Номер 347, страница 212 - гдз по алгебре 11 класс учебник Арефьева, Пирютко

Алгебра, 11 класс Учебник, авторы: Арефьева Ирина Глебовна, Пирютко Ольга Николаевна, издательство Народная асвета, Минск, 2020, бирюзового цвета

Авторы: Арефьева И. Г., Пирютко О. Н.

Тип: Учебник

Издательство: Народная асвета

Год издания: 2020 - 2025

Цвет обложки: бирюзовый, зелёный с графиком

ISBN: 978-985-03-3165-6

Популярные ГДЗ в 11 классе

Упражнения для итогового повторения. Функции и их свойства - номер 347, страница 212.

№347 (с. 212)
Условие. №347 (с. 212)
скриншот условия
Алгебра, 11 класс Учебник, авторы: Арефьева Ирина Глебовна, Пирютко Ольга Николаевна, издательство Народная асвета, Минск, 2020, бирюзового цвета, страница 212, номер 347, Условие

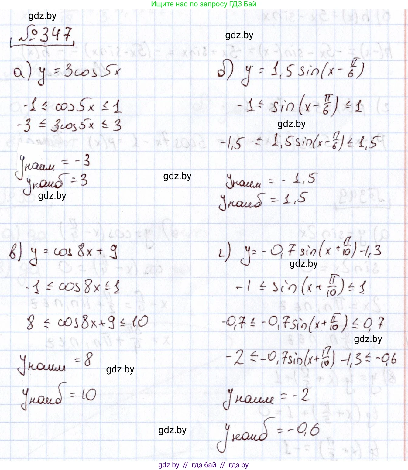
347. Найдите наибольшее и наименьшее значения функции:

а) $y = 3\cos5x;$

б) $y = 1,5\sin\left(x - \frac{\pi}{6}\right);$

в) $y = \cos8x + 9;$

г) $y = -0,7\sin\left(x + \frac{\pi}{10}\right) - 1,3.$

Решение. №347 (с. 212)
Алгебра, 11 класс Учебник, авторы: Арефьева Ирина Глебовна, Пирютко Ольга Николаевна, издательство Народная асвета, Минск, 2020, бирюзового цвета, страница 212, номер 347, Решение
Решение 2. №347 (с. 212)

а)

Для функции $y = 3\cos(5x)$.
Область значений функции косинус ограничена отрезком $[-1, 1]$, то есть для любого аргумента $t$ выполняется двойное неравенство: $-1 \le \cos(t) \le 1$. В нашем случае аргумент равен $5x$, поэтому: $-1 \le \cos(5x) \le 1$.
Чтобы найти область значений для $y$, умножим все части этого неравенства на 3:
$3 \cdot (-1) \le 3\cos(5x) \le 3 \cdot 1$
$-3 \le y \le 3$
Следовательно, наименьшее значение функции равно -3, а наибольшее значение равно 3.
Ответ: Наименьшее значение: -3, наибольшее значение: 3.

б)

Для функции $y = 1,5\sin(x - \frac{\pi}{6})$.
Область значений функции синус также ограничена отрезком $[-1, 1]$: $-1 \le \sin(t) \le 1$.
Сдвиг аргумента на $-\frac{\pi}{6}$ не влияет на область значений, поэтому: $-1 \le \sin(x - \frac{\pi}{6}) \le 1$.
Умножим все части двойного неравенства на 1,5:
$1,5 \cdot (-1) \le 1,5\sin(x - \frac{\pi}{6}) \le 1,5 \cdot 1$
$-1,5 \le y \le 1,5$
Следовательно, наименьшее значение функции равно -1,5, а наибольшее значение равно 1,5.
Ответ: Наименьшее значение: -1,5, наибольшее значение: 1,5.

в)

Для функции $y = \cos(8x) + 9$.
Область значений функции косинус: $-1 \le \cos(8x) \le 1$.
Чтобы найти область значений для $y$, прибавим 9 ко всем частям двойного неравенства:
$-1 + 9 \le \cos(8x) + 9 \le 1 + 9$
$8 \le y \le 10$
Следовательно, наименьшее значение функции равно 8, а наибольшее значение равно 10.
Ответ: Наименьшее значение: 8, наибольшее значение: 10.

г)

Для функции $y = -0,7\sin(x + \frac{\pi}{10}) - 1,3$.
Область значений функции синус: $-1 \le \sin(x + \frac{\pi}{10}) \le 1$.
Сначала умножим все части двойного неравенства на -0,7. Так как мы умножаем на отрицательное число, знаки неравенства меняются на противоположные:
$-0,7 \cdot 1 \le -0,7\sin(x + \frac{\pi}{10}) \le -0,7 \cdot (-1)$
$-0,7 \le -0,7\sin(x + \frac{\pi}{10}) \le 0,7$
Теперь вычтем 1,3 из всех частей двойного неравенства:
$-0,7 - 1,3 \le -0,7\sin(x + \frac{\pi}{10}) - 1,3 \le 0,7 - 1,3$
$-2 \le y \le -0,6$
Следовательно, наименьшее значение функции равно -2, а наибольшее значение равно -0,6.
Ответ: Наименьшее значение: -2, наибольшее значение: -0,6.

Помогло решение? Оставьте отзыв в комментариях ниже.

Присоединяйтесь к Телеграм-группе @gdz_by_belarus

Присоединиться

Мы подготовили для вас ответ c подробным объяснением домашего задания по алгебре за 11 класс, для упражнения номер 347 расположенного на странице 212 к учебнику 2020 года издания для учащихся школ и гимназий.

Теперь на нашем сайте ГДЗ.ТОП вы всегда легко и бесплатно найдёте условие с правильным ответом на вопрос «Как решить ДЗ» и «Как сделать» задание по алгебре к упражнению №347 (с. 212), авторов: Арефьева (Ирина Глебовна), Пирютко (Ольга Николаевна), учебного пособия издательства Народная асвета.