Номер 359, страница 213 - гдз по алгебре 11 класс учебник Арефьева, Пирютко

Алгебра, 11 класс Учебник, авторы: Арефьева Ирина Глебовна, Пирютко Ольга Николаевна, издательство Народная асвета, Минск, 2020, бирюзового цвета

Авторы: Арефьева И. Г., Пирютко О. Н.

Тип: Учебник

Издательство: Народная асвета

Год издания: 2020 - 2025

Цвет обложки: бирюзовый, зелёный с графиком

ISBN: 978-985-03-3165-6

Популярные ГДЗ в 11 классе

Упражнения для итогового повторения. Функции и их свойства - номер 359, страница 213.

№359 (с. 213)
Условие. №359 (с. 213)
скриншот условия
Алгебра, 11 класс Учебник, авторы: Арефьева Ирина Глебовна, Пирютко Ольга Николаевна, издательство Народная асвета, Минск, 2020, бирюзового цвета, страница 213, номер 359, Условие

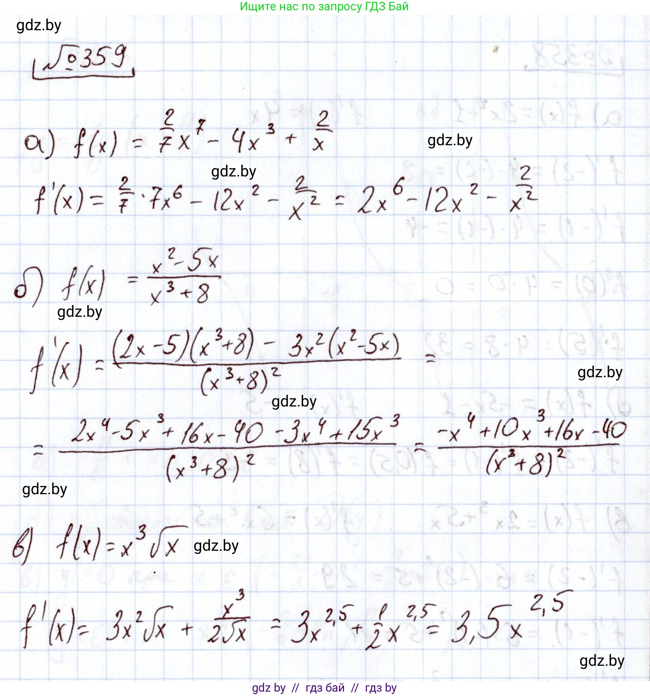
359. Найдите производную функции, используя правила дифференцирования:

a) $f(x) = \frac{2}{7}x^7 - 4x^3 + \frac{2}{x}$;

б) $f(x) = \frac{x^2 - 5x}{x^3 + 8}$;

в) $f(x) = x^3 \sqrt{x}.$

Решение. №359 (с. 213)
Алгебра, 11 класс Учебник, авторы: Арефьева Ирина Глебовна, Пирютко Ольга Николаевна, издательство Народная асвета, Минск, 2020, бирюзового цвета, страница 213, номер 359, Решение
Решение 2. №359 (с. 213)

а) Дана функция $f(x) = \frac{2}{7}x^7 - 4x^3 + \frac{2}{x}$.

Для нахождения производной сначала преобразуем функцию, представив последнее слагаемое в виде степени: $\frac{2}{x} = 2x^{-1}$.

Функция примет вид: $f(x) = \frac{2}{7}x^7 - 4x^3 + 2x^{-1}$.

Далее используем правило дифференцирования суммы/разности функций, согласно которому производная суммы/разности равна сумме/разности производных: $(u \pm v)' = u' \pm v'$. Также применяем правило для степенной функции $(ax^n)' = a \cdot n \cdot x^{n-1}$.

$f'(x) = (\frac{2}{7}x^7 - 4x^3 + 2x^{-1})' = (\frac{2}{7}x^7)' - (4x^3)' + (2x^{-1})'$

Вычислим производную каждого слагаемого по отдельности:

$(\frac{2}{7}x^7)' = \frac{2}{7} \cdot 7x^{7-1} = 2x^6$

$(4x^3)' = 4 \cdot 3x^{3-1} = 12x^2$

$(2x^{-1})' = 2 \cdot (-1)x^{-1-1} = -2x^{-2} = -\frac{2}{x^2}$

Теперь объединим полученные результаты:

$f'(x) = 2x^6 - 12x^2 - \frac{2}{x^2}$

Ответ: $f'(x) = 2x^6 - 12x^2 - \frac{2}{x^2}$.

б) Дана функция $f(x) = \frac{x^2 - 5x}{x^3 + 8}$.

Для нахождения производной этой функции необходимо использовать правило дифференцирования частного (дроби): $(\frac{u}{v})' = \frac{u'v - uv'}{v^2}$.

В нашем случае, числитель $u(x) = x^2 - 5x$ и знаменатель $v(x) = x^3 + 8$.

Найдем производные числителя и знаменателя:

$u'(x) = (x^2 - 5x)' = 2x - 5$

$v'(x) = (x^3 + 8)' = 3x^2$

Теперь подставим $u, v, u', v'$ в формулу производной частного:

$f'(x) = \frac{(2x - 5)(x^3 + 8) - (x^2 - 5x)(3x^2)}{(x^3 + 8)^2}$

Раскроем скобки в числителе и упростим выражение:

$(2x - 5)(x^3 + 8) = 2x \cdot x^3 + 2x \cdot 8 - 5 \cdot x^3 - 5 \cdot 8 = 2x^4 + 16x - 5x^3 - 40$

$(x^2 - 5x)(3x^2) = x^2 \cdot 3x^2 - 5x \cdot 3x^2 = 3x^4 - 15x^3$

Вычтем второе выражение из первого:

$(2x^4 - 5x^3 + 16x - 40) - (3x^4 - 15x^3) = 2x^4 - 5x^3 + 16x - 40 - 3x^4 + 15x^3 = -x^4 + 10x^3 + 16x - 40$

Запишем итоговое выражение для производной:

$f'(x) = \frac{-x^4 + 10x^3 + 16x - 40}{(x^3 + 8)^2}$

Ответ: $f'(x) = \frac{-x^4 + 10x^3 + 16x - 40}{(x^3 + 8)^2}$.

в) Дана функция $f(x) = x^3\sqrt{x}$.

Для удобства дифференцирования упростим исходную функцию. Представим квадратный корень в виде степени с дробным показателем: $\sqrt{x} = x^{1/2}$.

$f(x) = x^3 \cdot x^{1/2}$

Используя свойство степеней $a^m \cdot a^n = a^{m+n}$, сложим показатели:

$f(x) = x^{3 + \frac{1}{2}} = x^{\frac{6}{2} + \frac{1}{2}} = x^{\frac{7}{2}}$

Теперь для нахождения производной применим формулу для степенной функции $(x^n)' = nx^{n-1}$:

$f'(x) = (x^{\frac{7}{2}})' = \frac{7}{2}x^{\frac{7}{2} - 1} = \frac{7}{2}x^{\frac{7}{2} - \frac{2}{2}} = \frac{7}{2}x^{\frac{5}{2}}$

Полученный результат можно также записать в виде выражения с корнем: $\frac{7}{2}x^{\frac{5}{2}} = \frac{7}{2}x^2\sqrt{x}$.

Ответ: $f'(x) = \frac{7}{2}x^{\frac{5}{2}}$.

Помогло решение? Оставьте отзыв в комментариях ниже.

Присоединяйтесь к Телеграм-группе @gdz_by_belarus

Присоединиться

Мы подготовили для вас ответ c подробным объяснением домашего задания по алгебре за 11 класс, для упражнения номер 359 расположенного на странице 213 к учебнику 2020 года издания для учащихся школ и гимназий.

Теперь на нашем сайте ГДЗ.ТОП вы всегда легко и бесплатно найдёте условие с правильным ответом на вопрос «Как решить ДЗ» и «Как сделать» задание по алгебре к упражнению №359 (с. 213), авторов: Арефьева (Ирина Глебовна), Пирютко (Ольга Николаевна), учебного пособия издательства Народная асвета.