Номер 16.19, страница 72 - гдз по алгебре 7-9 класс сборник задач Арефьева, Пирютко

Алгебра, 7-9 класс Сборник задач, авторы: Арефьева Ирина Глебовна, Пирютко Ольга Николаевна, издательство Народная асвета, Минск, 2020

Авторы: Арефьева И. Г., Пирютко О. Н.

Тип: Сборник задач

Издательство: Народная асвета

Год издания: 2020 - 2025

Цвет обложки: синий с графиками

Допущено Министерством образования Республики Беларусь

Популярные ГДЗ в 7 классе

7 класс. Параграф 16. Линейное неравенство с одной переменной - номер 16.19, страница 72.

№16.19 (с. 72)
Условие. №16.19 (с. 72)
скриншот условия
Алгебра, 7-9 класс Сборник задач, авторы: Арефьева Ирина Глебовна, Пирютко Ольга Николаевна, издательство Народная асвета, Минск, 2020, страница 72, номер 16.19, Условие

16.19. Найдите все решения неравенства:

a) $\frac{x - 1}{2} - \frac{x - 2}{3} \ge \frac{x - 3}{4}$;

б) $\frac{x + 1}{4} - \frac{4x + 1}{5} \le \frac{7 - 3x}{10}$;

В) $\frac{4x - 3}{2} - \frac{5 - 2x}{3} \le \frac{3x + 11}{3}$;

Г) $\frac{9x - 5}{2} - \frac{3 + 5x}{3} > \frac{8x + 6}{4}$;

Д) $\frac{3x + 5}{4} - \frac{x + 2}{3} \le \frac{9 - x}{8}$;

е) $\frac{4x + 7}{5} + \frac{3x - 2}{2} < \frac{5x + 62}{2}$;

Ж) $\frac{8x + 7}{6} - \frac{5x - 2}{2} \ge \frac{9 + 2x}{4}$;

з) $x + \frac{2x - 1}{5} - \frac{13x - 1}{15} > \frac{x - 2}{3}$.

Решение. №16.19 (с. 72)
Алгебра, 7-9 класс Сборник задач, авторы: Арефьева Ирина Глебовна, Пирютко Ольга Николаевна, издательство Народная асвета, Минск, 2020, страница 72, номер 16.19, Решение Алгебра, 7-9 класс Сборник задач, авторы: Арефьева Ирина Глебовна, Пирютко Ольга Николаевна, издательство Народная асвета, Минск, 2020, страница 72, номер 16.19, Решение (продолжение 2) Алгебра, 7-9 класс Сборник задач, авторы: Арефьева Ирина Глебовна, Пирютко Ольга Николаевна, издательство Народная асвета, Минск, 2020, страница 72, номер 16.19, Решение (продолжение 3) Алгебра, 7-9 класс Сборник задач, авторы: Арефьева Ирина Глебовна, Пирютко Ольга Николаевна, издательство Народная асвета, Минск, 2020, страница 72, номер 16.19, Решение (продолжение 4) Алгебра, 7-9 класс Сборник задач, авторы: Арефьева Ирина Глебовна, Пирютко Ольга Николаевна, издательство Народная асвета, Минск, 2020, страница 72, номер 16.19, Решение (продолжение 5)
Решение 2. №16.19 (с. 72)

а) $ \frac{x - 1}{2} - \frac{x - 2}{3} \ge \frac{x - 3}{4} $
Чтобы избавиться от дробей, умножим обе части неравенства на наименьшее общее кратное знаменателей 2, 3 и 4, которое равно 12.
$ 12 \cdot \frac{x - 1}{2} - 12 \cdot \frac{x - 2}{3} \ge 12 \cdot \frac{x - 3}{4} $
$ 6(x - 1) - 4(x - 2) \ge 3(x - 3) $
Раскроем скобки:
$ 6x - 6 - 4x + 8 \ge 3x - 9 $
Приведем подобные слагаемые в левой части:
$ 2x + 2 \ge 3x - 9 $
Перенесем слагаемые с $x$ в одну сторону, а числа - в другую:
$ 2 + 9 \ge 3x - 2x $
$ 11 \ge x $
Ответ: $ x \in (-\infty; 11] $.

б) $ \frac{x + 1}{4} - \frac{4x + 1}{5} \le \frac{7 - 3x}{10} $
Умножим обе части неравенства на НОК(4, 5, 10) = 20.
$ 20 \cdot \frac{x + 1}{4} - 20 \cdot \frac{4x + 1}{5} \le 20 \cdot \frac{7 - 3x}{10} $
$ 5(x + 1) - 4(4x + 1) \le 2(7 - 3x) $
$ 5x + 5 - 16x - 4 \le 14 - 6x $
$ -11x + 1 \le 14 - 6x $
$ -11x + 6x \le 14 - 1 $
$ -5x \le 13 $
Разделим на -5 и изменим знак неравенства на противоположный:
$ x \ge -\frac{13}{5} $
$ x \ge -2.6 $
Ответ: $ x \in [-2.6; +\infty) $.

в) $ \frac{4x - 3}{2} - \frac{5 - 2x}{3} \le \frac{3x + 11}{3} $
Умножим обе части неравенства на НОК(2, 3) = 6.
$ 6 \cdot \frac{4x - 3}{2} - 6 \cdot \frac{5 - 2x}{3} \le 6 \cdot \frac{3x + 11}{3} $
$ 3(4x - 3) - 2(5 - 2x) \le 2(3x + 11) $
$ 12x - 9 - 10 + 4x \le 6x + 22 $
$ 16x - 19 \le 6x + 22 $
$ 16x - 6x \le 22 + 19 $
$ 10x \le 41 $
$ x \le 4.1 $
Ответ: $ x \in (-\infty; 4.1] $.

г) $ \frac{9x - 5}{2} - \frac{3 + 5x}{3} > \frac{8x + 6}{4} $
Упростим правую часть: $ \frac{8x + 6}{4} = \frac{2(4x + 3)}{4} = \frac{4x + 3}{2} $.
$ \frac{9x - 5}{2} - \frac{3 + 5x}{3} > \frac{4x + 3}{2} $
Умножим обе части неравенства на НОК(2, 3) = 6.
$ 6 \cdot \frac{9x - 5}{2} - 6 \cdot \frac{3 + 5x}{3} > 6 \cdot \frac{4x + 3}{2} $
$ 3(9x - 5) - 2(3 + 5x) > 3(4x + 3) $
$ 27x - 15 - 6 - 10x > 12x + 9 $
$ 17x - 21 > 12x + 9 $
$ 17x - 12x > 9 + 21 $
$ 5x > 30 $
$ x > 6 $
Ответ: $ x \in (6; +\infty) $.

д) $ \frac{3x + 5}{4} - \frac{x + 2}{3} \le \frac{9 - x}{8} $
Умножим обе части неравенства на НОК(4, 3, 8) = 24.
$ 24 \cdot \frac{3x + 5}{4} - 24 \cdot \frac{x + 2}{3} \le 24 \cdot \frac{9 - x}{8} $
$ 6(3x + 5) - 8(x + 2) \le 3(9 - x) $
$ 18x + 30 - 8x - 16 \le 27 - 3x $
$ 10x + 14 \le 27 - 3x $
$ 10x + 3x \le 27 - 14 $
$ 13x \le 13 $
$ x \le 1 $
Ответ: $ x \in (-\infty; 1] $.

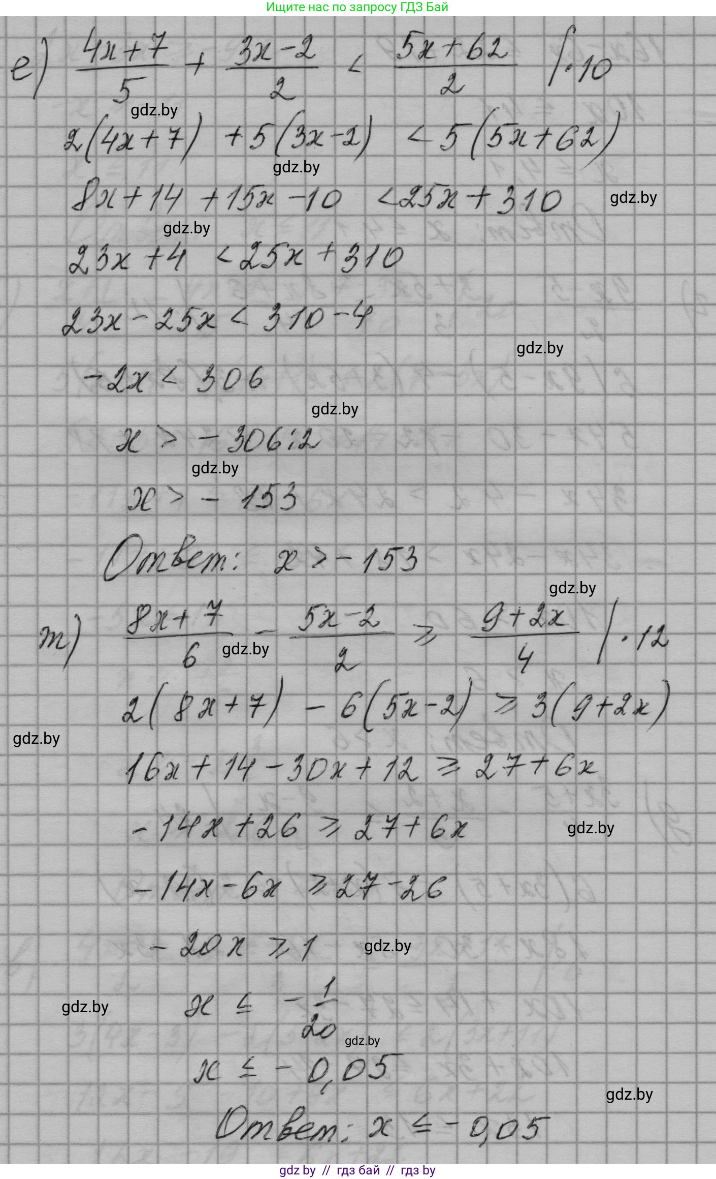
е) $ \frac{4x + 7}{5} + \frac{3x - 2}{2} < \frac{5x + 62}{2} $
Перенесем дробь $ \frac{3x - 2}{2} $ в правую часть:
$ \frac{4x + 7}{5} < \frac{5x + 62}{2} - \frac{3x - 2}{2} $
$ \frac{4x + 7}{5} < \frac{(5x + 62) - (3x - 2)}{2} $
$ \frac{4x + 7}{5} < \frac{5x + 62 - 3x + 2}{2} $
$ \frac{4x + 7}{5} < \frac{2x + 64}{2} $
$ \frac{4x + 7}{5} < x + 32 $
Умножим обе части на 5:
$ 4x + 7 < 5(x + 32) $
$ 4x + 7 < 5x + 160 $
$ 7 - 160 < 5x - 4x $
$ -153 < x $
Ответ: $ x \in (-153; +\infty) $.

ж) $ \frac{8x + 7}{6} - \frac{5x - 2}{2} \ge \frac{9 + 2x}{4} $
Умножим обе части неравенства на НОК(6, 2, 4) = 12.
$ 12 \cdot \frac{8x + 7}{6} - 12 \cdot \frac{5x - 2}{2} \ge 12 \cdot \frac{9 + 2x}{4} $
$ 2(8x + 7) - 6(5x - 2) \ge 3(9 + 2x) $
$ 16x + 14 - 30x + 12 \ge 27 + 6x $
$ -14x + 26 \ge 27 + 6x $
$ 26 - 27 \ge 6x + 14x $
$ -1 \ge 20x $
$ x \le -\frac{1}{20} $
$ x \le -0.05 $
Ответ: $ x \in (-\infty; -0.05] $.

з) $ x + \frac{2x - 1}{5} - \frac{13x - 1}{15} > \frac{x - 2}{3} $
Умножим обе части неравенства на НОК(5, 15, 3) = 15.
$ 15 \cdot x + 15 \cdot \frac{2x - 1}{5} - 15 \cdot \frac{13x - 1}{15} > 15 \cdot \frac{x - 2}{3} $
$ 15x + 3(2x - 1) - (13x - 1) > 5(x - 2) $
$ 15x + 6x - 3 - 13x + 1 > 5x - 10 $
$ 8x - 2 > 5x - 10 $
$ 8x - 5x > -10 + 2 $
$ 3x > -8 $
$ x > -\frac{8}{3} $
Ответ: $ x \in (-\frac{8}{3}; +\infty) $.

Помогло решение? Оставьте отзыв в комментариях ниже.

Присоединяйтесь к Телеграм-группе @gdz_by_belarus

Присоединиться

Мы подготовили для вас ответ c подробным объяснением домашего задания по алгебре за 7-9 класс, для упражнения номер 16.19 расположенного на странице 72 к сборнику задач 2020 года издания для учащихся школ и гимназий.

Теперь на нашем сайте ГДЗ.ТОП вы всегда легко и бесплатно найдёте условие с правильным ответом на вопрос «Как решить ДЗ» и «Как сделать» задание по алгебре к упражнению №16.19 (с. 72), авторов: Арефьева (Ирина Глебовна), Пирютко (Ольга Николаевна), учебного пособия издательства Народная асвета.