Номер 8, страница 124 - гдз по математике 5 класс сборник задач Пирютко, Терешко

Математика, 5 класс Сборник задач, авторы: Пирютко Ольга Николаевна, Терешко Оксана Александровна, Герасимов Валерий Дмитриевич, издательство Адукацыя i выхаванне, Минск, 2019, белого цвета

Авторы: Пирютко О. Н., Терешко О. А., Герасимов В. Д.

Тип: Сборник задач

Издательство: Адукацыя i выхаванне

Год издания: 2019 - 2025

Цвет обложки: белый, салатовый, оранжевый с учениками

ISBN: 978-985-599-035-3

Допущено Министерством образования Республики Беларусь

Популярные ГДЗ в 5 классе

Глава 3. Обыкновенные дроби. Параграф 8. Деление дробных чисел - номер 8, страница 124.

№8 (с. 124)
Условие. №8 (с. 124)
скриншот условия
Математика, 5 класс Сборник задач, авторы: Пирютко Ольга Николаевна, Терешко Оксана Александровна, Герасимов Валерий Дмитриевич, издательство Адукацыя i выхаванне, Минск, 2019, белого цвета, страница 124, номер 8, Условие

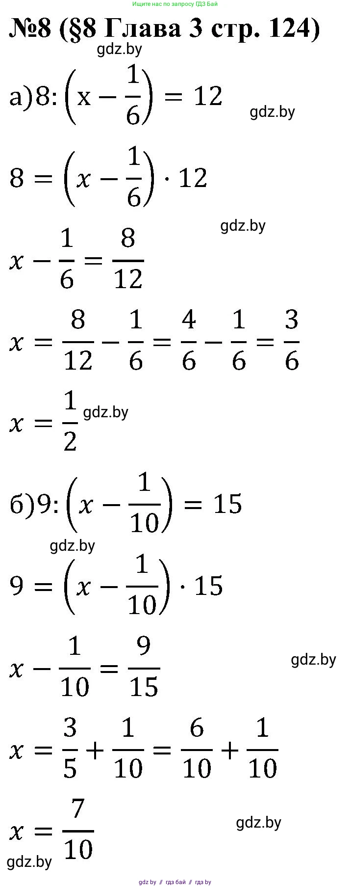
8. Решите уравнение:

а) $8:\left(x-\frac{1}{6}\right)=12;$

б) $9:\left(x-\frac{1}{10}\right)=15.$

Решение. №8 (с. 124)
Математика, 5 класс Сборник задач, авторы: Пирютко Ольга Николаевна, Терешко Оксана Александровна, Герасимов Валерий Дмитриевич, издательство Адукацыя i выхаванне, Минск, 2019, белого цвета, страница 124, номер 8, Решение
Решение 2. №8 (с. 124)

а) $8 : (x - \frac{1}{6}) = 12$

В данном уравнении выражение $(x - \frac{1}{6})$ является делителем. Чтобы найти неизвестный делитель, необходимо делимое (8) разделить на частное (12).

$x - \frac{1}{6} = 8 : 12$

Запишем частное в виде дроби и сократим её, разделив числитель и знаменатель на их наибольший общий делитель, равный 4:

$x - \frac{1}{6} = \frac{8}{12} = \frac{8 \div 4}{12 \div 4} = \frac{2}{3}$

Теперь мы получили более простое уравнение:

$x - \frac{1}{6} = \frac{2}{3}$

В этом уравнении $x$ является неизвестным уменьшаемым. Чтобы найти уменьшаемое, нужно к разности ($\frac{2}{3}$) прибавить вычитаемое ($\frac{1}{6}$).

$x = \frac{2}{3} + \frac{1}{6}$

Для сложения дробей приведем их к общему знаменателю. Наименьший общий знаменатель для 3 и 6 это 6. Умножим числитель и знаменатель первой дроби на 2:

$x = \frac{2 \cdot 2}{3 \cdot 2} + \frac{1}{6} = \frac{4}{6} + \frac{1}{6}$

Теперь сложим дроби с одинаковыми знаменателями:

$x = \frac{4 + 1}{6} = \frac{5}{6}$

Ответ: $x = \frac{5}{6}$.

б) $9 : (x - \frac{1}{10}) = 15$

В этом уравнении, как и в предыдущем, выражение в скобках $(x - \frac{1}{10})$ является делителем. Найдём его, разделив делимое (9) на частное (15).

$x - \frac{1}{10} = 9 : 15$

Представим деление в виде дроби и сократим её на наибольший общий делитель, равный 3:

$x - \frac{1}{10} = \frac{9}{15} = \frac{9 \div 3}{15 \div 3} = \frac{3}{5}$

Получили уравнение:

$x - \frac{1}{10} = \frac{3}{5}$

Далее находим неизвестное уменьшаемое $x$, складывая вычитаемое ($\frac{1}{10}$) и разность ($\frac{3}{5}$).

$x = \frac{3}{5} + \frac{1}{10}$

Приведем дроби к общему знаменателю 10. Для этого домножим первую дробь на 2:

$x = \frac{3 \cdot 2}{5 \cdot 2} + \frac{1}{10} = \frac{6}{10} + \frac{1}{10}$

Складываем дроби:

$x = \frac{6 + 1}{10} = \frac{7}{10}$

Ответ: $x = \frac{7}{10}$.

Помогло решение? Оставьте отзыв в комментариях ниже.

Присоединяйтесь к Телеграм-группе @gdz_by_belarus

Присоединиться

Мы подготовили для вас ответ c подробным объяснением домашего задания по математике за 5 класс, для упражнения номер 8 расположенного на странице 124 к сборнику задач 2019 года издания для учащихся школ и гимназий.

Теперь на нашем сайте ГДЗ.ТОП вы всегда легко и бесплатно найдёте условие с правильным ответом на вопрос «Как решить ДЗ» и «Как сделать» задание по математике к упражнению №8 (с. 124), авторов: Пирютко (Ольга Николаевна), Терешко (Оксана Александровна), Герасимов (Валерий Дмитриевич), учебного пособия издательства Адукацыя i выхаванне.