Номер 327, страница 208 - гдз по алгебре 11 класс учебник Арефьева, Пирютко

Алгебра, 11 класс Учебник, авторы: Арефьева Ирина Глебовна, Пирютко Ольга Николаевна, издательство Народная асвета, Минск, 2020, бирюзового цвета

Авторы: Арефьева И. Г., Пирютко О. Н.

Тип: Учебник

Издательство: Народная асвета

Год издания: 2020 - 2025

Цвет обложки: бирюзовый, зелёный с графиком

ISBN: 978-985-03-3165-6

Популярные ГДЗ в 11 классе

Упражнения для итогового повторения. Выражения и их преобразования - номер 327, страница 208.

№327 (с. 208)
Условие. №327 (с. 208)
скриншот условия
Алгебра, 11 класс Учебник, авторы: Арефьева Ирина Глебовна, Пирютко Ольга Николаевна, издательство Народная асвета, Минск, 2020, бирюзового цвета, страница 208, номер 327, Условие

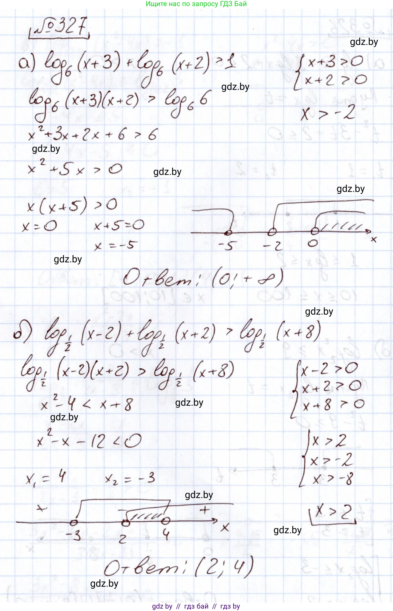
327. Решите неравенство, используя свойства логарифмов:

a) $ \log_6 (x + 3) + \log_6 (x + 2) > 1; $

б) $ \log_{\frac{1}{2}} (x - 2) + \log_{\frac{1}{2}} (x + 2) > \log_{\frac{1}{2}} (x + 8). $

Решение. №327 (с. 208)
Алгебра, 11 класс Учебник, авторы: Арефьева Ирина Глебовна, Пирютко Ольга Николаевна, издательство Народная асвета, Минск, 2020, бирюзового цвета, страница 208, номер 327, Решение
Решение 2. №327 (с. 208)

а) $\log_6 (x + 3) + \log_6 (x + 2) > 1$
1. Найдем область допустимых значений (ОДЗ). Аргументы логарифмов должны быть строго положительными:
$\begin{cases} x + 3 > 0 \\ x + 2 > 0 \end{cases} \implies \begin{cases} x > -3 \\ x > -2 \end{cases}$
Пересечением этих условий является $x > -2$. Таким образом, ОДЗ: $x \in (-2; +\infty)$.
2. Используем свойство суммы логарифмов $\log_a b + \log_a c = \log_a (bc)$ для левой части неравенства:
$\log_6 ((x + 3)(x + 2)) > 1$
3. Представим правую часть неравенства в виде логарифма с тем же основанием: $1 = \log_6 6$.
$\log_6 ((x + 3)(x + 2)) > \log_6 6$
4. Так как основание логарифма $6 > 1$, логарифмическая функция является возрастающей. Это значит, что большему значению функции соответствует большее значение аргумента. Поэтому мы можем убрать логарифмы, сохранив знак неравенства:
$(x + 3)(x + 2) > 6$
$x^2 + 2x + 3x + 6 > 6$
$x^2 + 5x > 0$
5. Решим полученное квадратное неравенство. Разложим левую часть на множители:
$x(x + 5) > 0$
Корни соответствующего уравнения $x(x + 5) = 0$ равны $x_1 = 0$ и $x_2 = -5$. Методом интервалов находим, что неравенство выполняется при $x \in (-\infty; -5) \cup (0; +\infty)$.
6. Найдем пересечение полученного решения с ОДЗ ($x > -2$):
$(-\infty; -5) \cup (0; +\infty) \cap (-2; +\infty) = (0; +\infty)$.
Ответ: $x \in (0; +\infty)$.

б) $\log_{\frac{1}{2}} (x - 2) + \log_{\frac{1}{2}} (x + 2) > \log_{\frac{1}{2}} (x + 8)$
1. Найдем область допустимых значений (ОДЗ). Аргументы всех логарифмов должны быть строго положительными:
$\begin{cases} x - 2 > 0 \\ x + 2 > 0 \\ x + 8 > 0 \end{cases} \implies \begin{cases} x > 2 \\ x > -2 \\ x > -8 \end{cases}$
Пересечением этих условий является $x > 2$. Таким образом, ОДЗ: $x \in (2; +\infty)$.
2. Используем свойство суммы логарифмов $\log_a b + \log_a c = \log_a (bc)$ для левой части неравенства:
$\log_{\frac{1}{2}} ((x - 2)(x + 2)) > \log_{\frac{1}{2}} (x + 8)$
$\log_{\frac{1}{2}} (x^2 - 4) > \log_{\frac{1}{2}} (x + 8)$
3. Так как основание логарифма $a = \frac{1}{2}$ удовлетворяет условию $0 < a < 1$, логарифмическая функция является убывающей. Это значит, что большему значению функции соответствует меньшее значение аргумента. Поэтому при переходе к неравенству для аргументов знак неравенства меняется на противоположный:
$x^2 - 4 < x + 8$
4. Решим полученное квадратное неравенство:
$x^2 - x - 12 < 0$
Найдем корни уравнения $x^2 - x - 12 = 0$. Используя теорему Виета или формулу для корней квадратного уравнения, получаем:
$D = (-1)^2 - 4 \cdot 1 \cdot (-12) = 1 + 48 = 49 = 7^2$
$x_1 = \frac{1 - 7}{2} = -3$
$x_2 = \frac{1 + 7}{2} = 4$
Парабола $y = x^2 - x - 12$ направлена ветвями вверх, поэтому неравенство $x^2 - x - 12 < 0$ выполняется между корнями: $x \in (-3; 4)$.
5. Найдем пересечение полученного решения с ОДЗ ($x > 2$):
$(-3; 4) \cap (2; +\infty) = (2; 4)$.
Ответ: $x \in (2; 4)$.

Помогло решение? Оставьте отзыв в комментариях ниже.

Присоединяйтесь к Телеграм-группе @gdz_by_belarus

Присоединиться

Мы подготовили для вас ответ c подробным объяснением домашего задания по алгебре за 11 класс, для упражнения номер 327 расположенного на странице 208 к учебнику 2020 года издания для учащихся школ и гимназий.

Теперь на нашем сайте ГДЗ.ТОП вы всегда легко и бесплатно найдёте условие с правильным ответом на вопрос «Как решить ДЗ» и «Как сделать» задание по алгебре к упражнению №327 (с. 208), авторов: Арефьева (Ирина Глебовна), Пирютко (Ольга Николаевна), учебного пособия издательства Народная асвета.