Номер 349, страница 212 - гдз по алгебре 11 класс учебник Арефьева, Пирютко

Алгебра, 11 класс Учебник, авторы: Арефьева Ирина Глебовна, Пирютко Ольга Николаевна, издательство Народная асвета, Минск, 2020, бирюзового цвета

Авторы: Арефьева И. Г., Пирютко О. Н.

Тип: Учебник

Издательство: Народная асвета

Год издания: 2020 - 2025

Цвет обложки: бирюзовый, зелёный с графиком

ISBN: 978-985-03-3165-6

Популярные ГДЗ в 11 классе

Упражнения для итогового повторения. Функции и их свойства - номер 349, страница 212.

№349 (с. 212)
Условие. №349 (с. 212)
скриншот условия
Алгебра, 11 класс Учебник, авторы: Арефьева Ирина Глебовна, Пирютко Ольга Николаевна, издательство Народная асвета, Минск, 2020, бирюзового цвета, страница 212, номер 349, Условие

349. Найдите нули функции:

а) $y = \sin 2x$;

б) $y = \cos\left(x - \frac{\pi}{4}\right)$;

в) $y = \tan\left(x + \frac{\pi}{5}\right) + 1$;

г) $y = \sqrt{3}\cot\left(3x - \frac{\pi}{3}\right)$.

Решение. №349 (с. 212)
Алгебра, 11 класс Учебник, авторы: Арефьева Ирина Глебовна, Пирютко Ольга Николаевна, издательство Народная асвета, Минск, 2020, бирюзового цвета, страница 212, номер 349, Решение Алгебра, 11 класс Учебник, авторы: Арефьева Ирина Глебовна, Пирютко Ольга Николаевна, издательство Народная асвета, Минск, 2020, бирюзового цвета, страница 212, номер 349, Решение (продолжение 2)
Решение 2. №349 (с. 212)

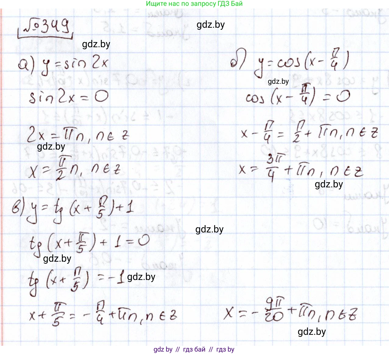
а) Нули функции — это значения аргумента $x$, при которых значение функции $y$ равно нулю. Чтобы найти нули функции $y = \sin2x$, необходимо решить уравнение:
$\sin2x = 0$
Это простейшее тригонометрическое уравнение. Синус равен нулю, когда его аргумент равен $\pi k$, где $k$ — любое целое число.
$2x = \pi k$, где $k \in \mathbb{Z}$
Чтобы найти $x$, разделим обе части уравнения на 2:
$x = \frac{\pi k}{2}$, где $k \in \mathbb{Z}$.
Ответ: $x = \frac{\pi k}{2}$, $k \in \mathbb{Z}$.

б) Чтобы найти нули функции $y = \cos(x - \frac{\pi}{4})$, приравняем функцию к нулю:
$\cos(x - \frac{\pi}{4}) = 0$
Косинус равен нулю, когда его аргумент равен $\frac{\pi}{2} + \pi k$, где $k$ — любое целое число.
$x - \frac{\pi}{4} = \frac{\pi}{2} + \pi k$, где $k \in \mathbb{Z}$
Выразим $x$, перенеся $\frac{\pi}{4}$ в правую часть уравнения:
$x = \frac{\pi}{2} + \frac{\pi}{4} + \pi k$
Сложим дроби, приведя их к общему знаменателю:
$x = \frac{2\pi}{4} + \frac{\pi}{4} + \pi k$
$x = \frac{3\pi}{4} + \pi k$, где $k \in \mathbb{Z}$.
Ответ: $x = \frac{3\pi}{4} + \pi k$, $k \in \mathbb{Z}$.

в) Чтобы найти нули функции $y = \operatorname{tg}(x + \frac{\pi}{5}) + 1$, решим уравнение $y=0$:
$\operatorname{tg}(x + \frac{\pi}{5}) + 1 = 0$
Перенесем 1 в правую часть:
$\operatorname{tg}(x + \frac{\pi}{5}) = -1$
Общее решение для уравнения $\operatorname{tg}(t) = a$ имеет вид $t = \operatorname{arctg}(a) + \pi k$. В данном случае $a = -1$.
$x + \frac{\pi}{5} = \operatorname{arctg}(-1) + \pi k$, где $k \in \mathbb{Z}$
Поскольку $\operatorname{arctg}(-1) = -\frac{\pi}{4}$, получаем:
$x + \frac{\pi}{5} = -\frac{\pi}{4} + \pi k$
Выразим $x$:
$x = -\frac{\pi}{4} - \frac{\pi}{5} + \pi k$
Приведем дроби к общему знаменателю 20:
$x = -\frac{5\pi}{20} - \frac{4\pi}{20} + \pi k$
$x = -\frac{9\pi}{20} + \pi k$, где $k \in \mathbb{Z}$.
Ответ: $x = -\frac{9\pi}{20} + \pi k$, $k \in \mathbb{Z}$.

г) Чтобы найти нули функции $y = \sqrt{3}\operatorname{ctg}(3x - \frac{\pi}{3})$, решим уравнение:
$\sqrt{3}\operatorname{ctg}(3x - \frac{\pi}{3}) = 0$
Поскольку $\sqrt{3} \neq 0$, то нулю должен быть равен котангенс:
$\operatorname{ctg}(3x - \frac{\pi}{3}) = 0$
Котангенс равен нулю, когда его аргумент равен $\frac{\pi}{2} + \pi k$, где $k$ — любое целое число.
$3x - \frac{\pi}{3} = \frac{\pi}{2} + \pi k$, где $k \in \mathbb{Z}$
Перенесем $\frac{\pi}{3}$ в правую часть:
$3x = \frac{\pi}{2} + \frac{\pi}{3} + \pi k$
Приведем дроби к общему знаменателю 6:
$3x = \frac{3\pi}{6} + \frac{2\pi}{6} + \pi k$
$3x = \frac{5\pi}{6} + \pi k$
Разделим обе части на 3:
$x = \frac{5\pi}{18} + \frac{\pi k}{3}$, где $k \in \mathbb{Z}$.
Ответ: $x = \frac{5\pi}{18} + \frac{\pi k}{3}$, $k \in \mathbb{Z}$.

Помогло решение? Оставьте отзыв в комментариях ниже.

Присоединяйтесь к Телеграм-группе @gdz_by_belarus

Присоединиться

Мы подготовили для вас ответ c подробным объяснением домашего задания по алгебре за 11 класс, для упражнения номер 349 расположенного на странице 212 к учебнику 2020 года издания для учащихся школ и гимназий.

Теперь на нашем сайте ГДЗ.ТОП вы всегда легко и бесплатно найдёте условие с правильным ответом на вопрос «Как решить ДЗ» и «Как сделать» задание по алгебре к упражнению №349 (с. 212), авторов: Арефьева (Ирина Глебовна), Пирютко (Ольга Николаевна), учебного пособия издательства Народная асвета.