Номер 3.276, страница 162 - гдз по алгебре 11 класс учебник Арефьева, Пирютко

Алгебра, 11 класс Учебник, авторы: Арефьева Ирина Глебовна, Пирютко Ольга Николаевна, издательство Народная асвета, Минск, 2020, бирюзового цвета

Авторы: Арефьева И. Г., Пирютко О. Н.

Тип: Учебник

Издательство: Народная асвета

Год издания: 2020 - 2025

Цвет обложки: бирюзовый, зелёный с графиком

ISBN: 978-985-03-3165-6

Популярные ГДЗ в 11 классе

Глава 3. Логарифмическая функция. Параграф 10. Логарифмические неравенства - номер 3.276, страница 162.

№3.276 (с. 162)
Условие. №3.276 (с. 162)
скриншот условия
Алгебра, 11 класс Учебник, авторы: Арефьева Ирина Глебовна, Пирютко Ольга Николаевна, издательство Народная асвета, Минск, 2020, бирюзового цвета, страница 162, номер 3.276, Условие

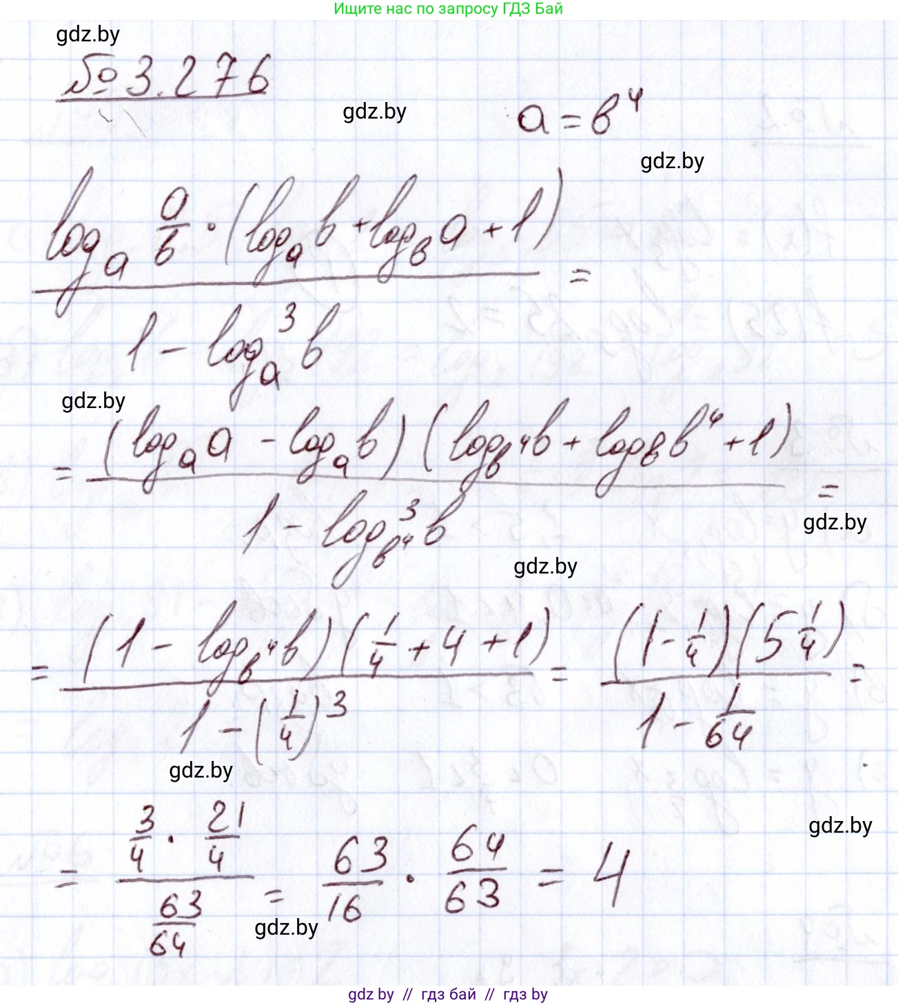
3.276*. Найдите значение выражения $ \frac{\log_a \frac{a}{b} \cdot (\log_a b + \log_b a + 1)}{1 - \log_a^3 b} $, если $a = b^4$.

Решение. №3.276 (с. 162)
Алгебра, 11 класс Учебник, авторы: Арефьева Ирина Глебовна, Пирютко Ольга Николаевна, издательство Народная асвета, Минск, 2020, бирюзового цвета, страница 162, номер 3.276, Решение
Решение 2. №3.276 (с. 162)

3.276*

Для решения задачи сначала упростим данное выражение, а затем используем условие $a = b^4$.

Преобразуем числитель и знаменатель выражения по отдельности, используя свойства логарифмов.

1. Рассмотрим первый множитель в числителе: $\log_a \frac{a}{b}$.

Используем свойство логарифма частного $\log_c(x/y) = \log_c x - \log_c y$:

$\log_a \frac{a}{b} = \log_a a - \log_a b = 1 - \log_a b$

2. Рассмотрим второй множитель в числителе: $(\log_a b + \log_b a + 1)$.

Используем формулу перехода к новому основанию $\log_b a = \frac{1}{\log_a b}$:

$(\log_a b + \frac{1}{\log_a b} + 1)$

3. Рассмотрим знаменатель: $1 - \log_a^3 b$.

Это разность кубов, которую можно разложить на множители по формуле $x^3 - y^3 = (x-y)(x^2+xy+y^2)$. В нашем случае это $1^3 - (\log_a b)^3$:

$1 - \log_a^3 b = (1 - \log_a b)(1 + \log_a b + (\log_a b)^2)$

4. Подставим преобразованные части обратно в исходное выражение:

$\frac{(1 - \log_a b) \cdot (\log_a b + \frac{1}{\log_a b} + 1)}{(1 - \log_a b)(1 + \log_a b + \log_a^2 b)}$

Сократим общий множитель $(1 - \log_a b)$ в числителе и знаменателе (это возможно, так как из условия $a = b^4$ следует, что $a \neq b$, а значит $\log_a b \neq 1$):

$\frac{\log_a b + \frac{1}{\log_a b} + 1}{1 + \log_a b + \log_a^2 b}$

Приведем слагаемые в числителе к общему знаменателю $\log_a b$:

$\log_a b + \frac{1}{\log_a b} + 1 = \frac{(\log_a b)^2 + 1 + \log_a b}{\log_a b} = \frac{\log_a^2 b + \log_a b + 1}{\log_a b}$

Подставим это обратно в дробь:

$\frac{\frac{\log_a^2 b + \log_a b + 1}{\log_a b}}{1 + \log_a b + \log_a^2 b} = \frac{\log_a^2 b + \log_a b + 1}{\log_a b \cdot (1 + \log_a b + \log_a^2 b)}$

Сократим общий множитель $(\log_a^2 b + \log_a b + 1)$:

$\frac{1}{\log_a b}$

Используя свойство $\frac{1}{\log_a b} = \log_b a$, получаем, что исходное выражение равно $\log_b a$.

5. Теперь найдем значение $\log_b a$, используя данное условие $a = b^4$.

Прологарифмируем обе части равенства $a = b^4$ по основанию $b$:

$\log_b a = \log_b(b^4)$

Используя свойство логарифма степени $\log_c(x^p) = p \log_c x$:

$\log_b a = 4 \log_b b$

Так как $\log_b b = 1$, получаем:

$\log_b a = 4 \cdot 1 = 4$

Следовательно, значение всего выражения равно 4.

Ответ: $4$

Помогло решение? Оставьте отзыв в комментариях ниже.

Присоединяйтесь к Телеграм-группе @gdz_by_belarus

Присоединиться

Мы подготовили для вас ответ c подробным объяснением домашего задания по алгебре за 11 класс, для упражнения номер 3.276 расположенного на странице 162 к учебнику 2020 года издания для учащихся школ и гимназий.

Теперь на нашем сайте ГДЗ.ТОП вы всегда легко и бесплатно найдёте условие с правильным ответом на вопрос «Как решить ДЗ» и «Как сделать» задание по алгебре к упражнению №3.276 (с. 162), авторов: Арефьева (Ирина Глебовна), Пирютко (Ольга Николаевна), учебного пособия издательства Народная асвета.