Номер 332, страница 208 - гдз по алгебре 11 класс учебник Арефьева, Пирютко

Алгебра, 11 класс Учебник, авторы: Арефьева Ирина Глебовна, Пирютко Ольга Николаевна, издательство Народная асвета, Минск, 2020, бирюзового цвета

Авторы: Арефьева И. Г., Пирютко О. Н.

Тип: Учебник

Издательство: Народная асвета

Год издания: 2020 - 2025

Цвет обложки: бирюзовый, зелёный с графиком

ISBN: 978-985-03-3165-6

Популярные ГДЗ в 11 классе

Упражнения для итогового повторения. Функции и их свойства - номер 332, страница 208.

№332 (с. 208)
Условие. №332 (с. 208)
скриншот условия
Алгебра, 11 класс Учебник, авторы: Арефьева Ирина Глебовна, Пирютко Ольга Николаевна, издательство Народная асвета, Минск, 2020, бирюзового цвета, страница 208, номер 332, Условие

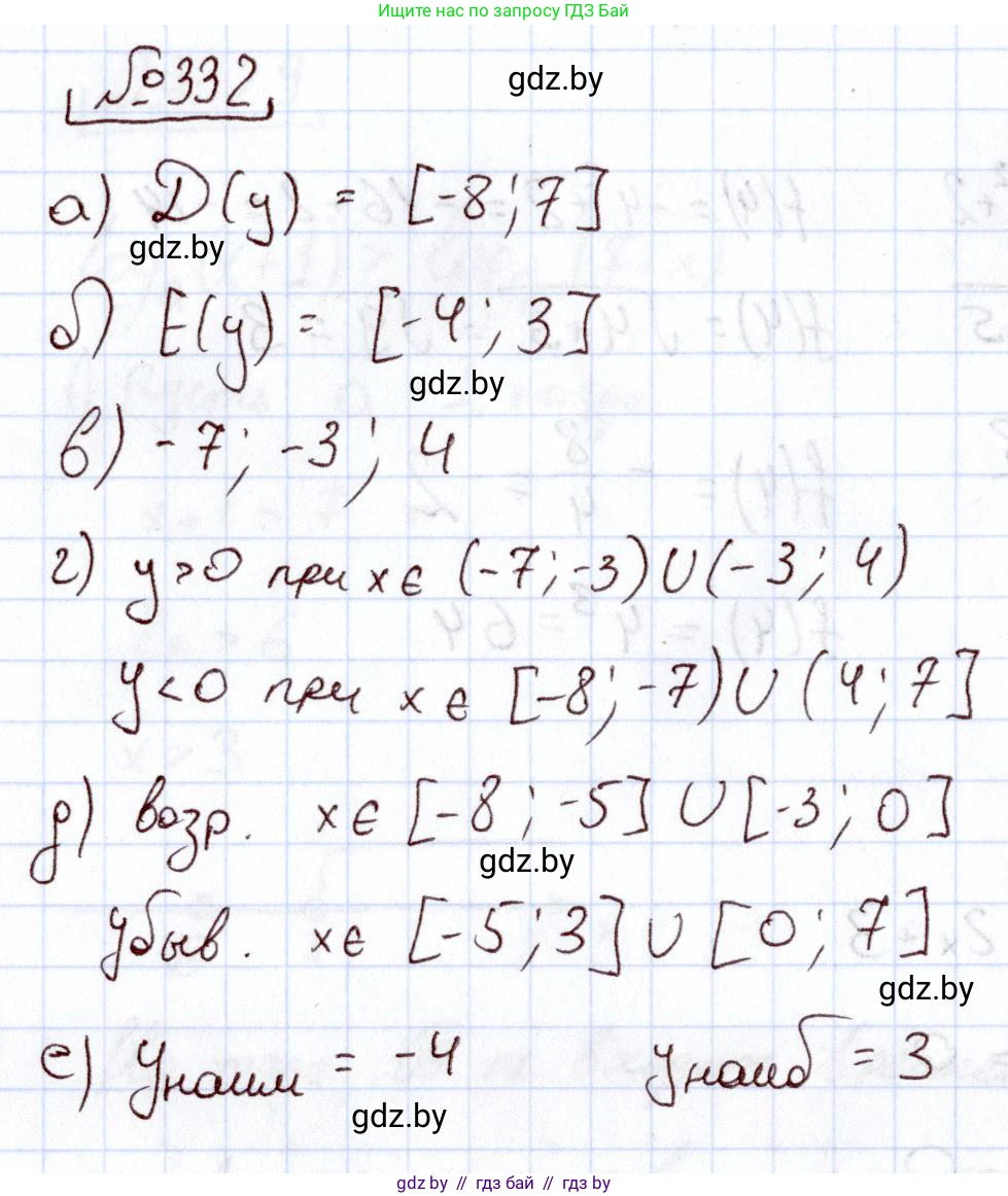
332. С помощью рисунка 42, на котором изображен график функции, заданной на множестве $ [-8; 7] $, найдите:

Рис. 42

а) область определения функции;

б) множество значений функции;

в) нули функции;

г) промежутки знакопостоянства функции;

д) промежутки монотонности функции;

е) наибольшее и наименьшее значения функции.

Решение. №332 (с. 208)
Алгебра, 11 класс Учебник, авторы: Арефьева Ирина Глебовна, Пирютко Ольга Николаевна, издательство Народная асвета, Минск, 2020, бирюзового цвета, страница 208, номер 332, Решение
Решение 2. №332 (с. 208)

а) область определения функции;

Область определения функции — это множество всех значений аргумента $x$, на котором задана функция. В условии задачи сказано, что функция задана на множестве $[-8; 7]$. Это также видно из графика: крайняя левая точка графика имеет абсциссу $x = -8$, а крайняя правая — $x = 7$.
Ответ: $D(f) = [-8; 7]$.

б) множество значений функции;

Множество значений функции — это множество всех значений $y$, которые принимает функция. Чтобы найти его, нужно определить наименьшее и наибольшее значения функции на графике. Из графика видно, что самая низкая точка имеет ординату $y = -4$ (при $x = -8$ и $x = 7$), а самая высокая точка имеет ординату $y = 3$ (при $x = -5$ и $x = 0$). Функция принимает все значения между -4 и 3 включительно.
Ответ: $E(f) = [-4; 3]$.

в) нули функции;

Нули функции — это значения аргумента $x$, при которых значение функции равно нулю ($f(x) = 0$). Это абсциссы точек пересечения графика с осью $Ox$. Из графика видно, что график пересекает или касается оси абсцисс в точках с абсциссами $x = -7$, $x = -3$ и $x = 4$.
Ответ: $x = -7$, $x = -3$, $x = 4$.

г) промежутки знакопостоянства функции;

Промежутки знакопостоянства — это интервалы, на которых функция принимает только положительные или только отрицательные значения.
Функция положительна ($f(x) > 0$), когда её график находится выше оси $Ox$. Это происходит на интервалах $(-7; -3)$ и $(-3; 4)$.
Функция отрицательна ($f(x) < 0$), когда её график находится ниже оси $Ox$. Это происходит на промежутках $[-8; -7)$ и $(4; 7]$.
Ответ: функция положительна при $x \in (-7; -3) \cup (-3; 4)$; функция отрицательна при $x \in [-8; -7) \cup (4; 7]$.

д) промежутки монотонности функции;

Промежутки монотонности — это интервалы, на которых функция возрастает или убывает.
Функция возрастает, когда её график идёт вверх при движении слева направо. Это происходит на промежутках $[-8; -5]$ и $[-3; 0]$.
Функция убывает, когда её график идёт вниз при движении слева направо. Это происходит на промежутках $[-5; -3]$ и $[0; 7]$.
Ответ: функция возрастает на промежутках $[-8; -5]$ и $[-3; 0]$; функция убывает на промежутках $[-5; -3]$ и $[0; 7]$.

е) наибольшее и наименьшее значения функции.

Наибольшее значение функции ($y_{наиб}$) — это максимальная ордината на графике. Наименьшее значение функции ($y_{наим}$) — это минимальная ордината на графике.
Наибольшее значение достигается в точках $x = -5$ и $x = 0$ и равно 3.
Наименьшее значение достигается в точках $x = -8$ и $x = 7$ и равно -4.
Ответ: наибольшее значение функции равно 3; наименьшее значение функции равно -4.

Помогло решение? Оставьте отзыв в комментариях ниже.

Присоединяйтесь к Телеграм-группе @gdz_by_belarus

Присоединиться

Мы подготовили для вас ответ c подробным объяснением домашего задания по алгебре за 11 класс, для упражнения номер 332 расположенного на странице 208 к учебнику 2020 года издания для учащихся школ и гимназий.

Теперь на нашем сайте ГДЗ.ТОП вы всегда легко и бесплатно найдёте условие с правильным ответом на вопрос «Как решить ДЗ» и «Как сделать» задание по алгебре к упражнению №332 (с. 208), авторов: Арефьева (Ирина Глебовна), Пирютко (Ольга Николаевна), учебного пособия издательства Народная асвета.