Номер 39.25, страница 196 - гдз по алгебре 7-9 класс сборник задач Арефьева, Пирютко

Алгебра, 7-9 класс Сборник задач, авторы: Арефьева Ирина Глебовна, Пирютко Ольга Николаевна, издательство Народная асвета, Минск, 2020

Авторы: Арефьева И. Г., Пирютко О. Н.

Тип: Сборник задач

Издательство: Народная асвета

Год издания: 2020 - 2025

Цвет обложки: синий с графиками

Допущено Министерством образования Республики Беларусь

Популярные ГДЗ в 7 классе

9 класс. Параграф 39. Арифметическая прогрессия - номер 39.25, страница 196.

№39.25 (с. 196)
Условие. №39.25 (с. 196)
скриншот условия
Алгебра, 7-9 класс Сборник задач, авторы: Арефьева Ирина Глебовна, Пирютко Ольга Николаевна, издательство Народная асвета, Минск, 2020, страница 196, номер 39.25, Условие

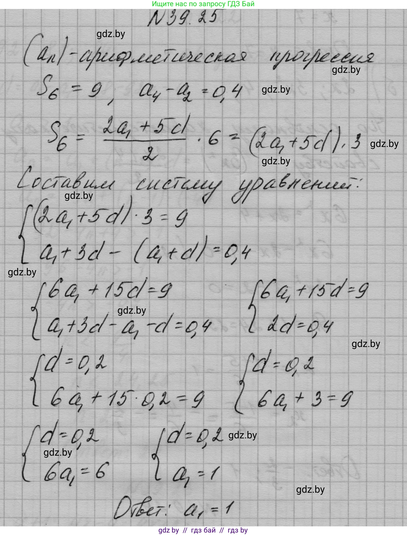
39.25. Найдите первый член арифметической прогрессии ($a_n$), сумма шести первых членов которой равна 9, и $a_4 - a_2 = 0,4$.

Решение. №39.25 (с. 196)
Алгебра, 7-9 класс Сборник задач, авторы: Арефьева Ирина Глебовна, Пирютко Ольга Николаевна, издательство Народная асвета, Минск, 2020, страница 196, номер 39.25, Решение
Решение 2. №39.25 (с. 196)

Пусть $a_1$ — первый член арифметической прогрессии $(a_n)$, а $d$ — её разность.

По условию задачи даны два соотношения:
1) Сумма шести первых членов равна 9: $S_6 = 9$.
2) Разность между четвертым и вторым членом равна 0,4: $a_4 - a_2 = 0,4$.

Сначала используем второе условие для нахождения разности прогрессии $d$. Формула n-го члена арифметической прогрессии: $a_n = a_1 + (n-1)d$.
Выразим $a_4$ и $a_2$ через $a_1$ и $d$:
$a_4 = a_1 + (4-1)d = a_1 + 3d$
$a_2 = a_1 + (2-1)d = a_1 + d$

Подставим эти выражения в уравнение $a_4 - a_2 = 0,4$:
$(a_1 + 3d) - (a_1 + d) = 0,4$
$a_1 + 3d - a_1 - d = 0,4$
$2d = 0,4$
$d = 0,2$

Теперь, зная разность $d=0,2$, воспользуемся первым условием $S_6 = 9$. Формула суммы первых $n$ членов арифметической прогрессии: $S_n = \frac{2a_1 + (n-1)d}{2} \cdot n$.

Применим эту формулу для $n=6$ и подставим известные значения $S_6=9$ и $d=0,2$:
$9 = \frac{2a_1 + (6-1) \cdot 0,2}{2} \cdot 6$

Упростим уравнение. Можно сократить 6 и 2:
$9 = (2a_1 + 5 \cdot 0,2) \cdot 3$
$9 = (2a_1 + 1) \cdot 3$

Разделим обе части уравнения на 3:
$3 = 2a_1 + 1$

Теперь решим полученное линейное уравнение относительно $a_1$:
$2a_1 = 3 - 1$
$2a_1 = 2$
$a_1 = 1$

Ответ: 1.

Помогло решение? Оставьте отзыв в комментариях ниже.

Присоединяйтесь к Телеграм-группе @gdz_by_belarus

Присоединиться

Мы подготовили для вас ответ c подробным объяснением домашего задания по алгебре за 7-9 класс, для упражнения номер 39.25 расположенного на странице 196 к сборнику задач 2020 года издания для учащихся школ и гимназий.

Теперь на нашем сайте ГДЗ.ТОП вы всегда легко и бесплатно найдёте условие с правильным ответом на вопрос «Как решить ДЗ» и «Как сделать» задание по алгебре к упражнению №39.25 (с. 196), авторов: Арефьева (Ирина Глебовна), Пирютко (Ольга Николаевна), учебного пособия издательства Народная асвета.