Упражнения для итогового повторения. Числа и вычисления - номер 8, страница 166.

№8 (с. 166)
Условие. №8 (с. 166)
скриншот условия
Алгебра, 11 класс Учебник, авторы: Арефьева Ирина Глебовна, Пирютко Ольга Николаевна, издательство Народная асвета, Минск, 2020, бирюзового цвета, страница 166, номер 8, Условие

8. Найдите значение выражения:

а) $2\sin(-2\pi) + \cos\left(-\frac{\pi}{2}\right);$

б) $\sin\left(-\frac{\pi}{2}\right) \cdot \cos\pi + \cos2\pi;$

в) $\sin\frac{3\pi}{2} + \sin\left(-\frac{\pi}{6}\right);$

г) $\operatorname{tg}\pi + \sin^2\frac{\pi}{4};$

д) $-\operatorname{tg}2\pi + \cos^2\frac{\pi}{3};$

е) $3\cos(-5\pi) + \operatorname{tg}\frac{\pi}{3} \cdot \cos\frac{\pi}{6}.$

Решение. №8 (с. 166)
Алгебра, 11 класс Учебник, авторы: Арефьева Ирина Глебовна, Пирютко Ольга Николаевна, издательство Народная асвета, Минск, 2020, бирюзового цвета, страница 166, номер 8, Решение
Решение 2. №8 (с. 166)

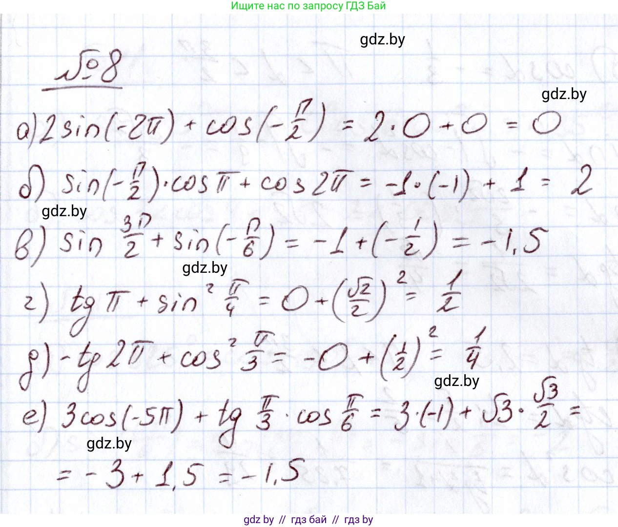
а) $2\sin(-2\pi) + \cos(-\frac{\pi}{2})$

Для решения используем свойства тригонометрических функций. Синус - нечетная функция, поэтому $\sin(-x) = -\sin(x)$. Косинус - четная функция, поэтому $\cos(-x) = \cos(x)$. Применяем эти свойства к выражению:

$2\sin(-2\pi) = -2\sin(2\pi)$

$\cos(-\frac{\pi}{2}) = \cos(\frac{\pi}{2})$

Теперь подставим известные значения тригонометрических функций:

$\sin(2\pi) = 0$

$\cos(\frac{\pi}{2}) = 0$

Подставляем эти значения в исходное выражение:

$2 \cdot (-\sin(2\pi)) + \cos(\frac{\pi}{2}) = -2 \cdot 0 + 0 = 0 + 0 = 0$.

Ответ: 0

б) $\sin(-\frac{\pi}{2}) \cdot \cos\pi + \cos(2\pi)$

Используем свойство нечетности синуса $\sin(-\frac{\pi}{2}) = -\sin(\frac{\pi}{2})$. Подставим известные значения тригонометрических функций:

$\sin(\frac{\pi}{2}) = 1$, следовательно $\sin(-\frac{\pi}{2}) = -1$.

$\cos\pi = -1$.

$\cos(2\pi) = 1$.

Подставляем значения в выражение:

$(-1) \cdot (-1) + 1 = 1 + 1 = 2$.

Ответ: 2

в) $\sin\frac{3\pi}{2} + \sin(-\frac{\pi}{6})$

Используем свойство нечетности синуса $\sin(-\frac{\pi}{6}) = -\sin(\frac{\pi}{6})$. Подставим известные значения тригонометрических функций:

$\sin\frac{3\pi}{2} = -1$.

$\sin(\frac{\pi}{6}) = \frac{1}{2}$, следовательно $\sin(-\frac{\pi}{6}) = -\frac{1}{2}$.

Подставляем значения в выражение:

$-1 + (-\frac{1}{2}) = -1 - \frac{1}{2} = -\frac{2}{2} - \frac{1}{2} = -\frac{3}{2} = -1.5$.

Ответ: -1.5

г) $\tg\pi + \sin^2\frac{\pi}{4}$

Запись $\sin^2\frac{\pi}{4}$ означает $(\sin\frac{\pi}{4})^2$. Подставим известные значения тригонометрических функций:

$\tg\pi = 0$.

$\sin\frac{\pi}{4} = \frac{\sqrt{2}}{2}$.

Теперь вычислим выражение:

$0 + (\frac{\sqrt{2}}{2})^2 = \frac{(\sqrt{2})^2}{2^2} = \frac{2}{4} = \frac{1}{2} = 0.5$.

Ответ: 0.5

д) $-\tg(2\pi) + \cos^2\frac{\pi}{3}$

Запись $\cos^2\frac{\pi}{3}$ означает $(\cos\frac{\pi}{3})^2$. Подставим известные значения тригонометрических функций:

$\tg(2\pi) = 0$, следовательно $-\tg(2\pi) = 0$.

$\cos\frac{\pi}{3} = \frac{1}{2}$.

Теперь вычислим выражение:

$0 + (\frac{1}{2})^2 = \frac{1^2}{2^2} = \frac{1}{4} = 0.25$.

Ответ: 0.25

е) $3\cos(-5\pi) + \tg\frac{\pi}{3} \cdot \cos\frac{\pi}{6}$

Используем свойство четности косинуса $\cos(-5\pi) = \cos(5\pi)$. Так как период косинуса равен $2\pi$, то $\cos(5\pi) = \cos(4\pi + \pi) = \cos(\pi) = -1$. Подставим известные значения тригонометрических функций:

$\cos(-5\pi) = -1$.

$\tg\frac{\pi}{3} = \sqrt{3}$.

$\cos\frac{\pi}{6} = \frac{\sqrt{3}}{2}$.

Подставляем значения в выражение и вычисляем:

$3 \cdot (-1) + \sqrt{3} \cdot \frac{\sqrt{3}}{2} = -3 + \frac{(\sqrt{3})^2}{2} = -3 + \frac{3}{2} = -\frac{6}{2} + \frac{3}{2} = -\frac{3}{2} = -1.5$.

Ответ: -1.5

Помогло решение? Оставьте отзыв в комментариях ниже.

Присоединяйтесь к Телеграм-группе @gdz_by_belarus

Присоединиться

Мы подготовили для вас ответ c подробным объяснением домашего задания по алгебре за 11 класс, для упражнения номер 8 расположенного на странице 166 к учебнику 2020 года издания для учащихся школ и гимназий.

Теперь на нашем сайте ГДЗ.ТОП вы всегда легко и бесплатно найдёте условие с правильным ответом на вопрос «Как решить ДЗ» и «Как сделать» задание по алгебре к упражнению №8 (с. 166), авторов: Арефьева (Ирина Глебовна), Пирютко (Ольга Николаевна), учебного пособия издательства Народная асвета.