Номер 3.269, страница 162 - гдз по алгебре 11 класс учебник Арефьева, Пирютко

Алгебра, 11 класс Учебник, авторы: Арефьева Ирина Глебовна, Пирютко Ольга Николаевна, издательство Народная асвета, Минск, 2020, бирюзового цвета

Авторы: Арефьева И. Г., Пирютко О. Н.

Тип: Учебник

Издательство: Народная асвета

Год издания: 2020 - 2025

Цвет обложки: бирюзовый, зелёный с графиком

ISBN: 978-985-03-3165-6

Популярные ГДЗ в 11 классе

Глава 3. Логарифмическая функция. Параграф 10. Логарифмические неравенства - номер 3.269, страница 162.

№3.269 (с. 162)
Условие. №3.269 (с. 162)
скриншот условия
Алгебра, 11 класс Учебник, авторы: Арефьева Ирина Глебовна, Пирютко Ольга Николаевна, издательство Народная асвета, Минск, 2020, бирюзового цвета, страница 162, номер 3.269, Условие

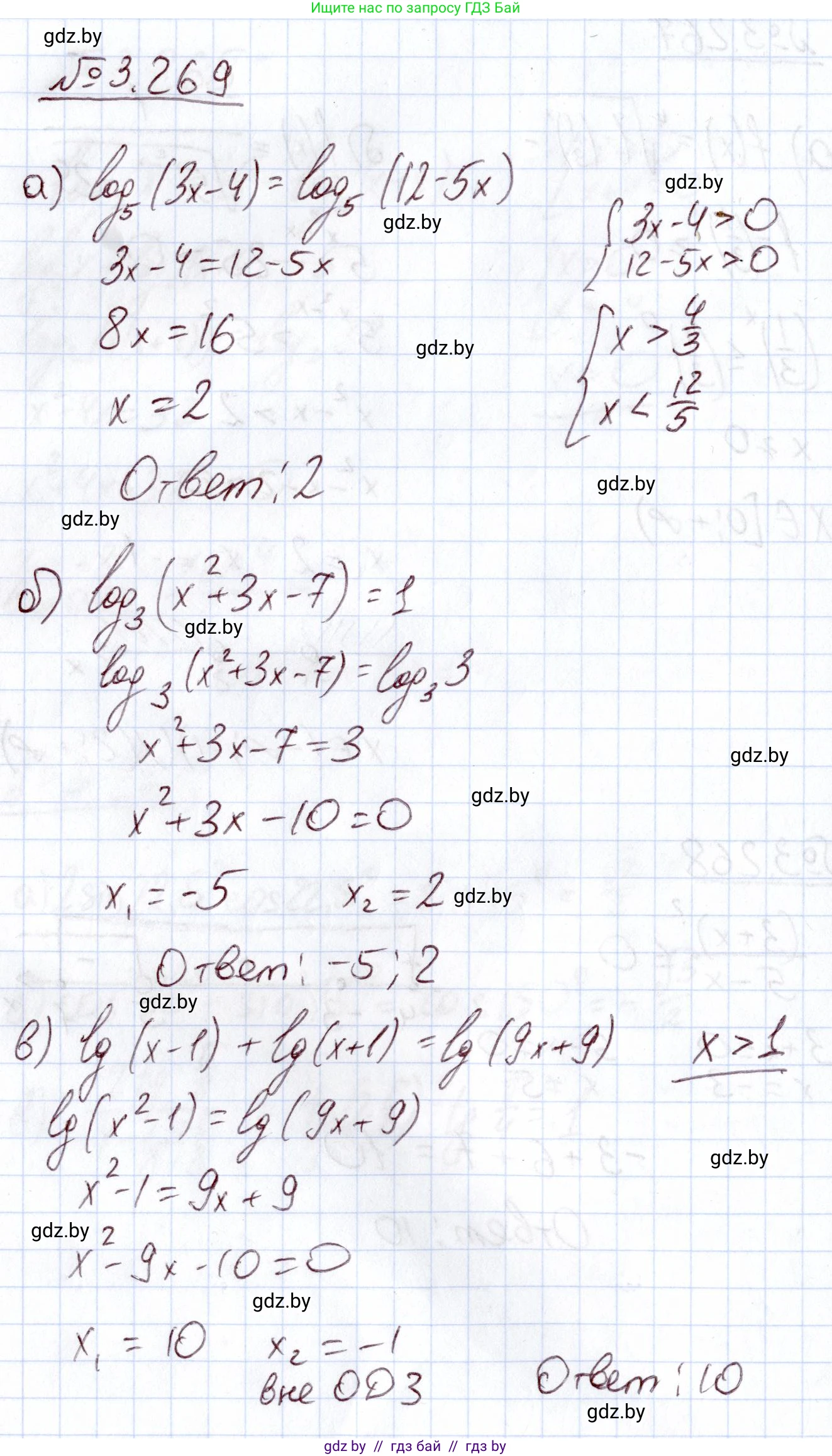
3.269. Решите логарифмическое уравнение:

a) $\log_5 (3x - 4) = \log_5 (12 - 5x)$;

б) $\log_3 (x^2 + 3x - 7) = 1$;

в) $\lg(x - 1) + \lg(x + 1) = \lg(9x + 9)$;

г) $3\log_{\frac{1}{8}}^2 x + 5\log_{\frac{1}{8}} x - 2 = 0$.

Решение. №3.269 (с. 162)
Алгебра, 11 класс Учебник, авторы: Арефьева Ирина Глебовна, Пирютко Ольга Николаевна, издательство Народная асвета, Минск, 2020, бирюзового цвета, страница 162, номер 3.269, Решение Алгебра, 11 класс Учебник, авторы: Арефьева Ирина Глебовна, Пирютко Ольга Николаевна, издательство Народная асвета, Минск, 2020, бирюзового цвета, страница 162, номер 3.269, Решение (продолжение 2)
Решение 2. №3.269 (с. 162)

а) $ \log_5(3x-4) = \log_5(12-5x) $

Данное уравнение определено, если аргументы логарифмов положительны. Запишем область допустимых значений (ОДЗ):

$ \begin{cases} 3x - 4 > 0 \\ 12 - 5x > 0 \end{cases} \implies \begin{cases} 3x > 4 \\ 12 > 5x \end{cases} \implies \begin{cases} x > \frac{4}{3} \\ x < \frac{12}{5} \end{cases} $

Таким образом, ОДЗ: $ x \in (\frac{4}{3}; \frac{12}{5}) $.

Поскольку основания логарифмов в обеих частях уравнения одинаковы, мы можем приравнять их аргументы:

$ 3x - 4 = 12 - 5x $

Перенесем слагаемые с $x$ в левую часть, а свободные члены — в правую:

$ 3x + 5x = 12 + 4 $

$ 8x = 16 $

$ x = \frac{16}{8} $

$ x = 2 $

Проверим, входит ли найденный корень в ОДЗ. Так как $ \frac{4}{3} \approx 1,33 $ и $ \frac{12}{5} = 2,4 $, то условие $ \frac{4}{3} < 2 < \frac{12}{5} $ выполняется. Следовательно, корень подходит.

Ответ: 2.

б) $ \log_3(x^2 + 3x - 7) = 1 $

Найдем ОДЗ: аргумент логарифма должен быть больше нуля.

$ x^2 + 3x - 7 > 0 $

По определению логарифма, $ \log_a b = c \iff a^c = b $. Применим это свойство к нашему уравнению:

$ x^2 + 3x - 7 = 3^1 $

$ x^2 + 3x - 7 = 3 $

$ x^2 + 3x - 10 = 0 $

Решим полученное квадратное уравнение с помощью теоремы Виета. Сумма корней равна -3, а их произведение равно -10. Корнями являются $ x_1 = 2 $ и $ x_2 = -5 $.

Можно также решить через дискриминант:

$ D = b^2 - 4ac = 3^2 - 4 \cdot 1 \cdot (-10) = 9 + 40 = 49 $

$ x_{1,2} = \frac{-b \pm \sqrt{D}}{2a} = \frac{-3 \pm \sqrt{49}}{2} = \frac{-3 \pm 7}{2} $

$ x_1 = \frac{-3+7}{2} = \frac{4}{2} = 2 $

$ x_2 = \frac{-3-7}{2} = \frac{-10}{2} = -5 $

Так как при решении мы получили, что подлогарифмическое выражение $ x^2 + 3x - 7 $ равно 3, а $ 3 > 0 $, то оба найденных корня удовлетворяют ОДЗ.

Ответ: -5; 2.

в) $ \lg(x - 1) + \lg(x + 1) = \lg(9x + 9) $

Найдем ОДЗ. Все подлогарифмические выражения должны быть положительны:

$ \begin{cases} x - 1 > 0 \\ x + 1 > 0 \\ 9x + 9 > 0 \end{cases} \implies \begin{cases} x > 1 \\ x > -1 \\ x > -1 \end{cases} $

Объединив условия, получаем ОДЗ: $ x > 1 $.

Используем свойство суммы логарифмов $ \log_a M + \log_a N = \log_a (M \cdot N) $ для левой части уравнения:

$ \lg((x - 1)(x + 1)) = \lg(9x + 9) $

Применяем формулу разности квадратов $ (a-b)(a+b) = a^2-b^2 $:

$ \lg(x^2 - 1) = \lg(9x + 9) $

Так как основания логарифмов равны, приравниваем аргументы:

$ x^2 - 1 = 9x + 9 $

$ x^2 - 9x - 10 = 0 $

Решим квадратное уравнение. По теореме Виета, сумма корней равна 9, а произведение -10. Корнями являются $ x_1 = 10 $ и $ x_2 = -1 $.

Проверим корни на соответствие ОДЗ ($ x > 1 $):

$ x_1 = 10 $ — удовлетворяет условию $ 10 > 1 $.

$ x_2 = -1 $ — не удовлетворяет условию $ -1 > 1 $, является посторонним корнем.

Таким образом, решением уравнения является только $ x = 10 $.

Ответ: 10.

г) $ 3\log_{\frac{1}{8}}^2 x + 5\log_{\frac{1}{8}} x - 2 = 0 $

ОДЗ данного уравнения: $ x > 0 $.

Это уравнение является квадратным относительно $ \log_{\frac{1}{8}} x $. Сделаем замену переменной. Пусть $ t = \log_{\frac{1}{8}} x $. Тогда уравнение примет вид:

$ 3t^2 + 5t - 2 = 0 $

Решим это квадратное уравнение через дискриминант:

$ D = b^2 - 4ac = 5^2 - 4 \cdot 3 \cdot (-2) = 25 + 24 = 49 $

$ t_{1,2} = \frac{-b \pm \sqrt{D}}{2a} = \frac{-5 \pm \sqrt{49}}{6} = \frac{-5 \pm 7}{6} $

$ t_1 = \frac{-5+7}{6} = \frac{2}{6} = \frac{1}{3} $

$ t_2 = \frac{-5-7}{6} = \frac{-12}{6} = -2 $

Теперь выполним обратную замену для каждого найденного значения $t$:

1) $ \log_{\frac{1}{8}} x = t_1 = \frac{1}{3} $

$ x = \left(\frac{1}{8}\right)^{\frac{1}{3}} = \sqrt[3]{\frac{1}{8}} = \frac{1}{2} $

2) $ \log_{\frac{1}{8}} x = t_2 = -2 $

$ x = \left(\frac{1}{8}\right)^{-2} = 8^2 = 64 $

Оба корня ($ \frac{1}{2} $ и 64) положительны, следовательно, удовлетворяют ОДЗ.

Ответ: 0,5; 64.

Помогло решение? Оставьте отзыв в комментариях ниже.

Присоединяйтесь к Телеграм-группе @gdz_by_belarus

Присоединиться

Мы подготовили для вас ответ c подробным объяснением домашего задания по алгебре за 11 класс, для упражнения номер 3.269 расположенного на странице 162 к учебнику 2020 года издания для учащихся школ и гимназий.

Теперь на нашем сайте ГДЗ.ТОП вы всегда легко и бесплатно найдёте условие с правильным ответом на вопрос «Как решить ДЗ» и «Как сделать» задание по алгебре к упражнению №3.269 (с. 162), авторов: Арефьева (Ирина Глебовна), Пирютко (Ольга Николаевна), учебного пособия издательства Народная асвета.