Номер 6, страница 164 - гдз по алгебре 11 класс учебник Арефьева, Пирютко

Алгебра, 11 класс Учебник, авторы: Арефьева Ирина Глебовна, Пирютко Ольга Николаевна, издательство Народная асвета, Минск, 2020, бирюзового цвета

Авторы: Арефьева И. Г., Пирютко О. Н.

Тип: Учебник

Издательство: Народная асвета

Год издания: 2020 - 2025

Цвет обложки: бирюзовый, зелёный с графиком

ISBN: 978-985-03-3165-6

Популярные ГДЗ в 11 классе

Глава 3. Логарифмическая функция. Я проверяю свои знания - номер 6, страница 164.

№6 (с. 164)
Условие. №6 (с. 164)
скриншот условия
Алгебра, 11 класс Учебник, авторы: Арефьева Ирина Глебовна, Пирютко Ольга Николаевна, издательство Народная асвета, Минск, 2020, бирюзового цвета, страница 164, номер 6, Условие

6. Решите уравнение:

a) $\log_5(3x - 2) = 2;$

б) $\lg(x^2 - 6) - \lg x = 0;$

в) $\log_4 x + \log_4(x - 3) = 1;$

г) $\log_4^2 x - 3\log_4 x + 2 = 0.$

Решение. №6 (с. 164)
Алгебра, 11 класс Учебник, авторы: Арефьева Ирина Глебовна, Пирютко Ольга Николаевна, издательство Народная асвета, Минск, 2020, бирюзового цвета, страница 164, номер 6, Решение Алгебра, 11 класс Учебник, авторы: Арефьева Ирина Глебовна, Пирютко Ольга Николаевна, издательство Народная асвета, Минск, 2020, бирюзового цвета, страница 164, номер 6, Решение (продолжение 2) Алгебра, 11 класс Учебник, авторы: Арефьева Ирина Глебовна, Пирютко Ольга Николаевна, издательство Народная асвета, Минск, 2020, бирюзового цвета, страница 164, номер 6, Решение (продолжение 3)
Решение 2. №6 (с. 164)

а) $\log_5(3x - 2) = 2$

Данное уравнение является логарифмическим. Для его решения сначала определим область допустимых значений (ОДЗ). Выражение, стоящее под знаком логарифма, должно быть строго положительным.

ОДЗ: $3x - 2 > 0$

$3x > 2$

$x > \frac{2}{3}$

Теперь решаем уравнение, используя определение логарифма: $\log_a b = c \Leftrightarrow a^c = b$.

$3x - 2 = 5^2$

$3x - 2 = 25$

$3x = 25 + 2$

$3x = 27$

$x = \frac{27}{3}$

$x = 9$

Проверим, принадлежит ли найденный корень ОДЗ. Условие $x > \frac{2}{3}$ выполняется, так как $9 > \frac{2}{3}$. Следовательно, корень $x=9$ является решением уравнения.

Ответ: $9$.

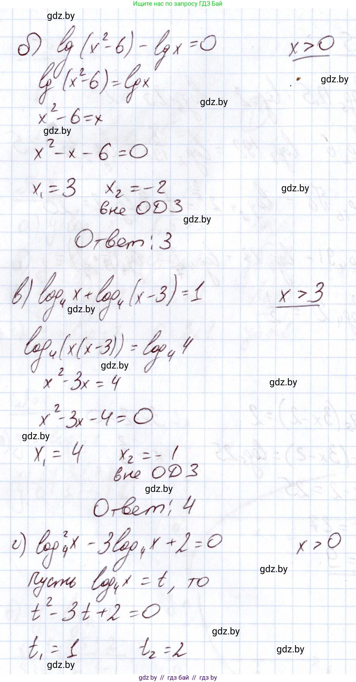
б) $\lg(x^2 - 6) - \lg x = 0$

Найдём ОДЗ. Аргументы обоих логарифмов должны быть положительными. Запись $\lg$ означает логарифм по основанию 10.

ОДЗ: $\begin{cases} x^2 - 6 > 0 \\ x > 0 \end{cases}$

Решим первое неравенство: $x^2 > 6$, что означает $x < -\sqrt{6}$ или $x > \sqrt{6}$.

Совмещая с условием $x > 0$, получаем итоговую ОДЗ: $x > \sqrt{6}$.

Теперь решим само уравнение. Перенесем $\lg x$ в правую часть:

$\lg(x^2 - 6) = \lg x$

Так как основания логарифмов равны, мы можем приравнять их аргументы:

$x^2 - 6 = x$

$x^2 - x - 6 = 0$

Это квадратное уравнение. Решим его, например, с помощью теоремы Виета: сумма корней равна 1, произведение равно -6. Корни уравнения: $x_1 = 3$ и $x_2 = -2$.

Проверим найденные корни на соответствие ОДЗ ($x > \sqrt{6}$).

Корень $x_1 = 3$. Так как $3 = \sqrt{9}$ и $\sqrt{9} > \sqrt{6}$, этот корень удовлетворяет ОДЗ.

Корень $x_2 = -2$. Этот корень не удовлетворяет ОДЗ, так как $-2 < \sqrt{6}$. Это посторонний корень.

Ответ: $3$.

в) $\log_4 x + \log_4 (x - 3) = 1$

Найдем ОДЗ для данного уравнения:

ОДЗ: $\begin{cases} x > 0 \\ x - 3 > 0 \end{cases} \Rightarrow \begin{cases} x > 0 \\ x > 3 \end{cases}$. Общим решением системы является $x > 3$.

Воспользуемся свойством суммы логарифмов с одинаковым основанием: $\log_a M + \log_a N = \log_a(M \cdot N)$.

$\log_4(x(x - 3)) = 1$

Теперь используем определение логарифма:

$x(x - 3) = 4^1$

$x^2 - 3x = 4$

$x^2 - 3x - 4 = 0$

Решим полученное квадратное уравнение. По теореме Виета, сумма корней равна 3, а произведение -4. Корни: $x_1 = 4$ и $x_2 = -1$.

Проверим корни на соответствие ОДЗ ($x > 3$).

Корень $x_1 = 4$ удовлетворяет условию $4 > 3$.

Корень $x_2 = -1$ не удовлетворяет условию $x > 3$, так как $-1 < 3$. Это посторонний корень.

Ответ: $4$.

г) $\log_4^2 x - 3\log_4 x + 2 = 0$

ОДЗ уравнения определяется условием $x > 0$.

Данное уравнение является квадратным относительно $\log_4 x$. Для его решения введем новую переменную. Пусть $t = \log_4 x$.

Тогда уравнение примет вид:

$t^2 - 3t + 2 = 0$

Решим это квадратное уравнение относительно $t$. По теореме Виета, сумма корней равна 3, а произведение 2. Корни:

$t_1 = 1$ и $t_2 = 2$.

Теперь вернемся к исходной переменной $x$, выполнив обратную замену.

1) При $t = 1$:
$\log_4 x = 1$
$x = 4^1$
$x_1 = 4$

2) При $t = 2$:
$\log_4 x = 2$
$x = 4^2$
$x_2 = 16$

Оба найденных корня ($4$ и $16$) положительны, следовательно, оба удовлетворяют ОДЗ ($x > 0$).

Ответ: $4; 16$.

Помогло решение? Оставьте отзыв в комментариях ниже.

Присоединяйтесь к Телеграм-группе @gdz_by_belarus

Присоединиться

Мы подготовили для вас ответ c подробным объяснением домашего задания по алгебре за 11 класс, для упражнения номер 6 расположенного на странице 164 к учебнику 2020 года издания для учащихся школ и гимназий.

Теперь на нашем сайте ГДЗ.ТОП вы всегда легко и бесплатно найдёте условие с правильным ответом на вопрос «Как решить ДЗ» и «Как сделать» задание по алгебре к упражнению №6 (с. 164), авторов: Арефьева (Ирина Глебовна), Пирютко (Ольга Николаевна), учебного пособия издательства Народная асвета.