Номер 22.15, страница 100 - гдз по алгебре 7-9 класс сборник задач Арефьева, Пирютко

Алгебра, 7-9 класс Сборник задач, авторы: Арефьева Ирина Глебовна, Пирютко Ольга Николаевна, издательство Народная асвета, Минск, 2020

Авторы: Арефьева И. Г., Пирютко О. Н.

Тип: Сборник задач

Издательство: Народная асвета

Год издания: 2020 - 2025

Цвет обложки: синий с графиками

Допущено Министерством образования Республики Беларусь

Популярные ГДЗ в 7 классе

8 класс. Параграф 22. Свойства квадратных корней - номер 22.15, страница 100.

№22.15 (с. 100)
Условие. №22.15 (с. 100)
скриншот условия
Алгебра, 7-9 класс Сборник задач, авторы: Арефьева Ирина Глебовна, Пирютко Ольга Николаевна, издательство Народная асвета, Минск, 2020, страница 100, номер 22.15, Условие

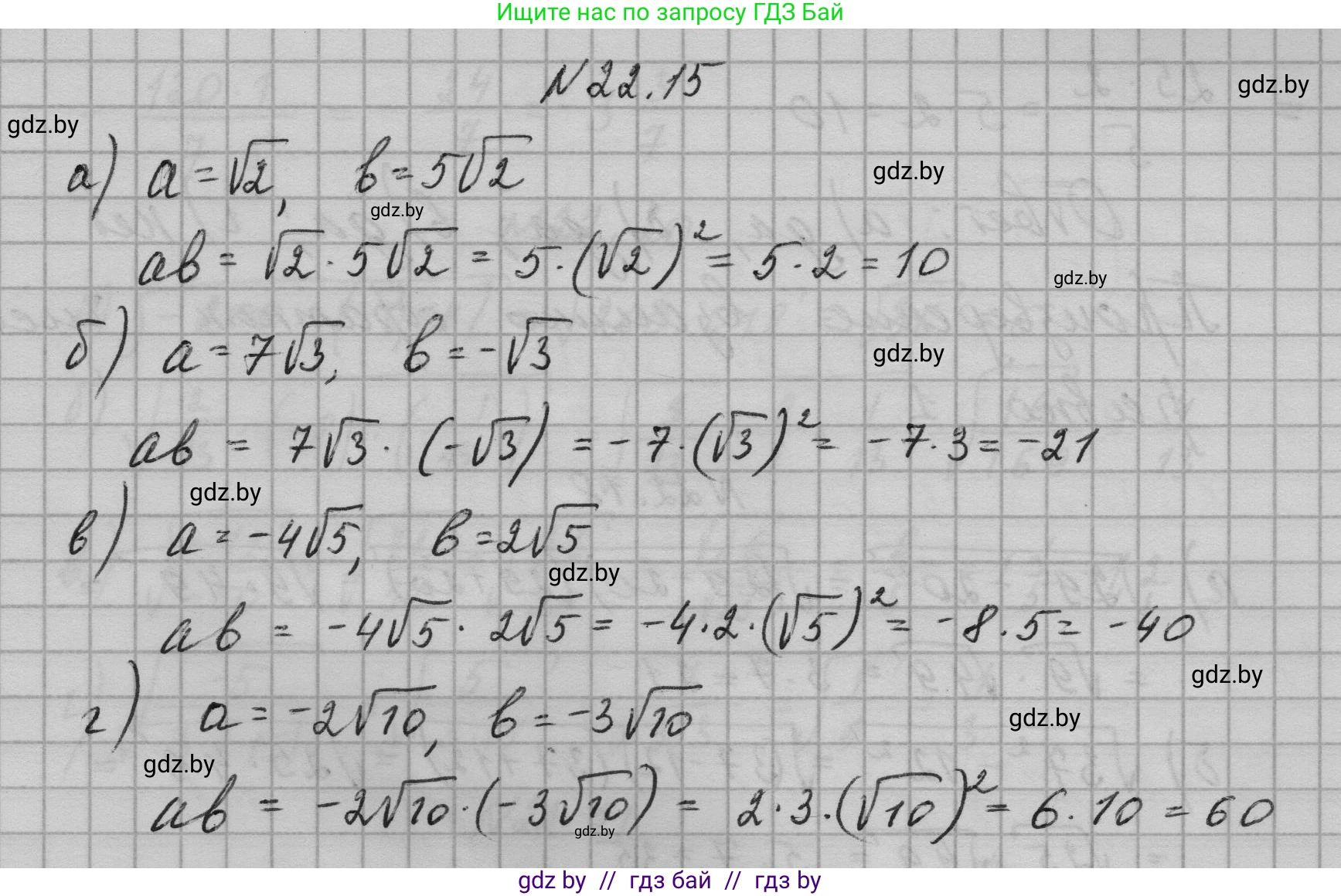
22.15. Найдите значение выражения $a \cdot b$ при:

а) $a = \sqrt{2}$, $b = 5\sqrt{2}$;

б) $a = 7\sqrt{3}$, $b = -\sqrt{3}$;

в) $a = -4\sqrt{5}$, $b = 2\sqrt{5}$;

г) $a = -2\sqrt{10}$, $b = -3\sqrt{10}$.

Решение. №22.15 (с. 100)
Алгебра, 7-9 класс Сборник задач, авторы: Арефьева Ирина Глебовна, Пирютко Ольга Николаевна, издательство Народная асвета, Минск, 2020, страница 100, номер 22.15, Решение
Решение 2. №22.15 (с. 100)

а) Даны значения $a = \sqrt{2}$ и $b = 5\sqrt{2}$. Чтобы найти произведение $a \cdot b$, нужно перемножить эти значения.

$a \cdot b = \sqrt{2} \cdot 5\sqrt{2}$
Используя свойство умножения, сгруппируем множители:
$a \cdot b = 5 \cdot (\sqrt{2} \cdot \sqrt{2})$
По определению квадратного корня, $\sqrt{x} \cdot \sqrt{x} = x$. Следовательно, $\sqrt{2} \cdot \sqrt{2} = 2$.
$a \cdot b = 5 \cdot 2 = 10$
Ответ: 10

б) Даны значения $a = 7\sqrt{3}$ и $b = -\sqrt{3}$. Найдем их произведение.

$a \cdot b = 7\sqrt{3} \cdot (-\sqrt{3})$
Сгруппируем множители:
$a \cdot b = 7 \cdot (-1) \cdot (\sqrt{3} \cdot \sqrt{3})$
Так как $\sqrt{3} \cdot \sqrt{3} = 3$, подставим это значение в выражение:
$a \cdot b = -7 \cdot 3 = -21$
Ответ: -21

в) Даны значения $a = -4\sqrt{5}$ и $b = 2\sqrt{5}$. Найдем их произведение.

$a \cdot b = (-4\sqrt{5}) \cdot (2\sqrt{5})$
Сгруппируем отдельно числовые коэффициенты и корни:
$a \cdot b = (-4 \cdot 2) \cdot (\sqrt{5} \cdot \sqrt{5})$
Вычислим произведения в каждой группе: $-4 \cdot 2 = -8$ и $\sqrt{5} \cdot \sqrt{5} = 5$.
$a \cdot b = -8 \cdot 5 = -40$
Ответ: -40

г) Даны значения $a = -2\sqrt{10}$ и $b = -3\sqrt{10}$. Найдем их произведение.

$a \cdot b = (-2\sqrt{10}) \cdot (-3\sqrt{10})$
Сгруппируем множители:
$a \cdot b = (-2 \cdot -3) \cdot (\sqrt{10} \cdot \sqrt{10})$
Вычислим произведения в каждой группе: произведение двух отрицательных чисел дает положительное число, поэтому $-2 \cdot -3 = 6$. Также $\sqrt{10} \cdot \sqrt{10} = 10$.
$a \cdot b = 6 \cdot 10 = 60$
Ответ: 60

Помогло решение? Оставьте отзыв в комментариях ниже.

Присоединяйтесь к Телеграм-группе @gdz_by_belarus

Присоединиться

Мы подготовили для вас ответ c подробным объяснением домашего задания по алгебре за 7-9 класс, для упражнения номер 22.15 расположенного на странице 100 к сборнику задач 2020 года издания для учащихся школ и гимназий.

Теперь на нашем сайте ГДЗ.ТОП вы всегда легко и бесплатно найдёте условие с правильным ответом на вопрос «Как решить ДЗ» и «Как сделать» задание по алгебре к упражнению №22.15 (с. 100), авторов: Арефьева (Ирина Глебовна), Пирютко (Ольга Николаевна), учебного пособия издательства Народная асвета.