Номер 7, страница 166 - гдз по алгебре 11 класс учебник Арефьева, Пирютко

Алгебра, 11 класс Учебник, авторы: Арефьева Ирина Глебовна, Пирютко Ольга Николаевна, издательство Народная асвета, Минск, 2020, бирюзового цвета

Авторы: Арефьева И. Г., Пирютко О. Н.

Тип: Учебник

Издательство: Народная асвета

Год издания: 2020 - 2025

Цвет обложки: бирюзовый, зелёный с графиком

ISBN: 978-985-03-3165-6

Популярные ГДЗ в 11 классе

Упражнения для итогового повторения. Числа и вычисления - номер 7, страница 166.

№7 (с. 166)
Условие. №7 (с. 166)
скриншот условия
Алгебра, 11 класс Учебник, авторы: Арефьева Ирина Глебовна, Пирютко Ольга Николаевна, издательство Народная асвета, Минск, 2020, бирюзового цвета, страница 166, номер 7, Условие

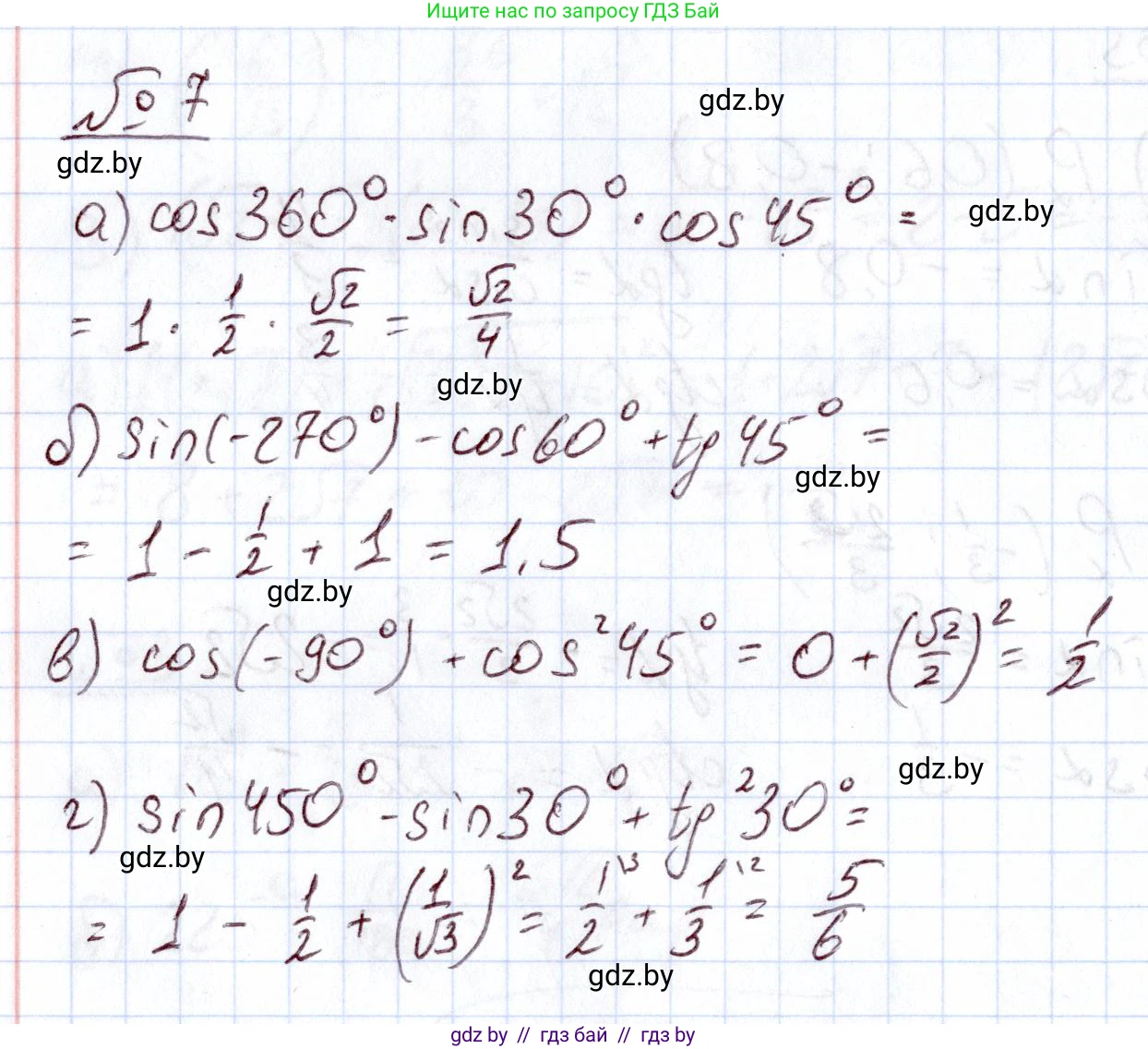
7. Вычислите:

а) $\cos 360^\circ \cdot \sin 30^\circ \cdot \cos 45^\circ$;

б) $\sin (-270^\circ) - \cos 60^\circ + \text{tg } 45^\circ$;

в) $\cos (-90^\circ) + \cos^2 45^\circ$;

г) $\sin 450^\circ - \sin 30^\circ + \text{tg}^2 30^\circ$.

Решение. №7 (с. 166)
Алгебра, 11 класс Учебник, авторы: Арефьева Ирина Глебовна, Пирютко Ольга Николаевна, издательство Народная асвета, Минск, 2020, бирюзового цвета, страница 166, номер 7, Решение
Решение 2. №7 (с. 166)

а) Для вычисления выражения $ \cos360^\circ \cdot \sin30^\circ \cdot \cos45^\circ $ необходимо найти значения каждого тригонометрического множителя.
1. Косинус $360^\circ$ имеет то же значение, что и косинус $0^\circ$, так как период функции косинуса равен $360^\circ$. Таким образом, $ \cos360^\circ = \cos0^\circ = 1 $.
2. Синус $30^\circ$ — это табличное значение, равное $ \frac{1}{2} $.
3. Косинус $45^\circ$ — это табличное значение, равное $ \frac{\sqrt{2}}{2} $.
Теперь перемножим полученные значения:
$ 1 \cdot \frac{1}{2} \cdot \frac{\sqrt{2}}{2} = \frac{\sqrt{2}}{4} $.
Ответ: $ \frac{\sqrt{2}}{4} $

б) Для вычисления выражения $ \sin(-270^\circ) - \cos60^\circ + \text{tg}45^\circ $ найдем значение каждого члена выражения.
1. Функция синус является нечетной, поэтому $ \sin(-x) = -\sin(x) $. Следовательно, $ \sin(-270^\circ) = -\sin(270^\circ) $. Так как $ \sin(270^\circ) = -1 $, то $ \sin(-270^\circ) = -(-1) = 1 $. Альтернативный способ — использовать периодичность: $ \sin(-270^\circ) = \sin(-270^\circ + 360^\circ) = \sin(90^\circ) = 1 $.
2. Косинус $60^\circ$ — это табличное значение, равное $ \frac{1}{2} $.
3. Тангенс $45^\circ$ — это табличное значение, равное $1$.
Теперь подставим значения в выражение и выполним действия:
$ 1 - \frac{1}{2} + 1 = 2 - \frac{1}{2} = \frac{4}{2} - \frac{1}{2} = \frac{3}{2} $.
Ответ: $ \frac{3}{2} $

в) Для вычисления выражения $ \cos(-90^\circ) + \cos^2 45^\circ $ найдем значение каждого слагаемого.
1. Функция косинус является четной, поэтому $ \cos(-x) = \cos(x) $. Следовательно, $ \cos(-90^\circ) = \cos(90^\circ) = 0 $.
2. Выражение $ \cos^2 45^\circ $ означает $ (\cos 45^\circ)^2 $. Так как $ \cos45^\circ = \frac{\sqrt{2}}{2} $, то $ \cos^2 45^\circ = (\frac{\sqrt{2}}{2})^2 = \frac{2}{4} = \frac{1}{2} $.
Теперь сложим полученные значения:
$ 0 + \frac{1}{2} = \frac{1}{2} $.
Ответ: $ \frac{1}{2} $

г) Для вычисления выражения $ \sin450^\circ - \sin30^\circ + \text{tg}^2 30^\circ $ найдем значение каждого члена выражения.
1. Период функции синус равен $360^\circ$. Используем это свойство, чтобы упростить аргумент: $ \sin450^\circ = \sin(450^\circ - 360^\circ) = \sin(90^\circ) = 1 $.
2. Синус $30^\circ$ — это табличное значение, равное $ \frac{1}{2} $.
3. Выражение $ \text{tg}^2 30^\circ $ означает $ (\text{tg} 30^\circ)^2 $. Так как $ \text{tg}30^\circ = \frac{\sqrt{3}}{3} $ (или $ \frac{1}{\sqrt{3}} $), то $ \text{tg}^2 30^\circ = (\frac{1}{\sqrt{3}})^2 = \frac{1}{3} $.
Теперь подставим значения и выполним вычисления, приведя дроби к общему знаменателю 6:
$ 1 - \frac{1}{2} + \frac{1}{3} = \frac{6}{6} - \frac{3}{6} + \frac{2}{6} = \frac{6 - 3 + 2}{6} = \frac{5}{6} $.
Ответ: $ \frac{5}{6} $

Помогло решение? Оставьте отзыв в комментариях ниже.

Присоединяйтесь к Телеграм-группе @gdz_by_belarus

Присоединиться

Мы подготовили для вас ответ c подробным объяснением домашего задания по алгебре за 11 класс, для упражнения номер 7 расположенного на странице 166 к учебнику 2020 года издания для учащихся школ и гимназий.

Теперь на нашем сайте ГДЗ.ТОП вы всегда легко и бесплатно найдёте условие с правильным ответом на вопрос «Как решить ДЗ» и «Как сделать» задание по алгебре к упражнению №7 (с. 166), авторов: Арефьева (Ирина Глебовна), Пирютко (Ольга Николаевна), учебного пособия издательства Народная асвета.