Номер 365, страница 214 - гдз по алгебре 11 класс учебник Арефьева, Пирютко

Алгебра, 11 класс Учебник, авторы: Арефьева Ирина Глебовна, Пирютко Ольга Николаевна, издательство Народная асвета, Минск, 2020, бирюзового цвета

Авторы: Арефьева И. Г., Пирютко О. Н.

Тип: Учебник

Издательство: Народная асвета

Год издания: 2020 - 2025

Цвет обложки: бирюзовый, зелёный с графиком

ISBN: 978-985-03-3165-6

Популярные ГДЗ в 11 классе

Упражнения для итогового повторения. Функции и их свойства - номер 365, страница 214.

№365 (с. 214)
Условие. №365 (с. 214)
скриншот условия
Алгебра, 11 класс Учебник, авторы: Арефьева Ирина Глебовна, Пирютко Ольга Николаевна, издательство Народная асвета, Минск, 2020, бирюзового цвета, страница 214, номер 365, Условие

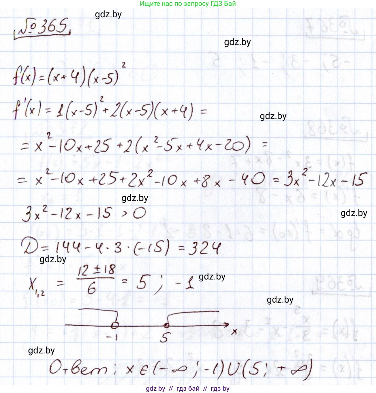
365. Решите неравенство $f'(x) > 0$, если $f(x) = (x+4)(x-5)^2$.

Решение. №365 (с. 214)
Алгебра, 11 класс Учебник, авторы: Арефьева Ирина Глебовна, Пирютко Ольга Николаевна, издательство Народная асвета, Минск, 2020, бирюзового цвета, страница 214, номер 365, Решение
Решение 2. №365 (с. 214)

Для решения неравенства $f'(x) > 0$ необходимо сначала найти производную функции $f(x) = (x+4)(x-5)^2$.

Будем использовать правило дифференцирования произведения функций $(u \cdot v)' = u'v + uv'$.

Пусть $u(x) = x+4$ и $v(x) = (x-5)^2$.

Найдем производные этих функций:

$u'(x) = (x+4)' = 1$.

Для нахождения $v'(x)$ используем правило дифференцирования сложной функции: $v'(x) = ((x-5)^2)' = 2 \cdot (x-5)^{2-1} \cdot (x-5)' = 2(x-5) \cdot 1 = 2(x-5)$.

Теперь подставим найденные производные в формулу для производной произведения:

$f'(x) = u'v + uv' = 1 \cdot (x-5)^2 + (x+4) \cdot 2(x-5)$.

Упростим полученное выражение. Для этого вынесем общий множитель $(x-5)$ за скобки:

$f'(x) = (x-5) \cdot [(x-5) + 2(x+4)]$.

Раскроем скобки внутри квадратных скобок и приведем подобные слагаемые:

$f'(x) = (x-5) \cdot [x - 5 + 2x + 8] = (x-5)(3x+3)$.

Вынесем общий множитель 3 из второй скобки:

$f'(x) = 3(x-5)(x+1)$.

Теперь решим неравенство $f'(x) > 0$:

$3(x-5)(x+1) > 0$.

Так как 3 - положительное число, мы можем разделить обе части неравенства на 3, не меняя знака неравенства:

$(x-5)(x+1) > 0$.

Это квадратичное неравенство. Решим его методом интервалов. Сначала найдем корни соответствующего уравнения $(x-5)(x+1) = 0$.

Корни уравнения: $x_1 = 5$, $x_2 = -1$.

Нанесем эти точки на числовую ось. Они разбивают ось на три интервала: $(-\infty, -1)$, $(-1, 5)$ и $(5, +\infty)$.

Определим знак выражения $(x-5)(x+1)$ на каждом из интервалов:

– на интервале $(-\infty, -1)$, например, при $x=-2$: $(-2-5)(-2+1) = (-7)(-1) = 7$. Знак "+".

– на интервале $(-1, 5)$, например, при $x=0$: $(0-5)(0+1) = (-5)(1) = -5$. Знак "–".

– на интервале $(5, +\infty)$, например, при $x=6$: $(6-5)(6+1) = (1)(7) = 7$. Знак "+".

Поскольку мы решаем неравенство $(x-5)(x+1) > 0$, нас интересуют интервалы, где выражение положительно. Это интервалы $(-\infty, -1)$ и $(5, +\infty)$.

Ответ: $x \in (-\infty, -1) \cup (5, +\infty)$.

Помогло решение? Оставьте отзыв в комментариях ниже.

Присоединяйтесь к Телеграм-группе @gdz_by_belarus

Присоединиться

Мы подготовили для вас ответ c подробным объяснением домашего задания по алгебре за 11 класс, для упражнения номер 365 расположенного на странице 214 к учебнику 2020 года издания для учащихся школ и гимназий.

Теперь на нашем сайте ГДЗ.ТОП вы всегда легко и бесплатно найдёте условие с правильным ответом на вопрос «Как решить ДЗ» и «Как сделать» задание по алгебре к упражнению №365 (с. 214), авторов: Арефьева (Ирина Глебовна), Пирютко (Ольга Николаевна), учебного пособия издательства Народная асвета.