Номер 3.272, страница 162 - гдз по алгебре 11 класс учебник Арефьева, Пирютко

Алгебра, 11 класс Учебник, авторы: Арефьева Ирина Глебовна, Пирютко Ольга Николаевна, издательство Народная асвета, Минск, 2020, бирюзового цвета

Авторы: Арефьева И. Г., Пирютко О. Н.

Тип: Учебник

Издательство: Народная асвета

Год издания: 2020 - 2025

Цвет обложки: бирюзовый, зелёный с графиком

ISBN: 978-985-03-3165-6

Популярные ГДЗ в 11 классе

Глава 3. Логарифмическая функция. Параграф 10. Логарифмические неравенства - номер 3.272, страница 162.

№3.272 (с. 162)
Условие. №3.272 (с. 162)
скриншот условия
Алгебра, 11 класс Учебник, авторы: Арефьева Ирина Глебовна, Пирютко Ольга Николаевна, издательство Народная асвета, Минск, 2020, бирюзового цвета, страница 162, номер 3.272, Условие

3.272. Найдите область определения функции

$f(x) = (x^2 - 4x + 3)^{0.7} + (9 - x^2)^{-\frac{1}{3}}$

Решение. №3.272 (с. 162)
Алгебра, 11 класс Учебник, авторы: Арефьева Ирина Глебовна, Пирютко Ольга Николаевна, издательство Народная асвета, Минск, 2020, бирюзового цвета, страница 162, номер 3.272, Решение
Решение 2. №3.272 (с. 162)

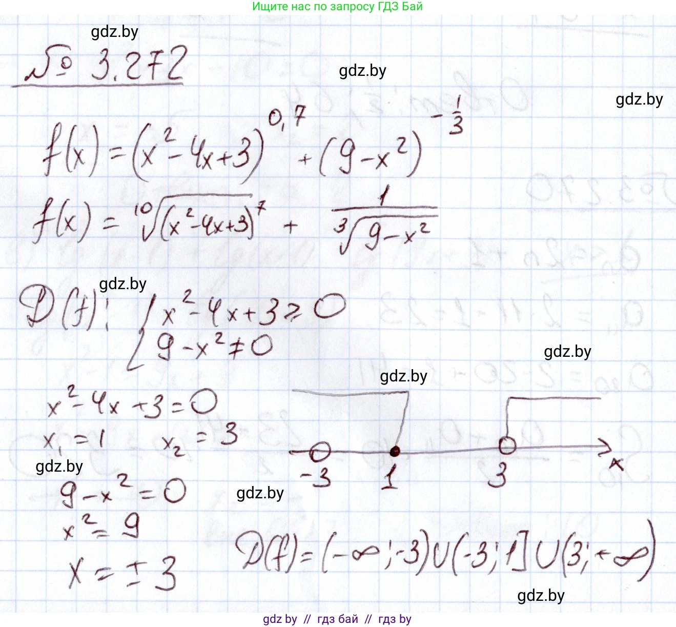
Область определения функции $f(x) = (x^2 - 4x + 3)^{0,7} + (9 - x^2)^{-\frac{1}{3}}$ является пересечением областей определения двух ее слагаемых: $y_1 = (x^2 - 4x + 3)^{0,7}$ и $y_2 = (9 - x^2)^{-\frac{1}{3}}$.

Рассмотрим первое слагаемое $y_1 = (x^2 - 4x + 3)^{0,7}$. Показатель степени $0,7$ можно представить в виде дроби $\frac{7}{10}$. Так как знаменатель этой дроби (10) — четное число, то степенная функция с таким показателем определена только для неотрицательных значений основания. Таким образом, необходимо выполнение условия:$x^2 - 4x + 3 \ge 0$. Для решения этого неравенства найдем корни соответствующего квадратного уравнения $x^2 - 4x + 3 = 0$. По теореме Виета, корнями являются $x_1 = 1$ и $x_2 = 3$. Так как ветви параболы $y = x^2 - 4x + 3$ направлены вверх, неравенство выполняется для значений $x$ вне интервала между корнями. Таким образом, область определения первого слагаемого: $x \in (-\infty, 1] \cup [3, \infty)$.

Рассмотрим второе слагаемое $y_2 = (9 - x^2)^{-\frac{1}{3}}$. Отрицательный показатель степени означает, что выражение можно записать в виде дроби:$y_2 = \frac{1}{(9 - x^2)^{\frac{1}{3}}} = \frac{1}{\sqrt[3]{9 - x^2}}$. Кубический корень определен для любого действительного числа в подкоренном выражении. Единственное ограничение для данной дроби — знаменатель не должен быть равен нулю.$\sqrt[3]{9 - x^2} \ne 0$Возведя обе части в куб, получим:$9 - x^2 \ne 0$$x^2 \ne 9$, что означает $x \ne 3$ и $x \ne -3$. Следовательно, область определения второго слагаемого: $x \in (-\infty, -3) \cup (-3, 3) \cup (3, \infty)$.

Для нахождения области определения исходной функции $f(x)$ необходимо найти пересечение найденных областей. Это соответствует решению системы условий:$\begin{cases} x \in (-\infty, 1] \cup [3, \infty) \\ x \ne 3 \text{ и } x \ne -3 \end{cases}$Из первого условия $x \in (-\infty, 1] \cup [3, \infty)$ исключаем точки, запрещенные вторым условием. Интервал $(-\infty, 1]$ содержит точку $x=-3$, которую нужно исключить. Получаем $(-\infty, -3) \cup (-3, 1]$. Множество $[3, \infty)$ содержит точку $x=3$, которую нужно исключить. Получаем $(3, \infty)$. Объединив эти результаты, получаем итоговую область определения.

Ответ: $x \in (-\infty, -3) \cup (-3, 1] \cup (3, \infty)$.

Помогло решение? Оставьте отзыв в комментариях ниже.

Присоединяйтесь к Телеграм-группе @gdz_by_belarus

Присоединиться

Мы подготовили для вас ответ c подробным объяснением домашего задания по алгебре за 11 класс, для упражнения номер 3.272 расположенного на странице 162 к учебнику 2020 года издания для учащихся школ и гимназий.

Теперь на нашем сайте ГДЗ.ТОП вы всегда легко и бесплатно найдёте условие с правильным ответом на вопрос «Как решить ДЗ» и «Как сделать» задание по алгебре к упражнению №3.272 (с. 162), авторов: Арефьева (Ирина Глебовна), Пирютко (Ольга Николаевна), учебного пособия издательства Народная асвета.