Номер 33.19, страница 159 - гдз по алгебре 7-9 класс сборник задач Арефьева, Пирютко

Алгебра, 7-9 класс Сборник задач, авторы: Арефьева Ирина Глебовна, Пирютко Ольга Николаевна, издательство Народная асвета, Минск, 2020

Авторы: Арефьева И. Г., Пирютко О. Н.

Тип: Сборник задач

Издательство: Народная асвета

Год издания: 2020 - 2025

Цвет обложки: синий с графиками

Допущено Министерством образования Республики Беларусь

Популярные ГДЗ в 7 классе

9 класс. Параграф 33. Действия с рациональными дробями - номер 33.19, страница 159.

№33.19 (с. 159)
Условие. №33.19 (с. 159)
скриншот условия
Алгебра, 7-9 класс Сборник задач, авторы: Арефьева Ирина Глебовна, Пирютко Ольга Николаевна, издательство Народная асвета, Минск, 2020, страница 159, номер 33.19, Условие

33.19. Выполните действия с рациональными дробями:

а) $\frac{a + x}{a} + \frac{a - x}{x}$;

б) $\frac{5x - 2y}{5x} + \frac{5x - 2y}{2y}$;

В) $\frac{x + y}{x - y} - \frac{x - y}{x + y}$;

Г) $\frac{1 - b}{a + 1} - \frac{b + 1}{1 - a}$.

Решение. №33.19 (с. 159)
Алгебра, 7-9 класс Сборник задач, авторы: Арефьева Ирина Глебовна, Пирютко Ольга Николаевна, издательство Народная асвета, Минск, 2020, страница 159, номер 33.19, Решение Алгебра, 7-9 класс Сборник задач, авторы: Арефьева Ирина Глебовна, Пирютко Ольга Николаевна, издательство Народная асвета, Минск, 2020, страница 159, номер 33.19, Решение (продолжение 2)
Решение 2. №33.19 (с. 159)

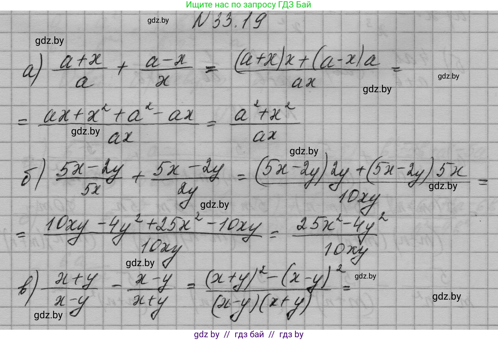
а) Чтобы сложить дроби $\frac{a+x}{a} + \frac{a-x}{x}$, приведем их к общему знаменателю. Общий знаменатель для знаменателей $a$ и $x$ — это их произведение $ax$. Умножим числитель и знаменатель первой дроби на дополнительный множитель $x$, а второй дроби — на $a$:
$\frac{a+x}{a} + \frac{a-x}{x} = \frac{(a+x) \cdot x}{a \cdot x} + \frac{(a-x) \cdot a}{x \cdot a} = \frac{ax+x^2}{ax} + \frac{a^2-ax}{ax}$
Теперь сложим дроби с одинаковыми знаменателями, сложив их числители:
$\frac{ax+x^2+a^2-ax}{ax}$
Приведем подобные слагаемые в числителе ($ax$ и $-ax$ взаимно уничтожаются):
$\frac{x^2+a^2}{ax}$
Ответ: $\frac{a^2+x^2}{ax}$

б) Чтобы сложить дроби $\frac{5x-2y}{5x} + \frac{5x-2y}{2y}$, найдем их общий знаменатель. Наименьший общий знаменатель для $5x$ и $2y$ — это $10xy$.
Дополнительный множитель для первой дроби — $2y$, а для второй — $5x$.
$\frac{(5x-2y) \cdot 2y}{5x \cdot 2y} + \frac{(5x-2y) \cdot 5x}{2y \cdot 5x} = \frac{10xy - 4y^2}{10xy} + \frac{25x^2 - 10xy}{10xy}$
Сложим числители:
$\frac{10xy - 4y^2 + 25x^2 - 10xy}{10xy}$
Приведем подобные слагаемые в числителе ($10xy$ и $-10xy$ взаимно уничтожаются):
$\frac{25x^2 - 4y^2}{10xy}$
Ответ: $\frac{25x^2 - 4y^2}{10xy}$

в) Чтобы выполнить вычитание дробей $\frac{x+y}{x-y} - \frac{x-y}{x+y}$, приведем их к общему знаменателю. Общим знаменателем будет произведение $(x-y)(x+y)$, которое по формуле разности квадратов равно $x^2-y^2$.
Домножим первую дробь на $(x+y)$, а вторую на $(x-y)$:
$\frac{(x+y)(x+y)}{(x-y)(x+y)} - \frac{(x-y)(x-y)}{(x+y)(x-y)} = \frac{(x+y)^2 - (x-y)^2}{x^2-y^2}$
Раскроем квадраты в числителе по формулам сокращенного умножения: $(a+b)^2 = a^2+2ab+b^2$ и $(a-b)^2 = a^2-2ab+b^2$.
$\frac{(x^2+2xy+y^2) - (x^2-2xy+y^2)}{x^2-y^2}$
Раскроем скобки в числителе, обращая внимание на знак "минус" перед второй скобкой:
$\frac{x^2+2xy+y^2 - x^2+2xy-y^2}{x^2-y^2}$
Приведем подобные слагаемые: $x^2-x^2=0$, $y^2-y^2=0$, $2xy+2xy=4xy$.
$\frac{4xy}{x^2-y^2}$
Ответ: $\frac{4xy}{x^2-y^2}$

г) Рассмотрим выражение $\frac{1-b}{a+1} - \frac{b+1}{1-a}$.
Заметим, что знаменатель второй дроби $1-a = -(a-1)$. Используем это, чтобы изменить знак перед дробью и в знаменателе:
$\frac{1-b}{a+1} - \frac{b+1}{-(a-1)} = \frac{1-b}{a+1} + \frac{b+1}{a-1}$
Теперь приведем дроби к общему знаменателю $(a+1)(a-1) = a^2-1$.
Дополнительный множитель для первой дроби — $(a-1)$, для второй — $(a+1)$.
$\frac{(1-b)(a-1)}{(a+1)(a-1)} + \frac{(b+1)(a+1)}{(a-1)(a+1)} = \frac{(1-b)(a-1) + (b+1)(a+1)}{a^2-1}$
Раскроем скобки в числителе:
$\frac{(a-1-ab+b) + (ab+b+a+1)}{a^2-1}$
Уберем скобки и приведем подобные слагаемые в числителе:
$\frac{a-1-ab+b+ab+b+a+1}{a^2-1} = \frac{(a+a) + (-1+1) + (-ab+ab) + (b+b)}{a^2-1} = \frac{2a+2b}{a^2-1}$
Вынесем общий множитель 2 в числителе:
$\frac{2(a+b)}{a^2-1}$
Ответ: $\frac{2(a+b)}{a^2-1}$

Помогло решение? Оставьте отзыв в комментариях ниже.

Присоединяйтесь к Телеграм-группе @gdz_by_belarus

Присоединиться

Мы подготовили для вас ответ c подробным объяснением домашего задания по алгебре за 7-9 класс, для упражнения номер 33.19 расположенного на странице 159 к сборнику задач 2020 года издания для учащихся школ и гимназий.

Теперь на нашем сайте ГДЗ.ТОП вы всегда легко и бесплатно найдёте условие с правильным ответом на вопрос «Как решить ДЗ» и «Как сделать» задание по алгебре к упражнению №33.19 (с. 159), авторов: Арефьева (Ирина Глебовна), Пирютко (Ольга Николаевна), учебного пособия издательства Народная асвета.