Номер 356, страница 213 - гдз по алгебре 11 класс учебник Арефьева, Пирютко

Алгебра, 11 класс Учебник, авторы: Арефьева Ирина Глебовна, Пирютко Ольга Николаевна, издательство Народная асвета, Минск, 2020, бирюзового цвета

Авторы: Арефьева И. Г., Пирютко О. Н.

Тип: Учебник

Издательство: Народная асвета

Год издания: 2020 - 2025

Цвет обложки: бирюзовый, зелёный с графиком

ISBN: 978-985-03-3165-6

Популярные ГДЗ в 11 классе

Упражнения для итогового повторения. Функции и их свойства - номер 356, страница 213.

№356 (с. 213)
Условие. №356 (с. 213)
скриншот условия
Алгебра, 11 класс Учебник, авторы: Арефьева Ирина Глебовна, Пирютко Ольга Николаевна, издательство Народная асвета, Минск, 2020, бирюзового цвета, страница 213, номер 356, Условие

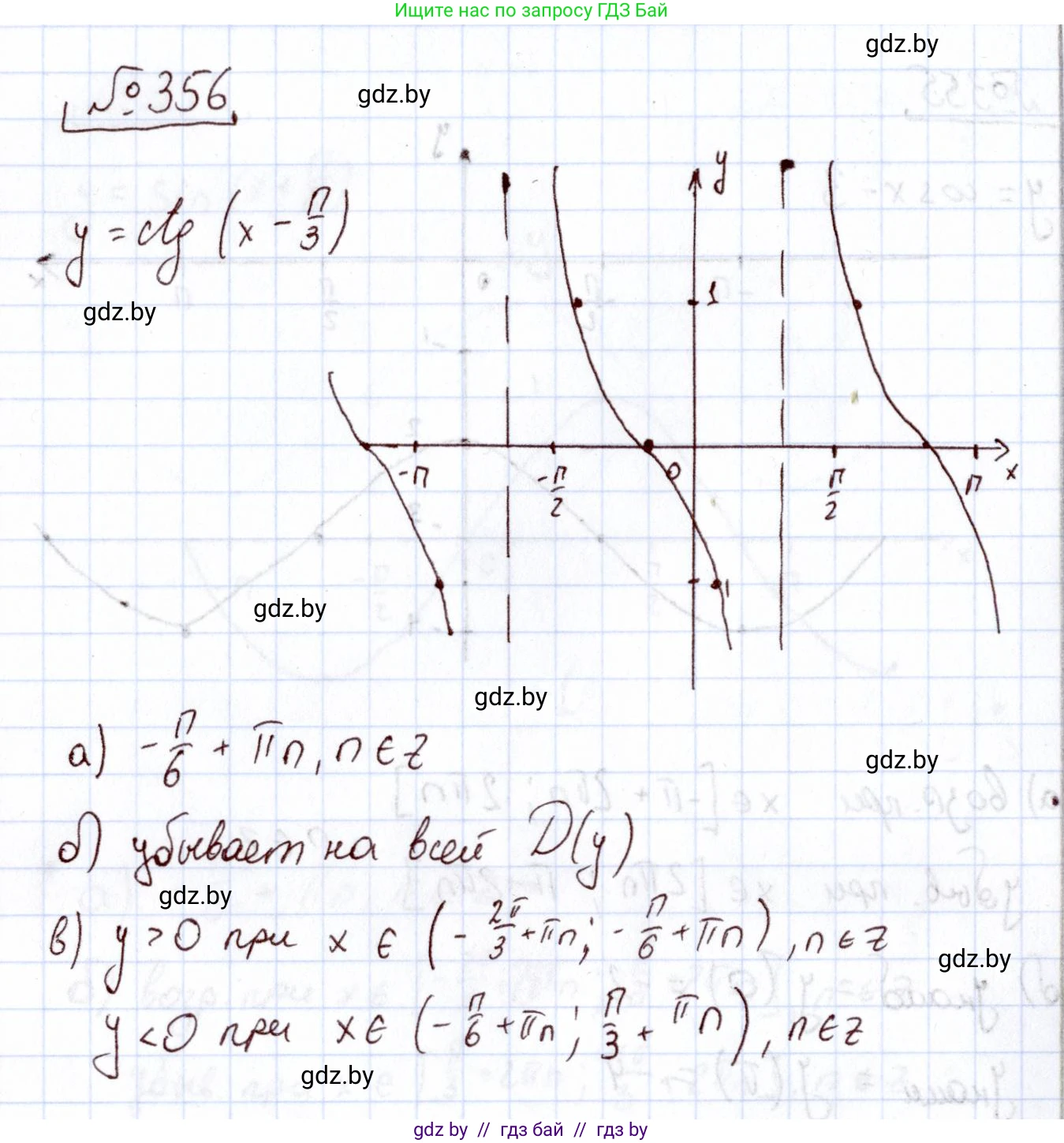
356. Постройте график функции $y = \operatorname{ctg}\left(x - \frac{\pi}{3}\right)$. Пользуясь графиком,

определите:

а) нули функции;

б) промежутки монотонности функции;

в) промежутки знакопостоянства функции.

Решение. №356 (с. 213)
Алгебра, 11 класс Учебник, авторы: Арефьева Ирина Глебовна, Пирютко Ольга Николаевна, издательство Народная асвета, Минск, 2020, бирюзового цвета, страница 213, номер 356, Решение
Решение 2. №356 (с. 213)

Для построения графика функции $y = \ctg(x - \frac{\pi}{3})$ необходимо выполнить преобразование графика базовой функции $y = \ctg(x)$.

  1. Сначала рассмотрим график функции $y = \ctg(x)$. Это периодическая функция с основным периодом $T = \pi$. Её вертикальные асимптоты — прямые $x = \pi n$, где $n \in \mathbb{Z}$. Нули функции находятся в точках $x = \frac{\pi}{2} + \pi n$, $n \in \mathbb{Z}$. Функция убывает на всей области определения.
  2. График функции $y = \ctg(x - \frac{\pi}{3})$ получается из графика $y = \ctg(x)$ путём параллельного переноса (сдвига) вдоль оси абсцисс (Ox) на $\frac{\pi}{3}$ вправо.
  3. В результате сдвига все характерные точки и асимптоты графика $y = \ctg(x)$ смещаются на $\frac{\pi}{3}$ вправо.
    • Вертикальные асимптоты смещаются из $x = \pi n$ в $x = \frac{\pi}{3} + \pi n, n \in \mathbb{Z}$.
    • Нули функции смещаются из $x = \frac{\pi}{2} + \pi n$ в $x = \frac{\pi}{2} + \frac{\pi}{3} + \pi n = \frac{5\pi}{6} + \pi n, n \in \mathbb{Z}$.

Ниже представлен схематический график функции $y = \ctg(x - \frac{\pi}{3})$ (синяя линия) и её асимптоты (красные пунктирные линии).

График функции y = ctg(x - pi/3)

Пользуясь графиком и свойствами функции, ответим на вопросы задачи.

а) нули функции

Нули функции — это значения аргумента $x$, при которых значение функции $y$ равно нулю. На графике это точки пересечения с осью абсцисс Ox. Чтобы найти их, решим уравнение:

$ \ctg(x - \frac{\pi}{3}) = 0 $

Функция котангенса равна нулю, когда её аргумент равен $\frac{\pi}{2} + \pi n$, где $n$ — любое целое число ($n \in \mathbb{Z}$).

$ x - \frac{\pi}{3} = \frac{\pi}{2} + \pi n, \quad n \in \mathbb{Z} $

Перенесем $\frac{\pi}{3}$ в правую часть уравнения:

$ x = \frac{\pi}{2} + \frac{\pi}{3} + \pi n $

Приводя дроби к общему знаменателю, получаем:

$ x = \frac{3\pi + 2\pi}{6} + \pi n $

$ x = \frac{5\pi}{6} + \pi n, \quad n \in \mathbb{Z} $

Ответ: $x = \frac{5\pi}{6} + \pi n, n \in \mathbb{Z}$.

б) промежутки монотонности функции

Исходная функция $y = \ctg(t)$ является убывающей на каждом интервале своей области определения. Горизонтальный сдвиг не меняет характер монотонности, поэтому функция $y = \ctg(x - \frac{\pi}{3})$ также является убывающей на всей своей области определения. Область определения ограничена вертикальными асимптотами.

Асимптоты находятся в точках, где аргумент котангенса равен $\pi n$:

$ x - \frac{\pi}{3} = \pi n \Rightarrow x = \frac{\pi}{3} + \pi n, \quad n \in \mathbb{Z} $

Следовательно, функция убывает на каждом из интервалов между соседними асимптотами. Эти интервалы имеют вид:

$ (\frac{\pi}{3} + \pi n, \frac{\pi}{3} + \pi(n+1)) $

Что можно записать как:

$ (\frac{\pi}{3} + \pi n, \frac{4\pi}{3} + \pi n), \quad n \in \mathbb{Z} $

Ответ: функция убывает на каждом из промежутков $(\frac{\pi}{3} + \pi n; \frac{4\pi}{3} + \pi n)$, $n \in \mathbb{Z}$.

в) промежутки знакопостоянства функции

Промежутки знакопостоянства — это интервалы, на которых функция принимает только положительные или только отрицательные значения. Эти интервалы ограничены нулями функции и её вертикальными асимптотами.

Асимптоты: $x = \frac{\pi}{3} + \pi n, n \in \mathbb{Z}$.

Нули: $x = \frac{5\pi}{6} + \pi n, n \in \mathbb{Z}$.

Рассмотрим один из периодов функции, например, интервал $(\frac{\pi}{3}, \frac{4\pi}{3})$. Он разделен нулем $x=\frac{5\pi}{6}$ на два подинтервала.

1. Промежутки, где $y > 0$:
На графике видно, что функция положительна между асимптотой и следующим за ней нулём. Это интервалы вида $(\frac{\pi}{3} + \pi n, \frac{5\pi}{6} + \pi n)$.

2. Промежутки, где $y < 0$:
На графике видно, что функция отрицательна между нулём и следующей за ним асимптотой. Это интервалы вида $(\frac{5\pi}{6} + \pi n, \frac{4\pi}{3} + \pi n)$.

Ответ: функция положительна ($y > 0$) на промежутках $(\frac{\pi}{3} + \pi n; \frac{5\pi}{6} + \pi n)$, $n \in \mathbb{Z}$, и отрицательна ($y < 0$) на промежутках $(\frac{5\pi}{6} + \pi n; \frac{4\pi}{3} + \pi n)$, $n \in \mathbb{Z}$.

Помогло решение? Оставьте отзыв в комментариях ниже.

Присоединяйтесь к Телеграм-группе @gdz_by_belarus

Присоединиться

Мы подготовили для вас ответ c подробным объяснением домашего задания по алгебре за 11 класс, для упражнения номер 356 расположенного на странице 213 к учебнику 2020 года издания для учащихся школ и гимназий.

Теперь на нашем сайте ГДЗ.ТОП вы всегда легко и бесплатно найдёте условие с правильным ответом на вопрос «Как решить ДЗ» и «Как сделать» задание по алгебре к упражнению №356 (с. 213), авторов: Арефьева (Ирина Глебовна), Пирютко (Ольга Николаевна), учебного пособия издательства Народная асвета.