Номер 3.263, страница 161 - гдз по алгебре 11 класс учебник Арефьева, Пирютко

Алгебра, 11 класс Учебник, авторы: Арефьева Ирина Глебовна, Пирютко Ольга Николаевна, издательство Народная асвета, Минск, 2020, бирюзового цвета

Авторы: Арефьева И. Г., Пирютко О. Н.

Тип: Учебник

Издательство: Народная асвета

Год издания: 2020 - 2025

Цвет обложки: бирюзовый, зелёный с графиком

ISBN: 978-985-03-3165-6

Популярные ГДЗ в 11 классе

Глава 3. Логарифмическая функция. Параграф 10. Логарифмические неравенства - номер 3.263, страница 161.

№3.263 (с. 161)
Условие. №3.263 (с. 161)
скриншот условия
Алгебра, 11 класс Учебник, авторы: Арефьева Ирина Глебовна, Пирютко Ольга Николаевна, издательство Народная асвета, Минск, 2020, бирюзового цвета, страница 161, номер 3.263, Условие

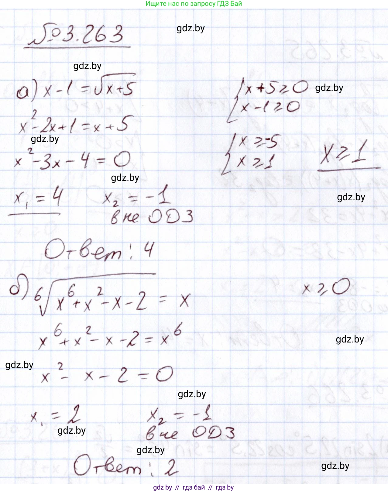
3.263. Решите иррациональное уравнение:

a) $x-1 = \sqrt{x+5}$;

б) $\sqrt[6]{x^6+x^2-x-2} = x$.

Решение. №3.263 (с. 161)
Алгебра, 11 класс Учебник, авторы: Арефьева Ирина Глебовна, Пирютко Ольга Николаевна, издательство Народная асвета, Минск, 2020, бирюзового цвета, страница 161, номер 3.263, Решение
Решение 2. №3.263 (с. 161)

а) $x - 1 = \sqrt{x + 5}$

Для решения данного иррационального уравнения необходимо сначала найти область допустимых значений (ОДЗ). Выражение под корнем должно быть неотрицательным, и так как квадратный корень по определению является неотрицательной величиной, левая часть уравнения также должна быть неотрицательной.

1) Поткоренное выражение: $x + 5 \ge 0 \implies x \ge -5$.
2) Левая часть уравнения: $x - 1 \ge 0 \implies x \ge 1$.

Объединяя эти два условия, получаем ОДЗ: $x \in [1; +\infty)$.

Теперь возведем обе части уравнения в квадрат, чтобы избавиться от знака корня:

$(x - 1)^2 = (\sqrt{x + 5})^2$

$x^2 - 2x + 1 = x + 5$

Перенесем все члены уравнения в левую часть и приведем подобные слагаемые, чтобы получить стандартное квадратное уравнение:

$x^2 - 2x - x + 1 - 5 = 0$

$x^2 - 3x - 4 = 0$

Решим полученное квадратное уравнение. Можно использовать теорему Виета или формулу для нахождения корней через дискриминант.

Дискриминант $D = b^2 - 4ac = (-3)^2 - 4 \cdot 1 \cdot (-4) = 9 + 16 = 25$.

Корни уравнения:

$x_1 = \frac{-b + \sqrt{D}}{2a} = \frac{3 + \sqrt{25}}{2} = \frac{3 + 5}{2} = 4$.

$x_2 = \frac{-b - \sqrt{D}}{2a} = \frac{3 - \sqrt{25}}{2} = \frac{3 - 5}{2} = -1$.

Проверим найденные корни на соответствие ОДЗ ($x \ge 1$).

Корень $x_1 = 4$ удовлетворяет условию $4 \ge 1$.

Корень $x_2 = -1$ не удовлетворяет условию $x \ge 1$, следовательно, это посторонний корень.

Выполним проверку для $x=4$, подставив его в исходное уравнение:

$4 - 1 = \sqrt{4 + 5}$

$3 = \sqrt{9}$

$3 = 3$

Равенство верное, значит, корень найден правильно.

Ответ: $4$.

б) $\sqrt[6]{x^6 + x^2 - x - 2} = x$

Для решения этого уравнения определим область допустимых значений. Корень четной степени (шестой) по определению является неотрицательной величиной, поэтому правая часть уравнения также должна быть неотрицательной.

1) $x \ge 0$

Также подкоренное выражение должно быть неотрицательным:

2) $x^6 + x^2 - x - 2 \ge 0$

Решать это неравенство сложно, поэтому мы сначала решим уравнение, а затем проверим найденные корни на соответствие обоим условиям.

Возведем обе части уравнения в шестую степень:

$(\sqrt[6]{x^6 + x^2 - x - 2})^6 = x^6$

$x^6 + x^2 - x - 2 = x^6$

Вычтем $x^6$ из обеих частей уравнения:

$x^2 - x - 2 = 0$

Решим полученное квадратное уравнение. Найдем дискриминант:

$D = b^2 - 4ac = (-1)^2 - 4 \cdot 1 \cdot (-2) = 1 + 8 = 9$.

Корни уравнения:

$x_1 = \frac{-b + \sqrt{D}}{2a} = \frac{1 + \sqrt{9}}{2} = \frac{1 + 3}{2} = 2$.

$x_2 = \frac{-b - \sqrt{D}}{2a} = \frac{1 - \sqrt{9}}{2} = \frac{1 - 3}{2} = -1$.

Теперь проверим корни на соответствие условию $x \ge 0$.

Корень $x_1 = 2$ удовлетворяет условию $2 \ge 0$.

Корень $x_2 = -1$ не удовлетворяет условию $-1 \ge 0$, значит, это посторонний корень.

Выполним проверку для $x=2$, подставив его в исходное уравнение:

$\sqrt[6]{2^6 + 2^2 - 2 - 2} = 2$

$\sqrt[6]{64 + 4 - 2 - 2} = 2$

$\sqrt[6]{64} = 2$

$2 = 2$

Равенство верное. Также проверим второе условие ОДЗ: $x^6 + x^2 - x - 2 \ge 0$ при $x=2$.

$2^6 + 2^2 - 2 - 2 = 64 + 4 - 4 = 64 \ge 0$. Условие выполняется.

Ответ: $2$.

Помогло решение? Оставьте отзыв в комментариях ниже.

Присоединяйтесь к Телеграм-группе @gdz_by_belarus

Присоединиться

Мы подготовили для вас ответ c подробным объяснением домашего задания по алгебре за 11 класс, для упражнения номер 3.263 расположенного на странице 161 к учебнику 2020 года издания для учащихся школ и гимназий.

Теперь на нашем сайте ГДЗ.ТОП вы всегда легко и бесплатно найдёте условие с правильным ответом на вопрос «Как решить ДЗ» и «Как сделать» задание по алгебре к упражнению №3.263 (с. 161), авторов: Арефьева (Ирина Глебовна), Пирютко (Ольга Николаевна), учебного пособия издательства Народная асвета.